紫外活化过氧单硫酸酯降解磷酸氯喹的动力学模型和机理研究

IF 2.8 4区 环境科学与生态学 Q3 ENVIRONMENTAL SCIENCES
Tongtong Jiang, Yang Li, Mingle Xia, Lin Deng, Changbo Zhang, Rajendra Prasad Singh, Gongde Wu
{"title":"紫外活化过氧单硫酸酯降解磷酸氯喹的动力学模型和机理研究","authors":"Tongtong Jiang,&nbsp;Yang Li,&nbsp;Mingle Xia,&nbsp;Lin Deng,&nbsp;Changbo Zhang,&nbsp;Rajendra Prasad Singh,&nbsp;Gongde Wu","doi":"10.1007/s12665-025-12487-8","DOIUrl":null,"url":null,"abstract":"<div><p>Chloroquine phosphate (CQP), a widely utilized antimalarial and anti-COVID-19 medication, exhibits persistence and ecotoxicity in aquatic environments. This study systematically investigated the CQP degradation in the UV-activated peroxymonosulfate (UV/PMS) process, focusing on influencing factors, degradation pathways, and constructs the first-principle kinetic model describing this degradation. The UV/PMS process effectively degraded CQP with a pseudo-first-order reaction rate constant of 0.271 min<sup>− 1</sup>, sulfate radicals (SO<sub>4</sub>•<sup>−</sup>, 62.4%) and hydroxyl radicals (HO•, 27.3%) were the dominant reactive species. Increasing PMS concentration enhanced radical generation and degradation efficiency. Furthermore, the UV/PMS process exhibited excellent pH adaptability, when the pH value was 10.8, the maximum pseudo-first-order reaction rate constant was 2.894 min<sup>− 1</sup> due to the sharp increase in HO• contribution. Cl<sup>−</sup> slightly inhibited degradation by consuming SO<sub>4</sub>•<sup>−</sup>, while HCO<sub>3</sub><sup>−</sup> had no obvious effect due to the non-negligible role of CO<sub>3</sub>•<sup>−</sup>. Additionally, a kinetic model simulated the radical dynamics and degradation trends, showing a strong correlation with experiments. Several potential degradation pathways involved N-deethylation, C-N bond cleavage, hydrogen abstraction, and N-oxidation. An economic analysis revealed that the total cost reached the minimum of 0.33 USD/(m<sup>3</sup>∙order) when the concentration of PMS was 0.14 mM. This study provides theoretical support for UV/PMS-based CQP removal from water.</p></div>","PeriodicalId":542,"journal":{"name":"Environmental Earth Sciences","volume":"84 16","pages":""},"PeriodicalIF":2.8000,"publicationDate":"2025-08-11","publicationTypes":"Journal Article","fieldsOfStudy":null,"isOpenAccess":false,"openAccessPdf":"","citationCount":"0","resultStr":"{\"title\":\"Kinetic modeling and mechanistic insights into chloroquine phosphate degradation by UV-activated peroxymonosulfate\",\"authors\":\"Tongtong Jiang,&nbsp;Yang Li,&nbsp;Mingle Xia,&nbsp;Lin Deng,&nbsp;Changbo Zhang,&nbsp;Rajendra Prasad Singh,&nbsp;Gongde Wu\",\"doi\":\"10.1007/s12665-025-12487-8\",\"DOIUrl\":null,\"url\":null,\"abstract\":\"<div><p>Chloroquine phosphate (CQP), a widely utilized antimalarial and anti-COVID-19 medication, exhibits persistence and ecotoxicity in aquatic environments. This study systematically investigated the CQP degradation in the UV-activated peroxymonosulfate (UV/PMS) process, focusing on influencing factors, degradation pathways, and constructs the first-principle kinetic model describing this degradation. The UV/PMS process effectively degraded CQP with a pseudo-first-order reaction rate constant of 0.271 min<sup>− 1</sup>, sulfate radicals (SO<sub>4</sub>•<sup>−</sup>, 62.4%) and hydroxyl radicals (HO•, 27.3%) were the dominant reactive species. Increasing PMS concentration enhanced radical generation and degradation efficiency. Furthermore, the UV/PMS process exhibited excellent pH adaptability, when the pH value was 10.8, the maximum pseudo-first-order reaction rate constant was 2.894 min<sup>− 1</sup> due to the sharp increase in HO• contribution. Cl<sup>−</sup> slightly inhibited degradation by consuming SO<sub>4</sub>•<sup>−</sup>, while HCO<sub>3</sub><sup>−</sup> had no obvious effect due to the non-negligible role of CO<sub>3</sub>•<sup>−</sup>. Additionally, a kinetic model simulated the radical dynamics and degradation trends, showing a strong correlation with experiments. Several potential degradation pathways involved N-deethylation, C-N bond cleavage, hydrogen abstraction, and N-oxidation. An economic analysis revealed that the total cost reached the minimum of 0.33 USD/(m<sup>3</sup>∙order) when the concentration of PMS was 0.14 mM. This study provides theoretical support for UV/PMS-based CQP removal from water.</p></div>\",\"PeriodicalId\":542,\"journal\":{\"name\":\"Environmental Earth Sciences\",\"volume\":\"84 16\",\"pages\":\"\"},\"PeriodicalIF\":2.8000,\"publicationDate\":\"2025-08-11\",\"publicationTypes\":\"Journal Article\",\"fieldsOfStudy\":null,\"isOpenAccess\":false,\"openAccessPdf\":\"\",\"citationCount\":\"0\",\"resultStr\":null,\"platform\":\"Semanticscholar\",\"paperid\":null,\"PeriodicalName\":\"Environmental Earth Sciences\",\"FirstCategoryId\":\"93\",\"ListUrlMain\":\"https://link.springer.com/article/10.1007/s12665-025-12487-8\",\"RegionNum\":4,\"RegionCategory\":\"环境科学与生态学\",\"ArticlePicture\":[],\"TitleCN\":null,\"AbstractTextCN\":null,\"PMCID\":null,\"EPubDate\":\"\",\"PubModel\":\"\",\"JCR\":\"Q3\",\"JCRName\":\"ENVIRONMENTAL SCIENCES\",\"Score\":null,\"Total\":0}","platform":"Semanticscholar","paperid":null,"PeriodicalName":"Environmental Earth Sciences","FirstCategoryId":"93","ListUrlMain":"https://link.springer.com/article/10.1007/s12665-025-12487-8","RegionNum":4,"RegionCategory":"环境科学与生态学","ArticlePicture":[],"TitleCN":null,"AbstractTextCN":null,"PMCID":null,"EPubDate":"","PubModel":"","JCR":"Q3","JCRName":"ENVIRONMENTAL SCIENCES","Score":null,"Total":0}
引用次数: 0

摘要

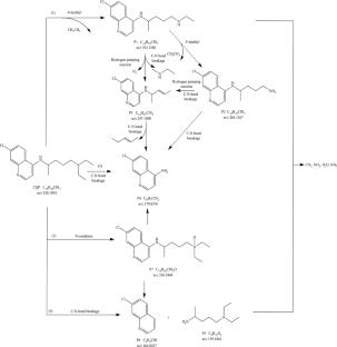
磷酸氯喹(Chloroquine phosphate, CQP)是一种广泛使用的抗疟疾和抗covid -19药物,在水生环境中具有持久性和生态毒性。本研究系统研究了紫外活化过氧单硫酸盐(UV/PMS)工艺对CQP的降解,重点研究了影响因素、降解途径,并建立了描述该降解过程的第一性原理动力学模型。UV/PMS工艺有效降解CQP,拟一级反应速率常数为0.271 min−1,硫酸盐自由基(SO4•−)和羟基自由基(HO•)是主要的活性物质。增加PMS浓度可提高自由基的生成和降解效率。此外,UV/PMS工艺表现出良好的pH适应性,当pH值为10.8时,由于HO•贡献的急剧增加,伪一级反应速率常数最大为2.894 min−1。Cl−通过消耗SO4•−来轻微抑制降解,而HCO3−由于CO3•−不可忽略的作用而没有明显的影响。此外,动力学模型模拟了自由基动力学和降解趋势,显示出与实验的强相关性。几种潜在的降解途径包括n -去乙基化、C-N键裂解、氢提取和n -氧化。经济分析表明,当PMS浓度为0.14 mM时,总成本最低为0.33 USD/(m3∙order)。本研究为UV/PMS法去除水中CQP提供了理论支持。
本文章由计算机程序翻译,如有差异,请以英文原文为准。

Kinetic modeling and mechanistic insights into chloroquine phosphate degradation by UV-activated peroxymonosulfate

Kinetic modeling and mechanistic insights into chloroquine phosphate degradation by UV-activated peroxymonosulfate

Kinetic modeling and mechanistic insights into chloroquine phosphate degradation by UV-activated peroxymonosulfate

Chloroquine phosphate (CQP), a widely utilized antimalarial and anti-COVID-19 medication, exhibits persistence and ecotoxicity in aquatic environments. This study systematically investigated the CQP degradation in the UV-activated peroxymonosulfate (UV/PMS) process, focusing on influencing factors, degradation pathways, and constructs the first-principle kinetic model describing this degradation. The UV/PMS process effectively degraded CQP with a pseudo-first-order reaction rate constant of 0.271 min− 1, sulfate radicals (SO4, 62.4%) and hydroxyl radicals (HO•, 27.3%) were the dominant reactive species. Increasing PMS concentration enhanced radical generation and degradation efficiency. Furthermore, the UV/PMS process exhibited excellent pH adaptability, when the pH value was 10.8, the maximum pseudo-first-order reaction rate constant was 2.894 min− 1 due to the sharp increase in HO• contribution. Cl slightly inhibited degradation by consuming SO4, while HCO3 had no obvious effect due to the non-negligible role of CO3. Additionally, a kinetic model simulated the radical dynamics and degradation trends, showing a strong correlation with experiments. Several potential degradation pathways involved N-deethylation, C-N bond cleavage, hydrogen abstraction, and N-oxidation. An economic analysis revealed that the total cost reached the minimum of 0.33 USD/(m3∙order) when the concentration of PMS was 0.14 mM. This study provides theoretical support for UV/PMS-based CQP removal from water.

求助全文
通过发布文献求助,成功后即可免费获取论文全文。 去求助
来源期刊
Environmental Earth Sciences
Environmental Earth Sciences 环境科学-地球科学综合
CiteScore
5.10
自引率
3.60%
发文量
494
审稿时长
8.3 months
期刊介绍: Environmental Earth Sciences is an international multidisciplinary journal concerned with all aspects of interaction between humans, natural resources, ecosystems, special climates or unique geographic zones, and the earth: Water and soil contamination caused by waste management and disposal practices Environmental problems associated with transportation by land, air, or water Geological processes that may impact biosystems or humans Man-made or naturally occurring geological or hydrological hazards Environmental problems associated with the recovery of materials from the earth Environmental problems caused by extraction of minerals, coal, and ores, as well as oil and gas, water and alternative energy sources Environmental impacts of exploration and recultivation – Environmental impacts of hazardous materials Management of environmental data and information in data banks and information systems Dissemination of knowledge on techniques, methods, approaches and experiences to improve and remediate the environment In pursuit of these topics, the geoscientific disciplines are invited to contribute their knowledge and experience. Major disciplines include: hydrogeology, hydrochemistry, geochemistry, geophysics, engineering geology, remediation science, natural resources management, environmental climatology and biota, environmental geography, soil science and geomicrobiology.
×
引用
GB/T 7714-2015
复制
MLA
复制
APA
复制
导出至
BibTeX EndNote RefMan NoteFirst NoteExpress
×
提示
您的信息不完整,为了账户安全,请先补充。
现在去补充
×
提示
您因"违规操作"
具体请查看互助需知
我知道了
×
提示
确定
请完成安全验证×
copy
已复制链接
快去分享给好友吧!
我知道了
右上角分享
点击右上角分享
0
联系我们:info@booksci.cn Book学术提供免费学术资源搜索服务,方便国内外学者检索中英文文献。致力于提供最便捷和优质的服务体验。 Copyright © 2023 布克学术 All rights reserved.
京ICP备2023020795号-1
ghs 京公网安备 11010802042870号
Book学术文献互助
Book学术文献互助群
群 号:604180095
Book学术官方微信