尿硝酸盐与无前列腺疾病的前列腺特异性抗原之间的关系:一项队列研究

IF 1.9 3区 医学 Q3 UROLOGY & NEPHROLOGY
Zhiyi Chen, Enpu Zhang, Lu Gan, Wenjuan Zhang, Guixiao Huang
{"title":"尿硝酸盐与无前列腺疾病的前列腺特异性抗原之间的关系:一项队列研究","authors":"Zhiyi Chen, Enpu Zhang, Lu Gan, Wenjuan Zhang, Guixiao Huang","doi":"10.1186/s12894-025-01878-5","DOIUrl":null,"url":null,"abstract":"<p><strong>Purpose: </strong>The carcinogenic effects of nitrate reduction to nitrite are well established, and nitrate has been closely linked to various diseases. However, research on its effects on the urinary system remains limited, and its association with PSA remains unclear. This study aims to investigate the relationship between urinary nitrate and PSA.</p><p><strong>Methods: </strong>We employed weighted generalized linear models, weighted univariate analysis, forest plots, weighted multivariable analysis, and generalized additive models (GAM) to investigate the relationship between urinary nitrate and PSA. Subgroup analyses were conducted to further validate the stability of this association across different groups. GAM was utilized to provide a more intuitive representation of the specific relationships between PSA and urinary nitrate.</p><p><strong>Results: </strong>TPSA, FPSA, and the prostate specific antigen ratio (%, 4 ng/mL ≤ TPSA ≤ 10 ng/mL) showed negative correlations with urinary nitrate. After adjusting for confounders, only the prostate-specific antigen ratio maintained a significant negative association (β = -632.7; 95% CI: -1094.9, -170.6; P = 0.011), while correlations with TPSA and FPSA were not statistically significant. A nonlinear relationship was observed, where urinary nitrate initially remained stable or changed minimally before gradually declining.</p><p><strong>Conclusion: </strong>This study identifies a negative correlation between urinary nitrate and the prostate-specific antigen ratio in individuals with gray-zone TPSA. These findings enhance our understanding of urinary nitrate's impact and may help reduce overtreatment in this population.</p>","PeriodicalId":9285,"journal":{"name":"BMC Urology","volume":"25 1","pages":"193"},"PeriodicalIF":1.9000,"publicationDate":"2025-08-09","publicationTypes":"Journal Article","fieldsOfStudy":null,"isOpenAccess":false,"openAccessPdf":"https://www.ncbi.nlm.nih.gov/pmc/articles/PMC12335116/pdf/","citationCount":"0","resultStr":"{\"title\":\"The association between urinary nitrate and prostate specific antigen without prostatic disease: a cohort study.\",\"authors\":\"Zhiyi Chen, Enpu Zhang, Lu Gan, Wenjuan Zhang, Guixiao Huang\",\"doi\":\"10.1186/s12894-025-01878-5\",\"DOIUrl\":null,\"url\":null,\"abstract\":\"<p><strong>Purpose: </strong>The carcinogenic effects of nitrate reduction to nitrite are well established, and nitrate has been closely linked to various diseases. However, research on its effects on the urinary system remains limited, and its association with PSA remains unclear. This study aims to investigate the relationship between urinary nitrate and PSA.</p><p><strong>Methods: </strong>We employed weighted generalized linear models, weighted univariate analysis, forest plots, weighted multivariable analysis, and generalized additive models (GAM) to investigate the relationship between urinary nitrate and PSA. Subgroup analyses were conducted to further validate the stability of this association across different groups. GAM was utilized to provide a more intuitive representation of the specific relationships between PSA and urinary nitrate.</p><p><strong>Results: </strong>TPSA, FPSA, and the prostate specific antigen ratio (%, 4 ng/mL ≤ TPSA ≤ 10 ng/mL) showed negative correlations with urinary nitrate. After adjusting for confounders, only the prostate-specific antigen ratio maintained a significant negative association (β = -632.7; 95% CI: -1094.9, -170.6; P = 0.011), while correlations with TPSA and FPSA were not statistically significant. A nonlinear relationship was observed, where urinary nitrate initially remained stable or changed minimally before gradually declining.</p><p><strong>Conclusion: </strong>This study identifies a negative correlation between urinary nitrate and the prostate-specific antigen ratio in individuals with gray-zone TPSA. These findings enhance our understanding of urinary nitrate's impact and may help reduce overtreatment in this population.</p>\",\"PeriodicalId\":9285,\"journal\":{\"name\":\"BMC Urology\",\"volume\":\"25 1\",\"pages\":\"193\"},\"PeriodicalIF\":1.9000,\"publicationDate\":\"2025-08-09\",\"publicationTypes\":\"Journal Article\",\"fieldsOfStudy\":null,\"isOpenAccess\":false,\"openAccessPdf\":\"https://www.ncbi.nlm.nih.gov/pmc/articles/PMC12335116/pdf/\",\"citationCount\":\"0\",\"resultStr\":null,\"platform\":\"Semanticscholar\",\"paperid\":null,\"PeriodicalName\":\"BMC Urology\",\"FirstCategoryId\":\"3\",\"ListUrlMain\":\"https://doi.org/10.1186/s12894-025-01878-5\",\"RegionNum\":3,\"RegionCategory\":\"医学\",\"ArticlePicture\":[],\"TitleCN\":null,\"AbstractTextCN\":null,\"PMCID\":null,\"EPubDate\":\"\",\"PubModel\":\"\",\"JCR\":\"Q3\",\"JCRName\":\"UROLOGY & NEPHROLOGY\",\"Score\":null,\"Total\":0}","platform":"Semanticscholar","paperid":null,"PeriodicalName":"BMC Urology","FirstCategoryId":"3","ListUrlMain":"https://doi.org/10.1186/s12894-025-01878-5","RegionNum":3,"RegionCategory":"医学","ArticlePicture":[],"TitleCN":null,"AbstractTextCN":null,"PMCID":null,"EPubDate":"","PubModel":"","JCR":"Q3","JCRName":"UROLOGY & NEPHROLOGY","Score":null,"Total":0}
引用次数: 0

摘要

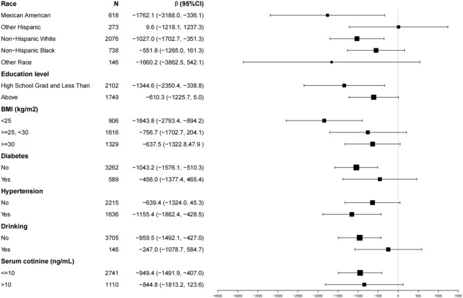
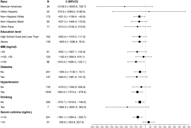
目的:硝酸盐还原为亚硝酸盐的致癌作用已被证实,硝酸盐与多种疾病密切相关。然而,其对泌尿系统影响的研究仍然有限,其与PSA的关系尚不清楚。本研究旨在探讨尿硝酸盐与PSA的关系。方法:采用加权广义线性模型、加权单变量分析、森林图、加权多变量分析和广义加性模型(GAM)探讨尿硝酸盐与PSA的关系。进行亚组分析以进一步验证这种关联在不同组间的稳定性。利用GAM可以更直观地表示PSA与尿硝酸盐之间的具体关系。结果:TPSA、FPSA、前列腺特异性抗原比值(%,4 ng/mL≤TPSA≤10 ng/mL)与尿硝酸盐呈负相关。在调整混杂因素后,只有前列腺特异性抗原比率保持显著的负相关(β = -632.7;95% ci: -1094.9, -170.6;P = 0.011),而与TPSA、FPSA的相关性无统计学意义。观察到一种非线性关系,尿硝酸盐最初保持稳定或变化最小,然后逐渐下降。结论:本研究确定了灰色区TPSA患者尿硝酸盐与前列腺特异性抗原比例呈负相关。这些发现增强了我们对尿硝酸盐影响的理解,并可能有助于减少这一人群的过度治疗。
本文章由计算机程序翻译,如有差异,请以英文原文为准。

The association between urinary nitrate and prostate specific antigen without prostatic disease: a cohort study.

The association between urinary nitrate and prostate specific antigen without prostatic disease: a cohort study.

The association between urinary nitrate and prostate specific antigen without prostatic disease: a cohort study.

The association between urinary nitrate and prostate specific antigen without prostatic disease: a cohort study.

Purpose: The carcinogenic effects of nitrate reduction to nitrite are well established, and nitrate has been closely linked to various diseases. However, research on its effects on the urinary system remains limited, and its association with PSA remains unclear. This study aims to investigate the relationship between urinary nitrate and PSA.

Methods: We employed weighted generalized linear models, weighted univariate analysis, forest plots, weighted multivariable analysis, and generalized additive models (GAM) to investigate the relationship between urinary nitrate and PSA. Subgroup analyses were conducted to further validate the stability of this association across different groups. GAM was utilized to provide a more intuitive representation of the specific relationships between PSA and urinary nitrate.

Results: TPSA, FPSA, and the prostate specific antigen ratio (%, 4 ng/mL ≤ TPSA ≤ 10 ng/mL) showed negative correlations with urinary nitrate. After adjusting for confounders, only the prostate-specific antigen ratio maintained a significant negative association (β = -632.7; 95% CI: -1094.9, -170.6; P = 0.011), while correlations with TPSA and FPSA were not statistically significant. A nonlinear relationship was observed, where urinary nitrate initially remained stable or changed minimally before gradually declining.

Conclusion: This study identifies a negative correlation between urinary nitrate and the prostate-specific antigen ratio in individuals with gray-zone TPSA. These findings enhance our understanding of urinary nitrate's impact and may help reduce overtreatment in this population.

求助全文
通过发布文献求助,成功后即可免费获取论文全文。 去求助
来源期刊
BMC Urology
BMC Urology UROLOGY & NEPHROLOGY-
CiteScore
3.20
自引率
0.00%
发文量
177
审稿时长
>12 weeks
期刊介绍: BMC Urology is an open access journal publishing original peer-reviewed research articles in all aspects of the prevention, diagnosis and management of urological disorders, as well as related molecular genetics, pathophysiology, and epidemiology. The journal considers manuscripts in the following broad subject-specific sections of urology: Endourology and technology Epidemiology and health outcomes Pediatric urology Pre-clinical and basic research Reconstructive urology Sexual function and fertility Urological imaging Urological oncology Voiding dysfunction Case reports.
×
引用
GB/T 7714-2015
复制
MLA
复制
APA
复制
导出至
BibTeX EndNote RefMan NoteFirst NoteExpress
×
提示
您的信息不完整,为了账户安全,请先补充。
现在去补充
×
提示
您因"违规操作"
具体请查看互助需知
我知道了
×
提示
确定
请完成安全验证×
copy
已复制链接
快去分享给好友吧!
我知道了
右上角分享
点击右上角分享
0
联系我们:info@booksci.cn Book学术提供免费学术资源搜索服务,方便国内外学者检索中英文文献。致力于提供最便捷和优质的服务体验。 Copyright © 2023 布克学术 All rights reserved.
京ICP备2023020795号-1
ghs 京公网安备 11010802042870号
Book学术文献互助
Book学术文献互助群
群 号:604180095
Book学术官方微信