2003-2023年加纳妇女肥胖和超重的长期趋势。

IF 5.4 Q1 MEDICINE, RESEARCH & EXPERIMENTAL
Laura Ann Gray, Joseph Prince Mensah, Magdalena Opazo Breton, Richmond Nii Okai Aryeetey, Isaac Boadu, Emmanuel Anongeba Anaba, Afua Atuobi-Yeboah, Robert Akparibo
{"title":"2003-2023年加纳妇女肥胖和超重的长期趋势。","authors":"Laura Ann Gray, Joseph Prince Mensah, Magdalena Opazo Breton, Richmond Nii Okai Aryeetey, Isaac Boadu, Emmanuel Anongeba Anaba, Afua Atuobi-Yeboah, Robert Akparibo","doi":"10.1038/s43856-025-01082-4","DOIUrl":null,"url":null,"abstract":"<p><strong>Background: </strong>In Ghana, overweight and obesity prevalence among women (20-49 years) reached 50% in 2022, increasing from 40% in 2014. This study aims to understand what has driven previous trends in overweight and obesity among women of reproductive age in Ghana and to predict future trends that can help inform policy making and public health surveillance.</p><p><strong>Methods: </strong>We used data from the Ghana Demographic and Health Survey (DHS) containing information on women of reproductive age (aged 15 to 49 years). Data collected between 2003 and 2022 provided cohorts born between 1953 and 2007. Age-period-cohort (APC) analysis was used to disentangle the effects of age, time, and generation on trends in the odds of obesity and overweight.</p><p><strong>Results: </strong>The prevalence of overweight and obesity increases during the study period, especially with age, in all cohorts. In the APC analysis, the odds of obesity increase with age until age 42-43 years (odds ratio (OR): 9.37; 95% confidence interval (CI): 5.63-15.59, compared to 20-21 year olds) before levelling out. Accounting for age and birth cohort, the odds of overweight and obesity increase significantly over time between 2003 and 2015 (overweight OR: 1.76; 95% CI: 1.47-2.11, obesity OR: 2.27; 95% CI: 1.77-2.91), after which the effect levels out and appears to stabilise. There is no effect of birth cohort on the odds of overweight or obesity.</p><p><strong>Conclusions: </strong>Although high, the increasing odds of obesity and overweight in Ghana appears to be stabilising. However, the increasing odds of obesity with age, suggest that an ageing population could mean that the prevalence will increase into the future.</p>","PeriodicalId":72646,"journal":{"name":"Communications medicine","volume":"5 1","pages":"338"},"PeriodicalIF":5.4000,"publicationDate":"2025-08-07","publicationTypes":"Journal Article","fieldsOfStudy":null,"isOpenAccess":false,"openAccessPdf":"https://www.ncbi.nlm.nih.gov/pmc/articles/PMC12332120/pdf/","citationCount":"0","resultStr":"{\"title\":\"Long-term trends in obesity and overweight in women in Ghana from 2003-2023.\",\"authors\":\"Laura Ann Gray, Joseph Prince Mensah, Magdalena Opazo Breton, Richmond Nii Okai Aryeetey, Isaac Boadu, Emmanuel Anongeba Anaba, Afua Atuobi-Yeboah, Robert Akparibo\",\"doi\":\"10.1038/s43856-025-01082-4\",\"DOIUrl\":null,\"url\":null,\"abstract\":\"<p><strong>Background: </strong>In Ghana, overweight and obesity prevalence among women (20-49 years) reached 50% in 2022, increasing from 40% in 2014. This study aims to understand what has driven previous trends in overweight and obesity among women of reproductive age in Ghana and to predict future trends that can help inform policy making and public health surveillance.</p><p><strong>Methods: </strong>We used data from the Ghana Demographic and Health Survey (DHS) containing information on women of reproductive age (aged 15 to 49 years). Data collected between 2003 and 2022 provided cohorts born between 1953 and 2007. Age-period-cohort (APC) analysis was used to disentangle the effects of age, time, and generation on trends in the odds of obesity and overweight.</p><p><strong>Results: </strong>The prevalence of overweight and obesity increases during the study period, especially with age, in all cohorts. In the APC analysis, the odds of obesity increase with age until age 42-43 years (odds ratio (OR): 9.37; 95% confidence interval (CI): 5.63-15.59, compared to 20-21 year olds) before levelling out. Accounting for age and birth cohort, the odds of overweight and obesity increase significantly over time between 2003 and 2015 (overweight OR: 1.76; 95% CI: 1.47-2.11, obesity OR: 2.27; 95% CI: 1.77-2.91), after which the effect levels out and appears to stabilise. There is no effect of birth cohort on the odds of overweight or obesity.</p><p><strong>Conclusions: </strong>Although high, the increasing odds of obesity and overweight in Ghana appears to be stabilising. However, the increasing odds of obesity with age, suggest that an ageing population could mean that the prevalence will increase into the future.</p>\",\"PeriodicalId\":72646,\"journal\":{\"name\":\"Communications medicine\",\"volume\":\"5 1\",\"pages\":\"338\"},\"PeriodicalIF\":5.4000,\"publicationDate\":\"2025-08-07\",\"publicationTypes\":\"Journal Article\",\"fieldsOfStudy\":null,\"isOpenAccess\":false,\"openAccessPdf\":\"https://www.ncbi.nlm.nih.gov/pmc/articles/PMC12332120/pdf/\",\"citationCount\":\"0\",\"resultStr\":null,\"platform\":\"Semanticscholar\",\"paperid\":null,\"PeriodicalName\":\"Communications medicine\",\"FirstCategoryId\":\"1085\",\"ListUrlMain\":\"https://doi.org/10.1038/s43856-025-01082-4\",\"RegionNum\":0,\"RegionCategory\":null,\"ArticlePicture\":[],\"TitleCN\":null,\"AbstractTextCN\":null,\"PMCID\":null,\"EPubDate\":\"\",\"PubModel\":\"\",\"JCR\":\"Q1\",\"JCRName\":\"MEDICINE, RESEARCH & EXPERIMENTAL\",\"Score\":null,\"Total\":0}","platform":"Semanticscholar","paperid":null,"PeriodicalName":"Communications medicine","FirstCategoryId":"1085","ListUrlMain":"https://doi.org/10.1038/s43856-025-01082-4","RegionNum":0,"RegionCategory":null,"ArticlePicture":[],"TitleCN":null,"AbstractTextCN":null,"PMCID":null,"EPubDate":"","PubModel":"","JCR":"Q1","JCRName":"MEDICINE, RESEARCH & EXPERIMENTAL","Score":null,"Total":0}
引用次数: 0

摘要

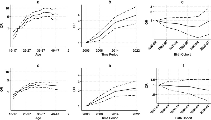
背景:在加纳,女性(20-49岁)超重和肥胖患病率从2014年的40%上升到2022年的50%。这项研究的目的是了解是什么推动了加纳育龄妇女以前超重和肥胖的趋势,并预测未来的趋势,这有助于为政策制定和公共卫生监测提供信息。方法:我们使用来自加纳人口与健康调查(DHS)的数据,其中包含育龄妇女(15至49岁)的信息。2003年至2022年收集的数据提供了1953年至2007年出生的人群。使用年龄-时期-队列(APC)分析来解开年龄、时间和世代对肥胖和超重几率趋势的影响。结果:在所有队列中,超重和肥胖的患病率在研究期间都有所增加,尤其是随着年龄的增长。在APC分析中,肥胖的几率随着年龄的增长而增加,直到42-43岁(比值比(OR): 9.37;95%置信区间(CI): 5.63-15.59(与20-21岁相比),然后趋于平稳。考虑到年龄和出生队列,超重和肥胖的几率在2003年至2015年期间显著增加(超重OR: 1.76;95% CI: 1.47-2.11,肥胖OR: 2.27;95% CI: 1.77-2.91),之后效果趋于平稳并趋于稳定。出生队列对超重或肥胖的几率没有影响。结论:加纳肥胖和超重的几率虽然很高,但似乎正在趋于稳定。然而,随着年龄的增长,肥胖的几率越来越高,这表明人口老龄化可能意味着未来肥胖的患病率将会上升。
本文章由计算机程序翻译,如有差异,请以英文原文为准。

Long-term trends in obesity and overweight in women in Ghana from 2003-2023.

Long-term trends in obesity and overweight in women in Ghana from 2003-2023.

Long-term trends in obesity and overweight in women in Ghana from 2003-2023.

Long-term trends in obesity and overweight in women in Ghana from 2003-2023.

Background: In Ghana, overweight and obesity prevalence among women (20-49 years) reached 50% in 2022, increasing from 40% in 2014. This study aims to understand what has driven previous trends in overweight and obesity among women of reproductive age in Ghana and to predict future trends that can help inform policy making and public health surveillance.

Methods: We used data from the Ghana Demographic and Health Survey (DHS) containing information on women of reproductive age (aged 15 to 49 years). Data collected between 2003 and 2022 provided cohorts born between 1953 and 2007. Age-period-cohort (APC) analysis was used to disentangle the effects of age, time, and generation on trends in the odds of obesity and overweight.

Results: The prevalence of overweight and obesity increases during the study period, especially with age, in all cohorts. In the APC analysis, the odds of obesity increase with age until age 42-43 years (odds ratio (OR): 9.37; 95% confidence interval (CI): 5.63-15.59, compared to 20-21 year olds) before levelling out. Accounting for age and birth cohort, the odds of overweight and obesity increase significantly over time between 2003 and 2015 (overweight OR: 1.76; 95% CI: 1.47-2.11, obesity OR: 2.27; 95% CI: 1.77-2.91), after which the effect levels out and appears to stabilise. There is no effect of birth cohort on the odds of overweight or obesity.

Conclusions: Although high, the increasing odds of obesity and overweight in Ghana appears to be stabilising. However, the increasing odds of obesity with age, suggest that an ageing population could mean that the prevalence will increase into the future.

求助全文
通过发布文献求助,成功后即可免费获取论文全文。 去求助
来源期刊
自引率
0.00%
发文量
0
×
引用
GB/T 7714-2015
复制
MLA
复制
APA
复制
导出至
BibTeX EndNote RefMan NoteFirst NoteExpress
×
提示
您的信息不完整,为了账户安全,请先补充。
现在去补充
×
提示
您因"违规操作"
具体请查看互助需知
我知道了
×
提示
确定
请完成安全验证×
copy
已复制链接
快去分享给好友吧!
我知道了
右上角分享
点击右上角分享
0
联系我们:info@booksci.cn Book学术提供免费学术资源搜索服务,方便国内外学者检索中英文文献。致力于提供最便捷和优质的服务体验。 Copyright © 2023 布克学术 All rights reserved.
京ICP备2023020795号-1
ghs 京公网安备 11010802042870号
Book学术文献互助
Book学术文献互助群
群 号:604180095
Book学术官方微信