抑郁症指示系统智能手机传感器的跨平台可用性:混合方法综述。

IF 1.9 Q3 MEDICINE, RESEARCH & EXPERIMENTAL
Johannes Leimhofer, Milica Petrovic, Andreas Dominik, Dominik Heider, Ulrich Hegerl
{"title":"抑郁症指示系统智能手机传感器的跨平台可用性:混合方法综述。","authors":"Johannes Leimhofer, Milica Petrovic, Andreas Dominik, Dominik Heider, Ulrich Hegerl","doi":"10.2196/69686","DOIUrl":null,"url":null,"abstract":"<p><strong>Background: </strong>A popular trend in depression forecasting research is the development of machine learning models trained with various types of smartphone sensor data and periodic self-ratings to derive early indications of changes in depression severity. While most works focus on model performance, there is little concern about the universal usability and reliable operation of such systems across smartphone platforms. This review serves as foundational work for the MENTINA clinical trial, which investigates smartphone-based health self-management for depression. The usability and reliability of mobile apps for depression are commonly perceived through the lens of the approaches and interventions offered rather than the reliability of the built-in mobile phone functions to support effortless and exact delivery of intended interventions.</p><p><strong>Objective: </strong>This work aimed to synthesize existing systematic reviews to identify smartphone sensor modalities used in mental health monitoring and, building on this foundation, assess the cross-platform availability of these data streams using PhoneDB to inform the design and implementation of digital depression indication systems.</p><p><strong>Methods: </strong>To identify the already used hardware and software sensors and their purposes in mental health monitoring, an umbrella review was conducted. Three electronic databases, including PubMed, Web of Science Core Collection, and Scopus, were searched using smartphone, sensor data, and depression keyword combination to retrieve relevant literature reviews published within the last 5 years (2019-2024). Once the initial search was completed, the extracted hardware sensors were checked for availability on Android and iOS smartphones by analyzing device specifications in PhoneDB over the last 10 years.</p><p><strong>Results: </strong>The extracted data streams observed across the 9 included studies covered 16 hardware and 3 software data streams. Hardware data streams included accelerometers, barometers, battery levels, Bluetooth, cameras, cellular networks, GPSs, gyroscopes, humidity, light sensors, magnetometers, proximity sensors, sound sensors, step counters, temperature sensors, and Wi-Fi. Software data streams included app usage, call and message logs, and screen status. Hardware component availability on Android and iOS systems showed the changes in component trends from 2014 to 2024 as of September 2024, with the accelerometers, batteries, cameras, and GPSs remaining consistent on Android and iOS, while components such as gyroscopes, step counters, and barometers gradually increased over the years, particularly on Android.</p><p><strong>Conclusions: </strong>Multiple data streams identified in the literature review showed a consistent increase in availability over time, enabling improved use of these outputs for depression forecasting and the training of machine learning models with diverse smartphone data, including sensor-derived information. For more precise and reliable data to be used in the mental health field, particularly in critical areas such as tracking and predicting changes in depression severity, further research is required to streamline smartphone data across varying mobile hardware and software configurations to provide reliable output for digital mental health purposes.</p>","PeriodicalId":51757,"journal":{"name":"Interactive Journal of Medical Research","volume":"14 ","pages":"e69686"},"PeriodicalIF":1.9000,"publicationDate":"2025-08-07","publicationTypes":"Journal Article","fieldsOfStudy":null,"isOpenAccess":false,"openAccessPdf":"https://www.ncbi.nlm.nih.gov/pmc/articles/PMC12371283/pdf/","citationCount":"0","resultStr":"{\"title\":\"Cross-Platform Availability of Smartphone Sensors for Depression Indication Systems: Mixed-Methods Umbrella Review.\",\"authors\":\"Johannes Leimhofer, Milica Petrovic, Andreas Dominik, Dominik Heider, Ulrich Hegerl\",\"doi\":\"10.2196/69686\",\"DOIUrl\":null,\"url\":null,\"abstract\":\"<p><strong>Background: </strong>A popular trend in depression forecasting research is the development of machine learning models trained with various types of smartphone sensor data and periodic self-ratings to derive early indications of changes in depression severity. While most works focus on model performance, there is little concern about the universal usability and reliable operation of such systems across smartphone platforms. This review serves as foundational work for the MENTINA clinical trial, which investigates smartphone-based health self-management for depression. The usability and reliability of mobile apps for depression are commonly perceived through the lens of the approaches and interventions offered rather than the reliability of the built-in mobile phone functions to support effortless and exact delivery of intended interventions.</p><p><strong>Objective: </strong>This work aimed to synthesize existing systematic reviews to identify smartphone sensor modalities used in mental health monitoring and, building on this foundation, assess the cross-platform availability of these data streams using PhoneDB to inform the design and implementation of digital depression indication systems.</p><p><strong>Methods: </strong>To identify the already used hardware and software sensors and their purposes in mental health monitoring, an umbrella review was conducted. Three electronic databases, including PubMed, Web of Science Core Collection, and Scopus, were searched using smartphone, sensor data, and depression keyword combination to retrieve relevant literature reviews published within the last 5 years (2019-2024). Once the initial search was completed, the extracted hardware sensors were checked for availability on Android and iOS smartphones by analyzing device specifications in PhoneDB over the last 10 years.</p><p><strong>Results: </strong>The extracted data streams observed across the 9 included studies covered 16 hardware and 3 software data streams. Hardware data streams included accelerometers, barometers, battery levels, Bluetooth, cameras, cellular networks, GPSs, gyroscopes, humidity, light sensors, magnetometers, proximity sensors, sound sensors, step counters, temperature sensors, and Wi-Fi. Software data streams included app usage, call and message logs, and screen status. Hardware component availability on Android and iOS systems showed the changes in component trends from 2014 to 2024 as of September 2024, with the accelerometers, batteries, cameras, and GPSs remaining consistent on Android and iOS, while components such as gyroscopes, step counters, and barometers gradually increased over the years, particularly on Android.</p><p><strong>Conclusions: </strong>Multiple data streams identified in the literature review showed a consistent increase in availability over time, enabling improved use of these outputs for depression forecasting and the training of machine learning models with diverse smartphone data, including sensor-derived information. For more precise and reliable data to be used in the mental health field, particularly in critical areas such as tracking and predicting changes in depression severity, further research is required to streamline smartphone data across varying mobile hardware and software configurations to provide reliable output for digital mental health purposes.</p>\",\"PeriodicalId\":51757,\"journal\":{\"name\":\"Interactive Journal of Medical Research\",\"volume\":\"14 \",\"pages\":\"e69686\"},\"PeriodicalIF\":1.9000,\"publicationDate\":\"2025-08-07\",\"publicationTypes\":\"Journal Article\",\"fieldsOfStudy\":null,\"isOpenAccess\":false,\"openAccessPdf\":\"https://www.ncbi.nlm.nih.gov/pmc/articles/PMC12371283/pdf/\",\"citationCount\":\"0\",\"resultStr\":null,\"platform\":\"Semanticscholar\",\"paperid\":null,\"PeriodicalName\":\"Interactive Journal of Medical Research\",\"FirstCategoryId\":\"1085\",\"ListUrlMain\":\"https://doi.org/10.2196/69686\",\"RegionNum\":0,\"RegionCategory\":null,\"ArticlePicture\":[],\"TitleCN\":null,\"AbstractTextCN\":null,\"PMCID\":null,\"EPubDate\":\"\",\"PubModel\":\"\",\"JCR\":\"Q3\",\"JCRName\":\"MEDICINE, RESEARCH & EXPERIMENTAL\",\"Score\":null,\"Total\":0}","platform":"Semanticscholar","paperid":null,"PeriodicalName":"Interactive Journal of Medical Research","FirstCategoryId":"1085","ListUrlMain":"https://doi.org/10.2196/69686","RegionNum":0,"RegionCategory":null,"ArticlePicture":[],"TitleCN":null,"AbstractTextCN":null,"PMCID":null,"EPubDate":"","PubModel":"","JCR":"Q3","JCRName":"MEDICINE, RESEARCH & EXPERIMENTAL","Score":null,"Total":0}
引用次数: 0

摘要

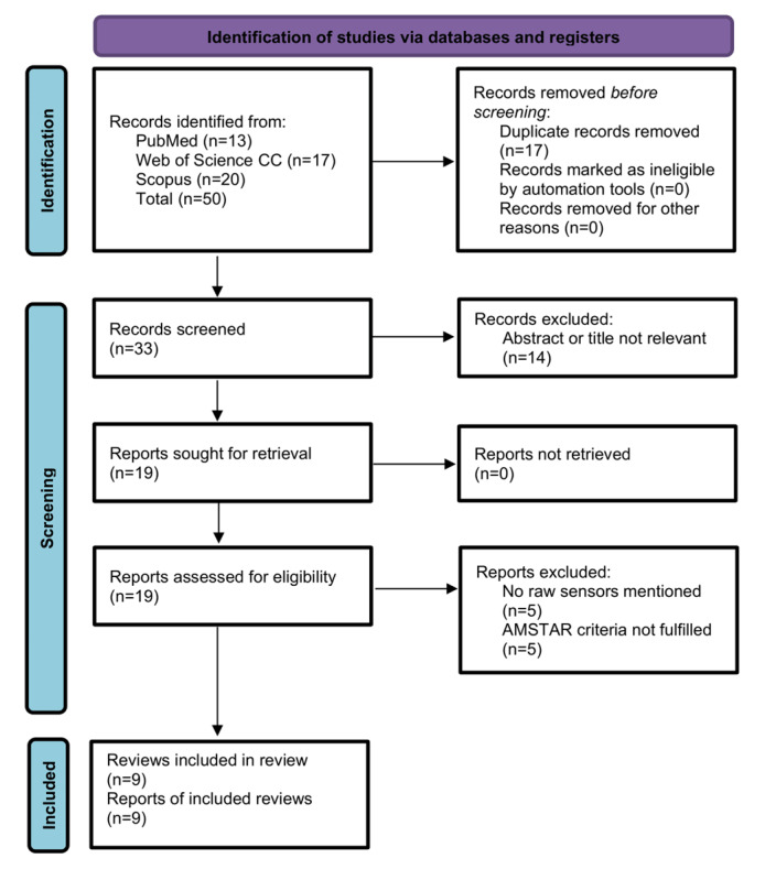
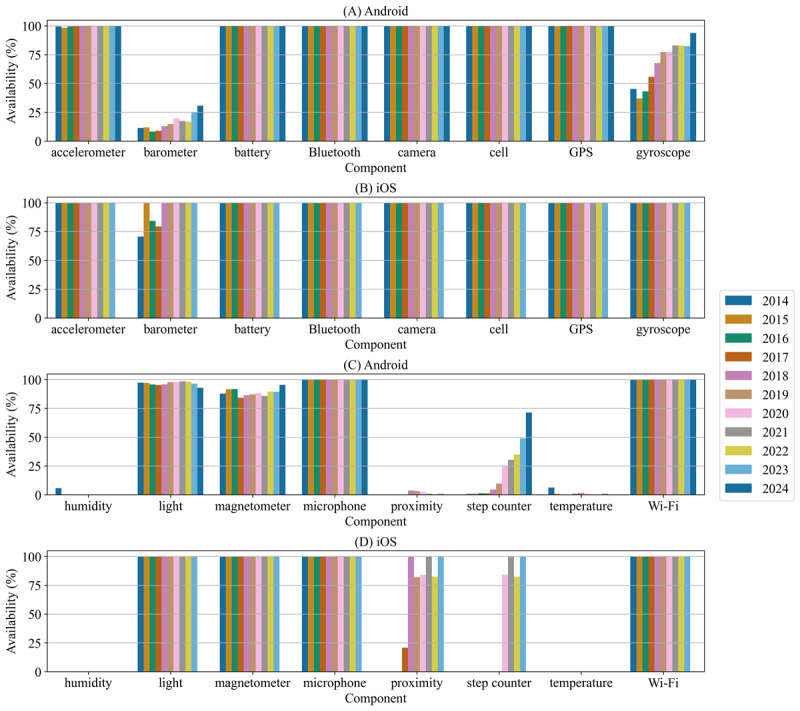
背景:抑郁症预测研究的一个流行趋势是发展机器学习模型,该模型使用各种类型的智能手机传感器数据和定期自我评分进行训练,以获得抑郁症严重程度变化的早期迹象。虽然大多数工作都集中在模型性能上,但很少关注这些系统在智能手机平台上的普遍可用性和可靠操作。这篇综述是MENTINA临床试验的基础工作,该试验研究基于智能手机的抑郁症健康自我管理。抑郁症手机应用程序的可用性和可靠性通常是通过提供的方法和干预措施来感知的,而不是通过内置手机功能的可靠性来支持轻松准确地提供预期的干预措施。目的:本工作旨在综合现有的系统综述,以确定用于心理健康监测的智能手机传感器模式,并在此基础上,利用PhoneDB评估这些数据流的跨平台可用性,为数字抑郁指示系统的设计和实施提供信息。方法:对已使用的硬件和软件传感器及其在心理健康监测中的用途进行综述。利用智能手机、传感器数据和抑郁症关键词组合对PubMed、Web of Science Core Collection、Scopus 3个电子数据库进行检索,检索近5年(2019-2024)发表的相关文献综述。一旦初始搜索完成,提取的硬件传感器将通过分析PhoneDB过去10年的设备规格来检查Android和iOS智能手机的可用性。结果:在9个纳入的研究中观察到的提取数据流涵盖了16个硬件数据流和3个软件数据流。硬件数据流包括加速度计、气压计、电池电量、蓝牙、摄像头、蜂窝网络、gps、陀螺仪、湿度、光传感器、磁力计、接近传感器、声音传感器、计步器、温度传感器和Wi-Fi。软件数据流包括应用程序使用情况、通话和消息日志以及屏幕状态。截至2024年9月,Android和iOS系统上的硬件组件可用性显示了2014年至2024年组件趋势的变化,其中加速计,电池,相机和gps在Android和iOS上保持一致,而陀螺仪,计步器和气压计等组件多年来逐渐增加,特别是在Android上。结论:在文献综述中发现的多个数据流显示,随着时间的推移,可用性持续增加,可以更好地利用这些输出进行抑郁症预测,并使用各种智能手机数据(包括传感器衍生信息)训练机器学习模型。为了在心理健康领域使用更精确和可靠的数据,特别是在跟踪和预测抑郁症严重程度变化等关键领域,需要进一步研究简化不同移动硬件和软件配置的智能手机数据,以便为数字心理健康目的提供可靠的输出。
本文章由计算机程序翻译,如有差异,请以英文原文为准。

Cross-Platform Availability of Smartphone Sensors for Depression Indication Systems: Mixed-Methods Umbrella Review.

Cross-Platform Availability of Smartphone Sensors for Depression Indication Systems: Mixed-Methods Umbrella Review.

Cross-Platform Availability of Smartphone Sensors for Depression Indication Systems: Mixed-Methods Umbrella Review.

Cross-Platform Availability of Smartphone Sensors for Depression Indication Systems: Mixed-Methods Umbrella Review.

Background: A popular trend in depression forecasting research is the development of machine learning models trained with various types of smartphone sensor data and periodic self-ratings to derive early indications of changes in depression severity. While most works focus on model performance, there is little concern about the universal usability and reliable operation of such systems across smartphone platforms. This review serves as foundational work for the MENTINA clinical trial, which investigates smartphone-based health self-management for depression. The usability and reliability of mobile apps for depression are commonly perceived through the lens of the approaches and interventions offered rather than the reliability of the built-in mobile phone functions to support effortless and exact delivery of intended interventions.

Objective: This work aimed to synthesize existing systematic reviews to identify smartphone sensor modalities used in mental health monitoring and, building on this foundation, assess the cross-platform availability of these data streams using PhoneDB to inform the design and implementation of digital depression indication systems.

Methods: To identify the already used hardware and software sensors and their purposes in mental health monitoring, an umbrella review was conducted. Three electronic databases, including PubMed, Web of Science Core Collection, and Scopus, were searched using smartphone, sensor data, and depression keyword combination to retrieve relevant literature reviews published within the last 5 years (2019-2024). Once the initial search was completed, the extracted hardware sensors were checked for availability on Android and iOS smartphones by analyzing device specifications in PhoneDB over the last 10 years.

Results: The extracted data streams observed across the 9 included studies covered 16 hardware and 3 software data streams. Hardware data streams included accelerometers, barometers, battery levels, Bluetooth, cameras, cellular networks, GPSs, gyroscopes, humidity, light sensors, magnetometers, proximity sensors, sound sensors, step counters, temperature sensors, and Wi-Fi. Software data streams included app usage, call and message logs, and screen status. Hardware component availability on Android and iOS systems showed the changes in component trends from 2014 to 2024 as of September 2024, with the accelerometers, batteries, cameras, and GPSs remaining consistent on Android and iOS, while components such as gyroscopes, step counters, and barometers gradually increased over the years, particularly on Android.

Conclusions: Multiple data streams identified in the literature review showed a consistent increase in availability over time, enabling improved use of these outputs for depression forecasting and the training of machine learning models with diverse smartphone data, including sensor-derived information. For more precise and reliable data to be used in the mental health field, particularly in critical areas such as tracking and predicting changes in depression severity, further research is required to streamline smartphone data across varying mobile hardware and software configurations to provide reliable output for digital mental health purposes.

求助全文
通过发布文献求助,成功后即可免费获取论文全文。 去求助
来源期刊
Interactive Journal of Medical Research
Interactive Journal of Medical Research MEDICINE, RESEARCH & EXPERIMENTAL-
自引率
0.00%
发文量
45
审稿时长
12 weeks
×
引用
GB/T 7714-2015
复制
MLA
复制
APA
复制
导出至
BibTeX EndNote RefMan NoteFirst NoteExpress
×
提示
您的信息不完整,为了账户安全,请先补充。
现在去补充
×
提示
您因"违规操作"
具体请查看互助需知
我知道了
×
提示
确定
请完成安全验证×
copy
已复制链接
快去分享给好友吧!
我知道了
右上角分享
点击右上角分享
0
联系我们:info@booksci.cn Book学术提供免费学术资源搜索服务,方便国内外学者检索中英文文献。致力于提供最便捷和优质的服务体验。 Copyright © 2023 布克学术 All rights reserved.
京ICP备2023020795号-1
ghs 京公网安备 11010802042870号
Book学术文献互助
Book学术文献互助群
群 号:604180095
Book学术官方微信