睡眠行为与怀孕时间:来自广州市队列的结果。

IF 3.4 2区 医学 Q1 PUBLIC, ENVIRONMENTAL & OCCUPATIONAL HEALTH
Yuxian Zhang, Dongling Gu, Yanyuan Xie, Bing Li
{"title":"睡眠行为与怀孕时间:来自广州市队列的结果。","authors":"Yuxian Zhang, Dongling Gu, Yanyuan Xie, Bing Li","doi":"10.1186/s12978-025-02106-x","DOIUrl":null,"url":null,"abstract":"<p><strong>Introduction: </strong>Fertility outcomes are increasingly influenced by modern lifestyle factors, including sleep behaviors. However, the relationship between sleep and time to pregnancy (TTP) is underexplored.</p><p><strong>Methods: </strong>We conducted a prospective cohort study of 1,684 couples in Guangzhou, China. Sleep behaviors were assessed via structured interviews. Cox proportional hazards models were used to estimate fecundability ratios (FRs), adjusting for potential confounders. Sleep-wake regularity was assessed for all women. Among those with regular patterns (n = 1506), we further analyzed sleep duration, bedtime, perceived sleep sufficiency, and insomnia.</p><p><strong>Results: </strong>Among all participants, 178 (10.6%) had irregular sleep. Time-varying models revealed that compared to regular sleepers, irregular sleepers exhibited a decreasing fecundability ratio (FR < 1) after approximately 2.6 months of attempting pregnancy, with the association becoming statistically significant after 4.1 months. In women with regular sleep, longer sleep duration was associated with higher fecundability (adjusted FR = 1.18, 95% CI: 1.09-1.27; p < 0.001). Spline analysis indicated a linear increase in fecundability with sleep durations exceeding 7.5 h. Perceived insufficient sleep was linked to reduced fecundability (adjusted FR = 0.62, 95% CI: 0.48-0.81; p < 0.001), while later bedtime was associated with lower fecundability (adjusted FR = 0.91, 95% CI: 0.84-0.98; p = 0.045). Insomnia showed no significant effect (adjusted FR = 0.86, 95% CI: 0.67-1.11, p = 0.241).</p><p><strong>Conclusions: </strong>Irregular sleep patterns may reduce fecundability over time. Among women with regular sleep, longer duration, earlier bedtime, and sufficient perceived sleep were associated with improved reproductive potential. Sleep optimization could be a modifiable behavioral target to enhance fertility.</p><p><strong>Trial registration: </strong>ChiCTR2300068809 registered 1/3/2023.</p>","PeriodicalId":20899,"journal":{"name":"Reproductive Health","volume":"22 1","pages":"141"},"PeriodicalIF":3.4000,"publicationDate":"2025-08-07","publicationTypes":"Journal Article","fieldsOfStudy":null,"isOpenAccess":false,"openAccessPdf":"https://www.ncbi.nlm.nih.gov/pmc/articles/PMC12333261/pdf/","citationCount":"0","resultStr":"{\"title\":\"Sleep behaviors and time-to-pregnancy: results from a Guangzhou City cohort.\",\"authors\":\"Yuxian Zhang, Dongling Gu, Yanyuan Xie, Bing Li\",\"doi\":\"10.1186/s12978-025-02106-x\",\"DOIUrl\":null,\"url\":null,\"abstract\":\"<p><strong>Introduction: </strong>Fertility outcomes are increasingly influenced by modern lifestyle factors, including sleep behaviors. However, the relationship between sleep and time to pregnancy (TTP) is underexplored.</p><p><strong>Methods: </strong>We conducted a prospective cohort study of 1,684 couples in Guangzhou, China. Sleep behaviors were assessed via structured interviews. Cox proportional hazards models were used to estimate fecundability ratios (FRs), adjusting for potential confounders. Sleep-wake regularity was assessed for all women. Among those with regular patterns (n = 1506), we further analyzed sleep duration, bedtime, perceived sleep sufficiency, and insomnia.</p><p><strong>Results: </strong>Among all participants, 178 (10.6%) had irregular sleep. Time-varying models revealed that compared to regular sleepers, irregular sleepers exhibited a decreasing fecundability ratio (FR < 1) after approximately 2.6 months of attempting pregnancy, with the association becoming statistically significant after 4.1 months. In women with regular sleep, longer sleep duration was associated with higher fecundability (adjusted FR = 1.18, 95% CI: 1.09-1.27; p < 0.001). Spline analysis indicated a linear increase in fecundability with sleep durations exceeding 7.5 h. Perceived insufficient sleep was linked to reduced fecundability (adjusted FR = 0.62, 95% CI: 0.48-0.81; p < 0.001), while later bedtime was associated with lower fecundability (adjusted FR = 0.91, 95% CI: 0.84-0.98; p = 0.045). Insomnia showed no significant effect (adjusted FR = 0.86, 95% CI: 0.67-1.11, p = 0.241).</p><p><strong>Conclusions: </strong>Irregular sleep patterns may reduce fecundability over time. Among women with regular sleep, longer duration, earlier bedtime, and sufficient perceived sleep were associated with improved reproductive potential. Sleep optimization could be a modifiable behavioral target to enhance fertility.</p><p><strong>Trial registration: </strong>ChiCTR2300068809 registered 1/3/2023.</p>\",\"PeriodicalId\":20899,\"journal\":{\"name\":\"Reproductive Health\",\"volume\":\"22 1\",\"pages\":\"141\"},\"PeriodicalIF\":3.4000,\"publicationDate\":\"2025-08-07\",\"publicationTypes\":\"Journal Article\",\"fieldsOfStudy\":null,\"isOpenAccess\":false,\"openAccessPdf\":\"https://www.ncbi.nlm.nih.gov/pmc/articles/PMC12333261/pdf/\",\"citationCount\":\"0\",\"resultStr\":null,\"platform\":\"Semanticscholar\",\"paperid\":null,\"PeriodicalName\":\"Reproductive Health\",\"FirstCategoryId\":\"3\",\"ListUrlMain\":\"https://doi.org/10.1186/s12978-025-02106-x\",\"RegionNum\":2,\"RegionCategory\":\"医学\",\"ArticlePicture\":[],\"TitleCN\":null,\"AbstractTextCN\":null,\"PMCID\":null,\"EPubDate\":\"\",\"PubModel\":\"\",\"JCR\":\"Q1\",\"JCRName\":\"PUBLIC, ENVIRONMENTAL & OCCUPATIONAL HEALTH\",\"Score\":null,\"Total\":0}","platform":"Semanticscholar","paperid":null,"PeriodicalName":"Reproductive Health","FirstCategoryId":"3","ListUrlMain":"https://doi.org/10.1186/s12978-025-02106-x","RegionNum":2,"RegionCategory":"医学","ArticlePicture":[],"TitleCN":null,"AbstractTextCN":null,"PMCID":null,"EPubDate":"","PubModel":"","JCR":"Q1","JCRName":"PUBLIC, ENVIRONMENTAL & OCCUPATIONAL HEALTH","Score":null,"Total":0}
引用次数: 0

摘要

生育结果越来越多地受到现代生活方式因素的影响,包括睡眠行为。然而,睡眠和怀孕时间(TTP)之间的关系尚未得到充分研究。方法:我们对中国广州的1684对夫妇进行了前瞻性队列研究。睡眠行为通过结构化访谈进行评估。Cox比例风险模型用于估计可生育率(FRs),并对潜在混杂因素进行调整。对所有女性的睡眠-觉醒规律进行了评估。在那些作息规律的人中(n = 1506),我们进一步分析了睡眠时间、就寝时间、睡眠充足程度和失眠症。结果:在所有参与者中,178人(10.6%)睡眠不规律。时变模型显示,与规律睡眠者相比,不规律睡眠者的受精率降低(FR结论:随着时间的推移,不规律的睡眠模式可能会降低受精率。在有规律睡眠的女性中,较长的睡眠时间、较早的就寝时间和充足的觉知睡眠与生殖潜力的提高有关。睡眠优化可能是提高生育能力的一个可修改的行为目标。试验注册:ChiCTR2300068809注册日期:2023年3月1日。
本文章由计算机程序翻译,如有差异,请以英文原文为准。

Sleep behaviors and time-to-pregnancy: results from a Guangzhou City cohort.

Sleep behaviors and time-to-pregnancy: results from a Guangzhou City cohort.

Sleep behaviors and time-to-pregnancy: results from a Guangzhou City cohort.

Sleep behaviors and time-to-pregnancy: results from a Guangzhou City cohort.

Introduction: Fertility outcomes are increasingly influenced by modern lifestyle factors, including sleep behaviors. However, the relationship between sleep and time to pregnancy (TTP) is underexplored.

Methods: We conducted a prospective cohort study of 1,684 couples in Guangzhou, China. Sleep behaviors were assessed via structured interviews. Cox proportional hazards models were used to estimate fecundability ratios (FRs), adjusting for potential confounders. Sleep-wake regularity was assessed for all women. Among those with regular patterns (n = 1506), we further analyzed sleep duration, bedtime, perceived sleep sufficiency, and insomnia.

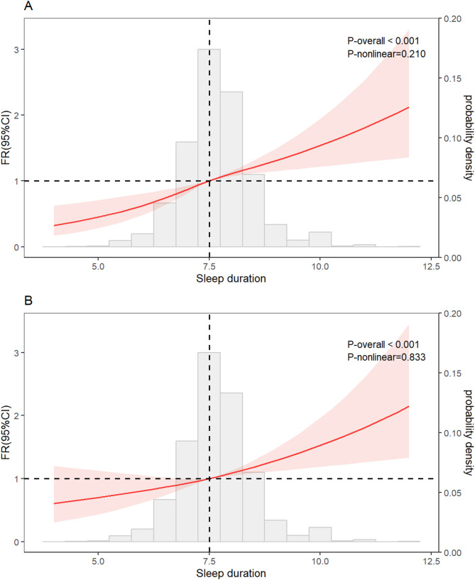
Results: Among all participants, 178 (10.6%) had irregular sleep. Time-varying models revealed that compared to regular sleepers, irregular sleepers exhibited a decreasing fecundability ratio (FR < 1) after approximately 2.6 months of attempting pregnancy, with the association becoming statistically significant after 4.1 months. In women with regular sleep, longer sleep duration was associated with higher fecundability (adjusted FR = 1.18, 95% CI: 1.09-1.27; p < 0.001). Spline analysis indicated a linear increase in fecundability with sleep durations exceeding 7.5 h. Perceived insufficient sleep was linked to reduced fecundability (adjusted FR = 0.62, 95% CI: 0.48-0.81; p < 0.001), while later bedtime was associated with lower fecundability (adjusted FR = 0.91, 95% CI: 0.84-0.98; p = 0.045). Insomnia showed no significant effect (adjusted FR = 0.86, 95% CI: 0.67-1.11, p = 0.241).

Conclusions: Irregular sleep patterns may reduce fecundability over time. Among women with regular sleep, longer duration, earlier bedtime, and sufficient perceived sleep were associated with improved reproductive potential. Sleep optimization could be a modifiable behavioral target to enhance fertility.

Trial registration: ChiCTR2300068809 registered 1/3/2023.

求助全文
通过发布文献求助,成功后即可免费获取论文全文。 去求助
来源期刊
Reproductive Health
Reproductive Health PUBLIC, ENVIRONMENTAL & OCCUPATIONAL HEALTH-
CiteScore
6.00
自引率
5.90%
发文量
220
审稿时长
>12 weeks
期刊介绍: Reproductive Health focuses on all aspects of human reproduction. The journal includes sections dedicated to adolescent health, female fertility and midwifery and all content is open access. Reproductive health is defined as a state of physical, mental, and social well-being in all matters relating to the reproductive system, at all stages of life. Good reproductive health implies that people are able to have a satisfying and safe sex life, the capability to reproduce and the freedom to decide if, when, and how often to do so. Men and women should be informed about and have access to safe, effective, affordable, and acceptable methods of family planning of their choice, and the right to appropriate health-care services that enable women to safely go through pregnancy and childbirth.
×
引用
GB/T 7714-2015
复制
MLA
复制
APA
复制
导出至
BibTeX EndNote RefMan NoteFirst NoteExpress
×
提示
您的信息不完整,为了账户安全,请先补充。
现在去补充
×
提示
您因"违规操作"
具体请查看互助需知
我知道了
×
提示
确定
请完成安全验证×
copy
已复制链接
快去分享给好友吧!
我知道了
右上角分享
点击右上角分享
0
联系我们:info@booksci.cn Book学术提供免费学术资源搜索服务,方便国内外学者检索中英文文献。致力于提供最便捷和优质的服务体验。 Copyright © 2023 布克学术 All rights reserved.
京ICP备2023020795号-1
ghs 京公网安备 11010802042870号
Book学术文献互助
Book学术文献互助群
群 号:604180095
Book学术官方微信