单基因与小组测序在晚期HR + /HER2-乳腺癌中的临床影响:见解和意义

IF 7.6 2区 医学 Q1 ONCOLOGY
Eva Valentina Klocker, Nina Dobrić, Ricarda Graf, Christine Beichler, Dominik Hlauschek, Christoph Suppan, Lara Pancheri, Daniel Egle, Carmen Albertini, Rupert Bartsch, Angelika Martina Starzer, Philipp Jakob Jost, Gabriel Rinnerthaler, Ellen Heitzer, Nadia Dandachi, Marija Balic
{"title":"单基因与小组测序在晚期HR + /HER2-乳腺癌中的临床影响:见解和意义","authors":"Eva Valentina Klocker, Nina Dobrić, Ricarda Graf, Christine Beichler, Dominik Hlauschek, Christoph Suppan, Lara Pancheri, Daniel Egle, Carmen Albertini, Rupert Bartsch, Angelika Martina Starzer, Philipp Jakob Jost, Gabriel Rinnerthaler, Ellen Heitzer, Nadia Dandachi, Marija Balic","doi":"10.1038/s41523-025-00805-z","DOIUrl":null,"url":null,"abstract":"<p><p>Hormone receptor-positive (HR + )/HER2-negative (HER2 - ) breast cancer is the most common subtype, with biomarker-driven therapies improving outcomes. Circulating tumor DNA (ctDNA) analysis enables minimally invasive assessment of somatic alterations to guide therapy. However, assay choice impacts clinical utility, and access remains inconsistent. This study compares single-gene and panel-based sequencing for assessing PIK3CA mutations and broader genomic profiling. We conducted a prospective, multicenter study analyzing 161 plasma samples from 146 patients before initiating a new line of palliative therapy using the SiMSen-Seq (SSS) assay for PIK3CA hotspot mutations, the AVENIO ctDNA Expanded assay (77 genes) and mFAST-SeqS for tumor fraction estimation. High concordance (92.6%) was observed between SSS and AVENIO for PIK3CA mutations. AVENIO identified additional actionable alterations, including ESR1 (17.5%) and PI3K pathway alterations (40.6%), and together with tumor fraction estimation, improved interpretation of negative liquid biopsy findings. These findings support broader ctDNA profiling in clinical practice while highlighting accessibility challenges.</p>","PeriodicalId":19247,"journal":{"name":"NPJ Breast Cancer","volume":"11 1","pages":"86"},"PeriodicalIF":7.6000,"publicationDate":"2025-08-07","publicationTypes":"Journal Article","fieldsOfStudy":null,"isOpenAccess":false,"openAccessPdf":"https://www.ncbi.nlm.nih.gov/pmc/articles/PMC12331942/pdf/","citationCount":"0","resultStr":"{\"title\":\"Clinical impact of single-gene vs. panel sequencing in advanced HR + /HER2- breast cancer: insights and implications.\",\"authors\":\"Eva Valentina Klocker, Nina Dobrić, Ricarda Graf, Christine Beichler, Dominik Hlauschek, Christoph Suppan, Lara Pancheri, Daniel Egle, Carmen Albertini, Rupert Bartsch, Angelika Martina Starzer, Philipp Jakob Jost, Gabriel Rinnerthaler, Ellen Heitzer, Nadia Dandachi, Marija Balic\",\"doi\":\"10.1038/s41523-025-00805-z\",\"DOIUrl\":null,\"url\":null,\"abstract\":\"<p><p>Hormone receptor-positive (HR + )/HER2-negative (HER2 - ) breast cancer is the most common subtype, with biomarker-driven therapies improving outcomes. Circulating tumor DNA (ctDNA) analysis enables minimally invasive assessment of somatic alterations to guide therapy. However, assay choice impacts clinical utility, and access remains inconsistent. This study compares single-gene and panel-based sequencing for assessing PIK3CA mutations and broader genomic profiling. We conducted a prospective, multicenter study analyzing 161 plasma samples from 146 patients before initiating a new line of palliative therapy using the SiMSen-Seq (SSS) assay for PIK3CA hotspot mutations, the AVENIO ctDNA Expanded assay (77 genes) and mFAST-SeqS for tumor fraction estimation. High concordance (92.6%) was observed between SSS and AVENIO for PIK3CA mutations. AVENIO identified additional actionable alterations, including ESR1 (17.5%) and PI3K pathway alterations (40.6%), and together with tumor fraction estimation, improved interpretation of negative liquid biopsy findings. These findings support broader ctDNA profiling in clinical practice while highlighting accessibility challenges.</p>\",\"PeriodicalId\":19247,\"journal\":{\"name\":\"NPJ Breast Cancer\",\"volume\":\"11 1\",\"pages\":\"86\"},\"PeriodicalIF\":7.6000,\"publicationDate\":\"2025-08-07\",\"publicationTypes\":\"Journal Article\",\"fieldsOfStudy\":null,\"isOpenAccess\":false,\"openAccessPdf\":\"https://www.ncbi.nlm.nih.gov/pmc/articles/PMC12331942/pdf/\",\"citationCount\":\"0\",\"resultStr\":null,\"platform\":\"Semanticscholar\",\"paperid\":null,\"PeriodicalName\":\"NPJ Breast Cancer\",\"FirstCategoryId\":\"3\",\"ListUrlMain\":\"https://doi.org/10.1038/s41523-025-00805-z\",\"RegionNum\":2,\"RegionCategory\":\"医学\",\"ArticlePicture\":[],\"TitleCN\":null,\"AbstractTextCN\":null,\"PMCID\":null,\"EPubDate\":\"\",\"PubModel\":\"\",\"JCR\":\"Q1\",\"JCRName\":\"ONCOLOGY\",\"Score\":null,\"Total\":0}","platform":"Semanticscholar","paperid":null,"PeriodicalName":"NPJ Breast Cancer","FirstCategoryId":"3","ListUrlMain":"https://doi.org/10.1038/s41523-025-00805-z","RegionNum":2,"RegionCategory":"医学","ArticlePicture":[],"TitleCN":null,"AbstractTextCN":null,"PMCID":null,"EPubDate":"","PubModel":"","JCR":"Q1","JCRName":"ONCOLOGY","Score":null,"Total":0}
引用次数: 0

摘要

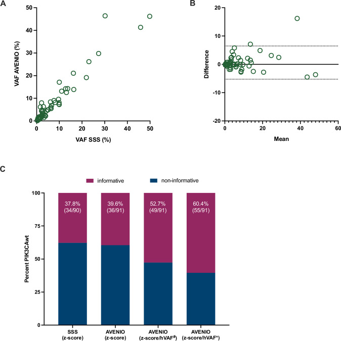
激素受体阳性(HR +)/HER2阴性(HER2 -)乳腺癌是最常见的亚型,生物标志物驱动的治疗可改善预后。循环肿瘤DNA (ctDNA)分析使体细胞改变的微创评估指导治疗。然而,检测方法的选择影响临床效用,获取途径仍然不一致。这项研究比较了单基因和基于小组的测序来评估PIK3CA突变和更广泛的基因组图谱。我们进行了一项前瞻性、多中心研究,分析了来自146名患者的161份血浆样本,然后开始了一项新的缓和疗法,使用SiMSen-Seq (SSS)检测PIK3CA热点突变,AVENIO ctDNA扩展检测(77个基因)和mFAST-SeqS评估肿瘤部分。在PIK3CA突变上,SSS和AVENIO具有很高的一致性(92.6%)。AVENIO确定了其他可操作的改变,包括ESR1(17.5%)和PI3K通路改变(40.6%),以及肿瘤分数估计,改善了对阴性液体活检结果的解释。这些发现支持临床实践中更广泛的ctDNA分析,同时突出了可访问性的挑战。
本文章由计算机程序翻译,如有差异,请以英文原文为准。

Clinical impact of single-gene vs. panel sequencing in advanced HR + /HER2- breast cancer: insights and implications.

Clinical impact of single-gene vs. panel sequencing in advanced HR + /HER2- breast cancer: insights and implications.

Clinical impact of single-gene vs. panel sequencing in advanced HR + /HER2- breast cancer: insights and implications.

Clinical impact of single-gene vs. panel sequencing in advanced HR + /HER2- breast cancer: insights and implications.

Hormone receptor-positive (HR + )/HER2-negative (HER2 - ) breast cancer is the most common subtype, with biomarker-driven therapies improving outcomes. Circulating tumor DNA (ctDNA) analysis enables minimally invasive assessment of somatic alterations to guide therapy. However, assay choice impacts clinical utility, and access remains inconsistent. This study compares single-gene and panel-based sequencing for assessing PIK3CA mutations and broader genomic profiling. We conducted a prospective, multicenter study analyzing 161 plasma samples from 146 patients before initiating a new line of palliative therapy using the SiMSen-Seq (SSS) assay for PIK3CA hotspot mutations, the AVENIO ctDNA Expanded assay (77 genes) and mFAST-SeqS for tumor fraction estimation. High concordance (92.6%) was observed between SSS and AVENIO for PIK3CA mutations. AVENIO identified additional actionable alterations, including ESR1 (17.5%) and PI3K pathway alterations (40.6%), and together with tumor fraction estimation, improved interpretation of negative liquid biopsy findings. These findings support broader ctDNA profiling in clinical practice while highlighting accessibility challenges.

求助全文
通过发布文献求助,成功后即可免费获取论文全文。 去求助
来源期刊
NPJ Breast Cancer
NPJ Breast Cancer Medicine-Pharmacology (medical)
CiteScore
10.10
自引率
1.70%
发文量
122
审稿时长
9 weeks
期刊介绍: npj Breast Cancer publishes original research articles, reviews, brief correspondence, meeting reports, editorial summaries and hypothesis generating observations which could be unexplained or preliminary findings from experiments, novel ideas, or the framing of new questions that need to be solved. Featured topics of the journal include imaging, immunotherapy, molecular classification of disease, mechanism-based therapies largely targeting signal transduction pathways, carcinogenesis including hereditary susceptibility and molecular epidemiology, survivorship issues including long-term toxicities of treatment and secondary neoplasm occurrence, the biophysics of cancer, mechanisms of metastasis and their perturbation, and studies of the tumor microenvironment.
×
引用
GB/T 7714-2015
复制
MLA
复制
APA
复制
导出至
BibTeX EndNote RefMan NoteFirst NoteExpress
×
提示
您的信息不完整,为了账户安全,请先补充。
现在去补充
×
提示
您因"违规操作"
具体请查看互助需知
我知道了
×
提示
确定
请完成安全验证×
copy
已复制链接
快去分享给好友吧!
我知道了
右上角分享
点击右上角分享
0
联系我们:info@booksci.cn Book学术提供免费学术资源搜索服务,方便国内外学者检索中英文文献。致力于提供最便捷和优质的服务体验。 Copyright © 2023 布克学术 All rights reserved.
京ICP备2023020795号-1
ghs 京公网安备 11010802042870号
Book学术文献互助
Book学术文献互助群
群 号:604180095
Book学术官方微信