利用金花莲α- l -鼠李糖苷酶将苦参果实和小枝中的苦参苷转化为苦参苷。

IF 3.1 4区 生物学 Q3 BIOTECHNOLOGY & APPLIED MICROBIOLOGY
Su-Hwan Kang, Yeong-Su Kim, Hwan Lee, Kyung-Chul Shin
{"title":"利用金花莲α- l -鼠李糖苷酶将苦参果实和小枝中的苦参苷转化为苦参苷。","authors":"Su-Hwan Kang, Yeong-Su Kim, Hwan Lee, Kyung-Chul Shin","doi":"10.4014/jmb.2505.05034","DOIUrl":null,"url":null,"abstract":"<p><p><i>Sophora japonica</i> L., a medicinal herb used in East Asia, contains bioactive flavonoids such as sophoricoside and sophorabioside. Sophoricoside, a more bioavailable and therapeutically potent form, is known for its pharmacological properties, including anti-inflammatory, -cancer, and -osteoporotic effects. However, conversion of sophorabioside into sophoricoside has not been extensively studied. In this study, we aimed for the enzymatic conversion of sophorabioside, abundant in the <i>S. japonica</i> fruits and small branches, into sophoricoside using α-L-rhamnosidase from <i>Chloroflexus aurantiacus</i>. Optimal reaction conditions for this biotransformation were established, with maximal enzymatic activity observed at pH 6.0 and 55°C. Substrate specificity analysis revealed high selectivity of the enzyme for neohesperidose-containing flavonoids, including sophorabioside. Sophoricoside was efficiently produced from <i>S. japonica</i> fruit and branch extracts, enhanced by 2.5% methanol. The biotransformed extracts demonstrated significant lipoxygenase inhibitory activity, suggesting enhanced anti-inflammatory potential, highlighting the potential of <i>S. japonica</i>-derived sophoricoside-enriched products as functional food supplements with improved therapeutic properties.</p>","PeriodicalId":16481,"journal":{"name":"Journal of microbiology and biotechnology","volume":"35 ","pages":"e2505034"},"PeriodicalIF":3.1000,"publicationDate":"2025-08-07","publicationTypes":"Journal Article","fieldsOfStudy":null,"isOpenAccess":false,"openAccessPdf":"https://www.ncbi.nlm.nih.gov/pmc/articles/PMC12351113/pdf/","citationCount":"0","resultStr":"{\"title\":\"Biotransformation of Sophorabioside in the Fruits and Small Branches of <i>Sophora japonica</i> into Sophoricoside Using α-L-Rhamnosidase from <i>Chloroflexus aurantiacus</i>.\",\"authors\":\"Su-Hwan Kang, Yeong-Su Kim, Hwan Lee, Kyung-Chul Shin\",\"doi\":\"10.4014/jmb.2505.05034\",\"DOIUrl\":null,\"url\":null,\"abstract\":\"<p><p><i>Sophora japonica</i> L., a medicinal herb used in East Asia, contains bioactive flavonoids such as sophoricoside and sophorabioside. Sophoricoside, a more bioavailable and therapeutically potent form, is known for its pharmacological properties, including anti-inflammatory, -cancer, and -osteoporotic effects. However, conversion of sophorabioside into sophoricoside has not been extensively studied. In this study, we aimed for the enzymatic conversion of sophorabioside, abundant in the <i>S. japonica</i> fruits and small branches, into sophoricoside using α-L-rhamnosidase from <i>Chloroflexus aurantiacus</i>. Optimal reaction conditions for this biotransformation were established, with maximal enzymatic activity observed at pH 6.0 and 55°C. Substrate specificity analysis revealed high selectivity of the enzyme for neohesperidose-containing flavonoids, including sophorabioside. Sophoricoside was efficiently produced from <i>S. japonica</i> fruit and branch extracts, enhanced by 2.5% methanol. The biotransformed extracts demonstrated significant lipoxygenase inhibitory activity, suggesting enhanced anti-inflammatory potential, highlighting the potential of <i>S. japonica</i>-derived sophoricoside-enriched products as functional food supplements with improved therapeutic properties.</p>\",\"PeriodicalId\":16481,\"journal\":{\"name\":\"Journal of microbiology and biotechnology\",\"volume\":\"35 \",\"pages\":\"e2505034\"},\"PeriodicalIF\":3.1000,\"publicationDate\":\"2025-08-07\",\"publicationTypes\":\"Journal Article\",\"fieldsOfStudy\":null,\"isOpenAccess\":false,\"openAccessPdf\":\"https://www.ncbi.nlm.nih.gov/pmc/articles/PMC12351113/pdf/\",\"citationCount\":\"0\",\"resultStr\":null,\"platform\":\"Semanticscholar\",\"paperid\":null,\"PeriodicalName\":\"Journal of microbiology and biotechnology\",\"FirstCategoryId\":\"5\",\"ListUrlMain\":\"https://doi.org/10.4014/jmb.2505.05034\",\"RegionNum\":4,\"RegionCategory\":\"生物学\",\"ArticlePicture\":[],\"TitleCN\":null,\"AbstractTextCN\":null,\"PMCID\":null,\"EPubDate\":\"\",\"PubModel\":\"\",\"JCR\":\"Q3\",\"JCRName\":\"BIOTECHNOLOGY & APPLIED MICROBIOLOGY\",\"Score\":null,\"Total\":0}","platform":"Semanticscholar","paperid":null,"PeriodicalName":"Journal of microbiology and biotechnology","FirstCategoryId":"5","ListUrlMain":"https://doi.org/10.4014/jmb.2505.05034","RegionNum":4,"RegionCategory":"生物学","ArticlePicture":[],"TitleCN":null,"AbstractTextCN":null,"PMCID":null,"EPubDate":"","PubModel":"","JCR":"Q3","JCRName":"BIOTECHNOLOGY & APPLIED MICROBIOLOGY","Score":null,"Total":0}
引用次数: 0

摘要

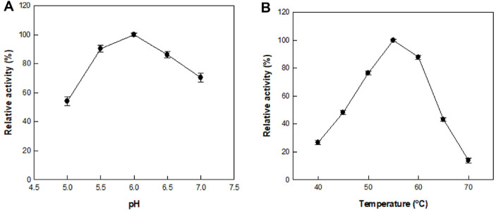
苦参是东亚地区的一种药材,含有具有生物活性的黄酮类化合物,如苦参皂苷和苦参皂苷。苦参皂苷是一种生物利用度更高、治疗效果更好的形式,以其药理特性而闻名,包括抗炎、抗癌和骨质疏松作用。然而,苦参皂苷转化为苦参皂苷尚未得到广泛的研究。在本研究中,我们旨在利用金菖蒲(Chloroflexus aurantiacus)中的α- l -鼠李糖苷酶,将富含在粳稻果实和小枝中的苦参苷转化为苦参苷。确定了该生物转化的最佳反应条件,在pH 6.0和55°C时酶活性最高。底物特异性分析表明,该酶对含新橙皮苷类黄酮(包括槐皂苷)具有高选择性。在2.5%甲醇的作用下,苦参果及其分支提取物可有效地制备苦参皂苷。生物转化提取物显示出显著的脂肪加氧酶抑制活性,表明具有增强的抗炎潜力,突出了刺参衍生的苦参皂苷富集产品作为功能性食品补充剂的潜力,具有改善的治疗特性。
本文章由计算机程序翻译,如有差异,请以英文原文为准。

Biotransformation of Sophorabioside in the Fruits and Small Branches of <i>Sophora japonica</i> into Sophoricoside Using α-L-Rhamnosidase from <i>Chloroflexus aurantiacus</i>.

Biotransformation of Sophorabioside in the Fruits and Small Branches of <i>Sophora japonica</i> into Sophoricoside Using α-L-Rhamnosidase from <i>Chloroflexus aurantiacus</i>.

Biotransformation of Sophorabioside in the Fruits and Small Branches of <i>Sophora japonica</i> into Sophoricoside Using α-L-Rhamnosidase from <i>Chloroflexus aurantiacus</i>.

Biotransformation of Sophorabioside in the Fruits and Small Branches of Sophora japonica into Sophoricoside Using α-L-Rhamnosidase from Chloroflexus aurantiacus.

Sophora japonica L., a medicinal herb used in East Asia, contains bioactive flavonoids such as sophoricoside and sophorabioside. Sophoricoside, a more bioavailable and therapeutically potent form, is known for its pharmacological properties, including anti-inflammatory, -cancer, and -osteoporotic effects. However, conversion of sophorabioside into sophoricoside has not been extensively studied. In this study, we aimed for the enzymatic conversion of sophorabioside, abundant in the S. japonica fruits and small branches, into sophoricoside using α-L-rhamnosidase from Chloroflexus aurantiacus. Optimal reaction conditions for this biotransformation were established, with maximal enzymatic activity observed at pH 6.0 and 55°C. Substrate specificity analysis revealed high selectivity of the enzyme for neohesperidose-containing flavonoids, including sophorabioside. Sophoricoside was efficiently produced from S. japonica fruit and branch extracts, enhanced by 2.5% methanol. The biotransformed extracts demonstrated significant lipoxygenase inhibitory activity, suggesting enhanced anti-inflammatory potential, highlighting the potential of S. japonica-derived sophoricoside-enriched products as functional food supplements with improved therapeutic properties.

求助全文
通过发布文献求助,成功后即可免费获取论文全文。 去求助
来源期刊
Journal of microbiology and biotechnology
Journal of microbiology and biotechnology BIOTECHNOLOGY & APPLIED MICROBIOLOGY-MICROBIOLOGY
CiteScore
5.50
自引率
3.60%
发文量
151
审稿时长
2 months
期刊介绍: The Journal of Microbiology and Biotechnology (JMB) is a monthly international journal devoted to the advancement and dissemination of scientific knowledge pertaining to microbiology, biotechnology, and related academic disciplines. It covers various scientific and technological aspects of Molecular and Cellular Microbiology, Environmental Microbiology and Biotechnology, Food Biotechnology, and Biotechnology and Bioengineering (subcategories are listed below). Launched in March 1991, the JMB is published by the Korean Society for Microbiology and Biotechnology (KMB) and distributed worldwide.
×
引用
GB/T 7714-2015
复制
MLA
复制
APA
复制
导出至
BibTeX EndNote RefMan NoteFirst NoteExpress
×
提示
您的信息不完整,为了账户安全,请先补充。
现在去补充
×
提示
您因"违规操作"
具体请查看互助需知
我知道了
×
提示
确定
请完成安全验证×
copy
已复制链接
快去分享给好友吧!
我知道了
右上角分享
点击右上角分享
0
联系我们:info@booksci.cn Book学术提供免费学术资源搜索服务,方便国内外学者检索中英文文献。致力于提供最便捷和优质的服务体验。 Copyright © 2023 布克学术 All rights reserved.
京ICP备2023020795号-1
ghs 京公网安备 11010802042870号
Book学术文献互助
Book学术文献互助群
群 号:604180095
Book学术官方微信