有生物电阻抗分析测量困难的人低肌肉量的简单估计方法。

IF 1.7 4区 医学 Q3 NUTRITION & DIETETICS
Journal of Clinical Biochemistry and Nutrition Pub Date : 2025-07-01 Epub Date: 2025-03-20 DOI:10.3164/jcbn.25-13
Hirohito Sasaki, Osamu Yamamura, Hidenori Onishi, Hiromasa Tsubouchi, Yasutaka Mizukami, Masafumi Kubota, Ryouko Ikeda, Naohiro Konoshita, Tokuharu Tanaka, Takahiro Kishimoto, Koji Kobayashi, Hiroyuki Hayashi, Yasuhiro Nishiyama
{"title":"有生物电阻抗分析测量困难的人低肌肉量的简单估计方法。","authors":"Hirohito Sasaki, Osamu Yamamura, Hidenori Onishi, Hiromasa Tsubouchi, Yasutaka Mizukami, Masafumi Kubota, Ryouko Ikeda, Naohiro Konoshita, Tokuharu Tanaka, Takahiro Kishimoto, Koji Kobayashi, Hiroyuki Hayashi, Yasuhiro Nishiyama","doi":"10.3164/jcbn.25-13","DOIUrl":null,"url":null,"abstract":"<p><p>Bioelectrical impedance analysis cannot be used to measure muscle mass in some individuals. We aimed to determine cutoff values for low skeletal muscle mass index in sarcopenia diagnosis, based on the fat-free muscle mass index estimated using body fat percentage prediction equations, without relying on bioelectrical impedance analysis. The study included 564 residents from Wakasa, Fukui Prefecture, with a mean age of 76.0 ± 7.1 years. Body composition assessments using bioelectrical impedance analysis were conducted. Three prediction equations for body fat percentage (Ito <i>et al.</i>, Deurenberg <i>et al.</i>, and Gallagher <i>et al.</i>'s model for Asians) were applied. The cutoff value of the fat-free muscle mass index corresponding to low skeletal muscle mass index in sarcopenia diagnostic criteria was determined using receiver operating characteristic curves. Receiver operating characteristic curve analysis showed that the formula by Ito <i>et al.</i> yielded the highest area under the curve for estimating low skeletal muscle mass index in men, at 0.83. In women, the formulas by Ito <i>et al.</i> and Gallagher <i>et al.</i> performed similarly, each achieving an area under the curve of 0.779. The fat-free muscle mass index estimated using the body fat prediction formulas appear to be useful for screening low skeletal muscle mass index.</p>","PeriodicalId":15429,"journal":{"name":"Journal of Clinical Biochemistry and Nutrition","volume":"77 1","pages":"91-98"},"PeriodicalIF":1.7000,"publicationDate":"2025-07-01","publicationTypes":"Journal Article","fieldsOfStudy":null,"isOpenAccess":false,"openAccessPdf":"https://www.ncbi.nlm.nih.gov/pmc/articles/PMC12326252/pdf/","citationCount":"0","resultStr":"{\"title\":\"Simple method for estimating low muscle mass in persons with bioelectrical impedance analysis measurement difficulties.\",\"authors\":\"Hirohito Sasaki, Osamu Yamamura, Hidenori Onishi, Hiromasa Tsubouchi, Yasutaka Mizukami, Masafumi Kubota, Ryouko Ikeda, Naohiro Konoshita, Tokuharu Tanaka, Takahiro Kishimoto, Koji Kobayashi, Hiroyuki Hayashi, Yasuhiro Nishiyama\",\"doi\":\"10.3164/jcbn.25-13\",\"DOIUrl\":null,\"url\":null,\"abstract\":\"<p><p>Bioelectrical impedance analysis cannot be used to measure muscle mass in some individuals. We aimed to determine cutoff values for low skeletal muscle mass index in sarcopenia diagnosis, based on the fat-free muscle mass index estimated using body fat percentage prediction equations, without relying on bioelectrical impedance analysis. The study included 564 residents from Wakasa, Fukui Prefecture, with a mean age of 76.0 ± 7.1 years. Body composition assessments using bioelectrical impedance analysis were conducted. Three prediction equations for body fat percentage (Ito <i>et al.</i>, Deurenberg <i>et al.</i>, and Gallagher <i>et al.</i>'s model for Asians) were applied. The cutoff value of the fat-free muscle mass index corresponding to low skeletal muscle mass index in sarcopenia diagnostic criteria was determined using receiver operating characteristic curves. Receiver operating characteristic curve analysis showed that the formula by Ito <i>et al.</i> yielded the highest area under the curve for estimating low skeletal muscle mass index in men, at 0.83. In women, the formulas by Ito <i>et al.</i> and Gallagher <i>et al.</i> performed similarly, each achieving an area under the curve of 0.779. The fat-free muscle mass index estimated using the body fat prediction formulas appear to be useful for screening low skeletal muscle mass index.</p>\",\"PeriodicalId\":15429,\"journal\":{\"name\":\"Journal of Clinical Biochemistry and Nutrition\",\"volume\":\"77 1\",\"pages\":\"91-98\"},\"PeriodicalIF\":1.7000,\"publicationDate\":\"2025-07-01\",\"publicationTypes\":\"Journal Article\",\"fieldsOfStudy\":null,\"isOpenAccess\":false,\"openAccessPdf\":\"https://www.ncbi.nlm.nih.gov/pmc/articles/PMC12326252/pdf/\",\"citationCount\":\"0\",\"resultStr\":null,\"platform\":\"Semanticscholar\",\"paperid\":null,\"PeriodicalName\":\"Journal of Clinical Biochemistry and Nutrition\",\"FirstCategoryId\":\"3\",\"ListUrlMain\":\"https://doi.org/10.3164/jcbn.25-13\",\"RegionNum\":4,\"RegionCategory\":\"医学\",\"ArticlePicture\":[],\"TitleCN\":null,\"AbstractTextCN\":null,\"PMCID\":null,\"EPubDate\":\"2025/3/20 0:00:00\",\"PubModel\":\"Epub\",\"JCR\":\"Q3\",\"JCRName\":\"NUTRITION & DIETETICS\",\"Score\":null,\"Total\":0}","platform":"Semanticscholar","paperid":null,"PeriodicalName":"Journal of Clinical Biochemistry and Nutrition","FirstCategoryId":"3","ListUrlMain":"https://doi.org/10.3164/jcbn.25-13","RegionNum":4,"RegionCategory":"医学","ArticlePicture":[],"TitleCN":null,"AbstractTextCN":null,"PMCID":null,"EPubDate":"2025/3/20 0:00:00","PubModel":"Epub","JCR":"Q3","JCRName":"NUTRITION & DIETETICS","Score":null,"Total":0}
引用次数: 0

摘要

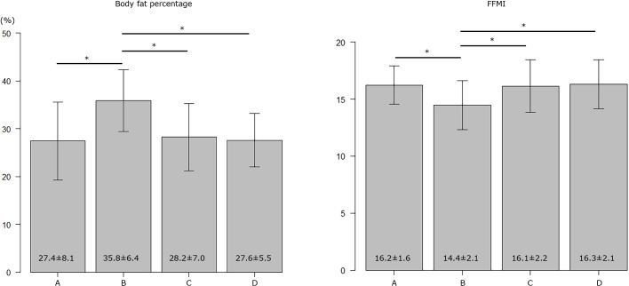
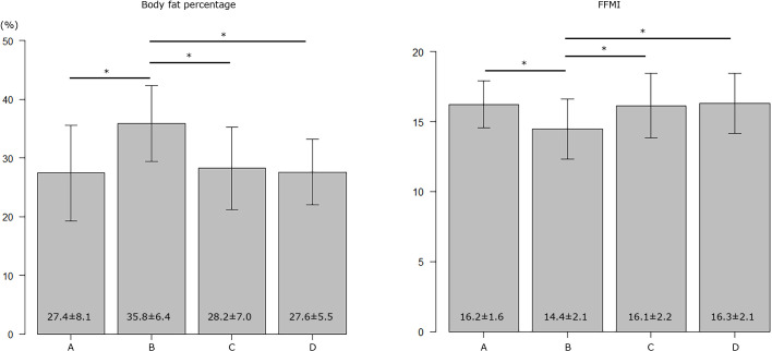
生物电阻抗分析不能用于测量某些个体的肌肉质量。我们的目的是确定低骨骼肌质量指数在肌少症诊断中的临界值,基于使用体脂百分比预测方程估计的无脂肌肉质量指数,而不依赖于生物电阻抗分析。研究对象为福井县若浅县564名居民,平均年龄76.0±7.1岁。使用生物电阻抗分析进行身体成分评估。采用了三个体脂率预测方程(Ito等人,Deurenberg等人,以及Gallagher等人的亚洲模型)。采用受试者工作特征曲线确定肌少症诊断标准中低骨骼肌质量指数对应的无脂肌质量指数的截止值。受试者工作特征曲线分析显示,Ito等人的公式为估计男性低骨骼肌质量指数提供了曲线下的最大面积,为0.83。在女性中,Ito等人和Gallagher等人的公式表现相似,曲线下的面积均为0.779。使用体脂预测公式估计的无脂肌肉质量指数似乎对筛选低骨骼肌质量指数有用。
本文章由计算机程序翻译,如有差异,请以英文原文为准。

Simple method for estimating low muscle mass in persons with bioelectrical impedance analysis measurement difficulties.

Simple method for estimating low muscle mass in persons with bioelectrical impedance analysis measurement difficulties.

Simple method for estimating low muscle mass in persons with bioelectrical impedance analysis measurement difficulties.

Simple method for estimating low muscle mass in persons with bioelectrical impedance analysis measurement difficulties.

Simple method for estimating low muscle mass in persons with bioelectrical impedance analysis measurement difficulties.

Simple method for estimating low muscle mass in persons with bioelectrical impedance analysis measurement difficulties.

Simple method for estimating low muscle mass in persons with bioelectrical impedance analysis measurement difficulties.

Bioelectrical impedance analysis cannot be used to measure muscle mass in some individuals. We aimed to determine cutoff values for low skeletal muscle mass index in sarcopenia diagnosis, based on the fat-free muscle mass index estimated using body fat percentage prediction equations, without relying on bioelectrical impedance analysis. The study included 564 residents from Wakasa, Fukui Prefecture, with a mean age of 76.0 ± 7.1 years. Body composition assessments using bioelectrical impedance analysis were conducted. Three prediction equations for body fat percentage (Ito et al., Deurenberg et al., and Gallagher et al.'s model for Asians) were applied. The cutoff value of the fat-free muscle mass index corresponding to low skeletal muscle mass index in sarcopenia diagnostic criteria was determined using receiver operating characteristic curves. Receiver operating characteristic curve analysis showed that the formula by Ito et al. yielded the highest area under the curve for estimating low skeletal muscle mass index in men, at 0.83. In women, the formulas by Ito et al. and Gallagher et al. performed similarly, each achieving an area under the curve of 0.779. The fat-free muscle mass index estimated using the body fat prediction formulas appear to be useful for screening low skeletal muscle mass index.

求助全文
通过发布文献求助,成功后即可免费获取论文全文。 去求助
来源期刊
CiteScore
4.30
自引率
8.30%
发文量
57
审稿时长
6-12 weeks
期刊介绍: Journal of Clinical Biochemistry and Nutrition (JCBN) is an international, interdisciplinary publication encompassing chemical, biochemical, physiological, pathological, toxicological and medical approaches to research on lipid peroxidation, free radicals, oxidative stress and nutrition. The Journal welcomes original contributions dealing with all aspects of clinical biochemistry and clinical nutrition including both in vitro and in vivo studies.
×
引用
GB/T 7714-2015
复制
MLA
复制
APA
复制
导出至
BibTeX EndNote RefMan NoteFirst NoteExpress
×
提示
您的信息不完整,为了账户安全,请先补充。
现在去补充
×
提示
您因"违规操作"
具体请查看互助需知
我知道了
×
提示
确定
请完成安全验证×
copy
已复制链接
快去分享给好友吧!
我知道了
右上角分享
点击右上角分享
0
联系我们:info@booksci.cn Book学术提供免费学术资源搜索服务,方便国内外学者检索中英文文献。致力于提供最便捷和优质的服务体验。 Copyright © 2023 布克学术 All rights reserved.
京ICP备2023020795号-1
ghs 京公网安备 11010802042870号
Book学术文献互助
Book学术文献互助群
群 号:604180095
Book学术官方微信