心衰患者β受体阻滞剂处方状态对环境PM2.5与生命体征关系的影响

IF 5.3 2区 环境科学与生态学 Q1 ENVIRONMENTAL SCIENCES
Morgan Narain, Miyuki Breen, Alex P Carll, Mehdi Hazari, Aimen Farraj, Cavin K Ward-Caviness
{"title":"心衰患者β受体阻滞剂处方状态对环境PM2.5与生命体征关系的影响","authors":"Morgan Narain, Miyuki Breen, Alex P Carll, Mehdi Hazari, Aimen Farraj, Cavin K Ward-Caviness","doi":"10.1186/s12940-025-01203-5","DOIUrl":null,"url":null,"abstract":"<p><strong>Background: </strong>Fine particulate matter (PM<sub>2.5</sub>) is associated with cardiovascular morbidity, especially among individuals with pre-existing cardiovascular conditions, such as heart failure (HF). Medical management with β-blockers may modify the association between PM<sub>2.5</sub> and heart rate (HR) as β-blockers act on similar neurophysiologic pathways as PM<sub>2.5</sub>.</p><p><strong>Methods: </strong>To examine potential medication-PM<sub>2.5</sub> interactions, we utilized electronic health records (EHRs) from 26,653 individuals with HF in North Carolina observed from 2014 to 2016. Linear mixed effect models with a random intercept for individual were adjusted for individual and census level demographics and socioeconomic confounders. We examined 0-4-daily PM<sub>2.5</sub> lags as well as the 5-day moving average. We stratified observations based β-blocker prescription status and quantified differences using a multiplicative interaction model. We also utilized data from an in vivo study of diesel exhaust exposure and β-blocker usage in HF prone rats to validate results and examine additional outcomes unavailable in the EHR data.</p><p><strong>Results: </strong>Stratified analyses and the multiplicative interaction model revealed a significant difference in the association between PM<sub>2.5</sub> and HR based on β-blocker prescription status. For 5-day average PM<sub>2.5</sub> we observed a significant interaction (β<sub>interaction</sub> = -0.68, 95% CI: -0.82, -0.55) indicating that the association between PM<sub>2.5</sub> and HR decreased for observations occurring after prescription of a β-blocker to study participants. This observation was reflected in the in vivo study as well.</p><p><strong>Conclusions: </strong>β-blocker usage likely attenuates associations between short-term PM<sub>2.5</sub> and HR. Accounting for this in future studies may reveal novel means of reducing PM<sub>2.5</sub>-related cardiovascular morbidity and reduce confounding in population with high rates of β-blocker usage.</p>","PeriodicalId":11686,"journal":{"name":"Environmental Health","volume":"24 1","pages":"55"},"PeriodicalIF":5.3000,"publicationDate":"2025-08-07","publicationTypes":"Journal Article","fieldsOfStudy":null,"isOpenAccess":false,"openAccessPdf":"https://www.ncbi.nlm.nih.gov/pmc/articles/PMC12333237/pdf/","citationCount":"0","resultStr":"{\"title\":\"Modification of associations between ambient PM<sub>2.5</sub> and vital signs by β-blocker prescription status among individuals with heart failure.\",\"authors\":\"Morgan Narain, Miyuki Breen, Alex P Carll, Mehdi Hazari, Aimen Farraj, Cavin K Ward-Caviness\",\"doi\":\"10.1186/s12940-025-01203-5\",\"DOIUrl\":null,\"url\":null,\"abstract\":\"<p><strong>Background: </strong>Fine particulate matter (PM<sub>2.5</sub>) is associated with cardiovascular morbidity, especially among individuals with pre-existing cardiovascular conditions, such as heart failure (HF). Medical management with β-blockers may modify the association between PM<sub>2.5</sub> and heart rate (HR) as β-blockers act on similar neurophysiologic pathways as PM<sub>2.5</sub>.</p><p><strong>Methods: </strong>To examine potential medication-PM<sub>2.5</sub> interactions, we utilized electronic health records (EHRs) from 26,653 individuals with HF in North Carolina observed from 2014 to 2016. Linear mixed effect models with a random intercept for individual were adjusted for individual and census level demographics and socioeconomic confounders. We examined 0-4-daily PM<sub>2.5</sub> lags as well as the 5-day moving average. We stratified observations based β-blocker prescription status and quantified differences using a multiplicative interaction model. We also utilized data from an in vivo study of diesel exhaust exposure and β-blocker usage in HF prone rats to validate results and examine additional outcomes unavailable in the EHR data.</p><p><strong>Results: </strong>Stratified analyses and the multiplicative interaction model revealed a significant difference in the association between PM<sub>2.5</sub> and HR based on β-blocker prescription status. For 5-day average PM<sub>2.5</sub> we observed a significant interaction (β<sub>interaction</sub> = -0.68, 95% CI: -0.82, -0.55) indicating that the association between PM<sub>2.5</sub> and HR decreased for observations occurring after prescription of a β-blocker to study participants. This observation was reflected in the in vivo study as well.</p><p><strong>Conclusions: </strong>β-blocker usage likely attenuates associations between short-term PM<sub>2.5</sub> and HR. Accounting for this in future studies may reveal novel means of reducing PM<sub>2.5</sub>-related cardiovascular morbidity and reduce confounding in population with high rates of β-blocker usage.</p>\",\"PeriodicalId\":11686,\"journal\":{\"name\":\"Environmental Health\",\"volume\":\"24 1\",\"pages\":\"55\"},\"PeriodicalIF\":5.3000,\"publicationDate\":\"2025-08-07\",\"publicationTypes\":\"Journal Article\",\"fieldsOfStudy\":null,\"isOpenAccess\":false,\"openAccessPdf\":\"https://www.ncbi.nlm.nih.gov/pmc/articles/PMC12333237/pdf/\",\"citationCount\":\"0\",\"resultStr\":null,\"platform\":\"Semanticscholar\",\"paperid\":null,\"PeriodicalName\":\"Environmental Health\",\"FirstCategoryId\":\"93\",\"ListUrlMain\":\"https://doi.org/10.1186/s12940-025-01203-5\",\"RegionNum\":2,\"RegionCategory\":\"环境科学与生态学\",\"ArticlePicture\":[],\"TitleCN\":null,\"AbstractTextCN\":null,\"PMCID\":null,\"EPubDate\":\"\",\"PubModel\":\"\",\"JCR\":\"Q1\",\"JCRName\":\"ENVIRONMENTAL SCIENCES\",\"Score\":null,\"Total\":0}","platform":"Semanticscholar","paperid":null,"PeriodicalName":"Environmental Health","FirstCategoryId":"93","ListUrlMain":"https://doi.org/10.1186/s12940-025-01203-5","RegionNum":2,"RegionCategory":"环境科学与生态学","ArticlePicture":[],"TitleCN":null,"AbstractTextCN":null,"PMCID":null,"EPubDate":"","PubModel":"","JCR":"Q1","JCRName":"ENVIRONMENTAL SCIENCES","Score":null,"Total":0}
引用次数: 0

摘要

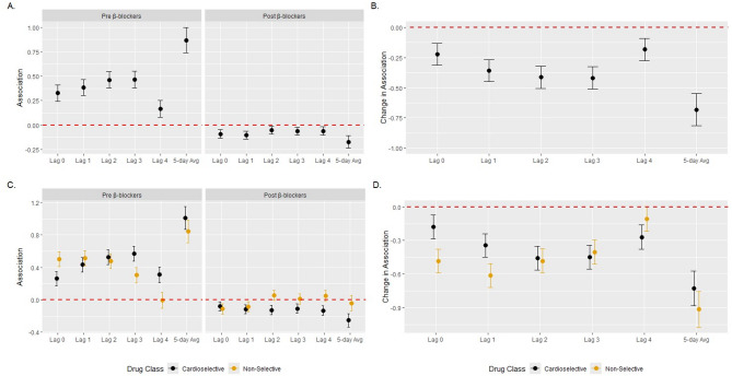
背景:细颗粒物(PM2.5)与心血管疾病有关,特别是在已有心血管疾病的人群中,如心力衰竭(HF)。β受体阻滞剂的医疗管理可能会改变PM2.5与心率(HR)之间的关系,因为β受体阻滞剂作用于与PM2.5相似的神经生理途径。方法:为了检查潜在的药物与pm2.5的相互作用,我们利用了2014年至2016年在北卡罗来纳州观察到的26,653例HF患者的电子健康记录(EHRs)。对个体随机截距的线性混合效应模型进行了调整,以适应个体和人口普查水平的人口统计学和社会经济混杂因素。我们研究了0-4日PM2.5滞后和5日移动平均。我们基于β-阻滞剂处方状况分层观察,并使用乘法相互作用模型量化差异。我们还利用了在HF易感大鼠中柴油机尾气暴露和β受体阻滞剂使用的体内研究数据来验证结果,并检查了电子病历数据中不可用的其他结果。结果:分层分析和乘法相互作用模型显示,基于β-阻滞剂处方状态的PM2.5与HR之间的关联存在显著差异。对于5天平均PM2.5,我们观察到显著的相互作用(β相互作用= -0.68,95% CI: -0.82, -0.55),表明PM2.5和HR之间的关联在研究参与者服用β受体阻滞剂后下降。这一观察结果也反映在体内研究中。结论:β受体阻滞剂的使用可能会减弱短期PM2.5与HR之间的关联。考虑到这一点,未来的研究可能会揭示减少pm2.5相关心血管发病率的新方法,并减少β受体阻滞剂使用率高的人群的混淆。
本文章由计算机程序翻译,如有差异,请以英文原文为准。

Modification of associations between ambient PM<sub>2.5</sub> and vital signs by β-blocker prescription status among individuals with heart failure.

Modification of associations between ambient PM<sub>2.5</sub> and vital signs by β-blocker prescription status among individuals with heart failure.

Modification of associations between ambient PM<sub>2.5</sub> and vital signs by β-blocker prescription status among individuals with heart failure.

Modification of associations between ambient PM2.5 and vital signs by β-blocker prescription status among individuals with heart failure.

Background: Fine particulate matter (PM2.5) is associated with cardiovascular morbidity, especially among individuals with pre-existing cardiovascular conditions, such as heart failure (HF). Medical management with β-blockers may modify the association between PM2.5 and heart rate (HR) as β-blockers act on similar neurophysiologic pathways as PM2.5.

Methods: To examine potential medication-PM2.5 interactions, we utilized electronic health records (EHRs) from 26,653 individuals with HF in North Carolina observed from 2014 to 2016. Linear mixed effect models with a random intercept for individual were adjusted for individual and census level demographics and socioeconomic confounders. We examined 0-4-daily PM2.5 lags as well as the 5-day moving average. We stratified observations based β-blocker prescription status and quantified differences using a multiplicative interaction model. We also utilized data from an in vivo study of diesel exhaust exposure and β-blocker usage in HF prone rats to validate results and examine additional outcomes unavailable in the EHR data.

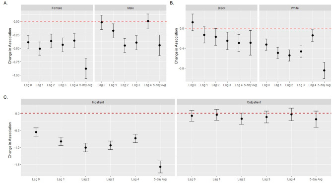
Results: Stratified analyses and the multiplicative interaction model revealed a significant difference in the association between PM2.5 and HR based on β-blocker prescription status. For 5-day average PM2.5 we observed a significant interaction (βinteraction = -0.68, 95% CI: -0.82, -0.55) indicating that the association between PM2.5 and HR decreased for observations occurring after prescription of a β-blocker to study participants. This observation was reflected in the in vivo study as well.

Conclusions: β-blocker usage likely attenuates associations between short-term PM2.5 and HR. Accounting for this in future studies may reveal novel means of reducing PM2.5-related cardiovascular morbidity and reduce confounding in population with high rates of β-blocker usage.

求助全文
通过发布文献求助,成功后即可免费获取论文全文。 去求助
来源期刊
Environmental Health
Environmental Health 环境科学-公共卫生、环境卫生与职业卫生
CiteScore
10.10
自引率
1.70%
发文量
115
审稿时长
3.0 months
期刊介绍: Environmental Health publishes manuscripts on all aspects of environmental and occupational medicine and related studies in toxicology and epidemiology. Environmental Health is aimed at scientists and practitioners in all areas of environmental science where human health and well-being are involved, either directly or indirectly. Environmental Health is a public health journal serving the public health community and scientists working on matters of public health interest and importance pertaining to the environment.
×
引用
GB/T 7714-2015
复制
MLA
复制
APA
复制
导出至
BibTeX EndNote RefMan NoteFirst NoteExpress
×
提示
您的信息不完整,为了账户安全,请先补充。
现在去补充
×
提示
您因"违规操作"
具体请查看互助需知
我知道了
×
提示
确定
请完成安全验证×
copy
已复制链接
快去分享给好友吧!
我知道了
右上角分享
点击右上角分享
0
联系我们:info@booksci.cn Book学术提供免费学术资源搜索服务,方便国内外学者检索中英文文献。致力于提供最便捷和优质的服务体验。 Copyright © 2023 布克学术 All rights reserved.
京ICP备2023020795号-1
ghs 京公网安备 11010802042870号
Book学术文献互助
Book学术文献互助群
群 号:604180095
Book学术官方微信