建立了一种高效液相色谱-质谱联用法测定牛奶中110种真菌毒素和植物毒素的方法,并应用于德国样品。

IF 3.8 2区 化学 Q1 BIOCHEMICAL RESEARCH METHODS
Ahmed H. El-Khatib, Arnold Bahlmann, Christoph Hutzler, Stefan Weigel
{"title":"建立了一种高效液相色谱-质谱联用法测定牛奶中110种真菌毒素和植物毒素的方法,并应用于德国样品。","authors":"Ahmed H. El-Khatib,&nbsp;Arnold Bahlmann,&nbsp;Christoph Hutzler,&nbsp;Stefan Weigel","doi":"10.1007/s00216-025-06024-6","DOIUrl":null,"url":null,"abstract":"<div><p>Milk is widely consumed across all ages and is essential for dairy production. Milk quality and safety are largely influenced by the animal’s diet, which may contain feedborne contaminants. This can lead to multi-toxin exposure, potentially transferring toxins to milk and posing health risks to consumers. Currently, only aflatoxin M1 (AFM1) is regulated by the European Union in milk (maximum level (ML) = 0.05 µg/kg) but the (co-)occurrence of other toxins should also be investigated. In this work, a QuEChERS-based LC–MS/MS multi-method for the simultaneous determination of 72 mycotoxins and 38 plant toxins in raw cow milk was developed and validated according to the latest EU regulations. The method showed excellent recoveries (87% of the analytes have average recoveries within 70–120%) and precision (97% of the analytes have within-laboratory reproducibility ≤20%). Limit of quantification (LOQ) for AFM1 (0.0035 µg/kg) was ≤½ ML. The method was applied to 20 milk samples (15 conventional and 5 organic samples) from retail stores and local farms. The analysis of these milk samples showed the co-occurrence of the emerging mycotoxins beauvericin and enniatin B as well as the quinolizidine alkaloids (QAs) lupanine and 13a-hydroxylupanine in the majority of samples. The pyrrolizidine alkaloid senkirkine was also detected in almost half of the samples. The results revealed generally trace levels of mycotoxins and plant toxins. However, QAs (especially lupanine) were detected at much higher concentration levels than other toxin groups (especially in organic milk samples). The findings showed the co-occurrence of multiple toxins in the range of 2–12 toxins in every sample.</p><h3>Graphical Abstract</h3>\n<div><figure><div><div><picture><source><img></source></picture></div></div></figure></div></div>","PeriodicalId":462,"journal":{"name":"Analytical and Bioanalytical Chemistry","volume":"417 22","pages":"5047 - 5059"},"PeriodicalIF":3.8000,"publicationDate":"2025-08-07","publicationTypes":"Journal Article","fieldsOfStudy":null,"isOpenAccess":false,"openAccessPdf":"https://www.ncbi.nlm.nih.gov/pmc/articles/PMC12401758/pdf/","citationCount":"0","resultStr":"{\"title\":\"A validated LC–MS/MS multi-method for the determination of 110 mycotoxins and plant toxins in cow milk and application to samples from Germany\",\"authors\":\"Ahmed H. El-Khatib,&nbsp;Arnold Bahlmann,&nbsp;Christoph Hutzler,&nbsp;Stefan Weigel\",\"doi\":\"10.1007/s00216-025-06024-6\",\"DOIUrl\":null,\"url\":null,\"abstract\":\"<div><p>Milk is widely consumed across all ages and is essential for dairy production. Milk quality and safety are largely influenced by the animal’s diet, which may contain feedborne contaminants. This can lead to multi-toxin exposure, potentially transferring toxins to milk and posing health risks to consumers. Currently, only aflatoxin M1 (AFM1) is regulated by the European Union in milk (maximum level (ML) = 0.05 µg/kg) but the (co-)occurrence of other toxins should also be investigated. In this work, a QuEChERS-based LC–MS/MS multi-method for the simultaneous determination of 72 mycotoxins and 38 plant toxins in raw cow milk was developed and validated according to the latest EU regulations. The method showed excellent recoveries (87% of the analytes have average recoveries within 70–120%) and precision (97% of the analytes have within-laboratory reproducibility ≤20%). Limit of quantification (LOQ) for AFM1 (0.0035 µg/kg) was ≤½ ML. The method was applied to 20 milk samples (15 conventional and 5 organic samples) from retail stores and local farms. The analysis of these milk samples showed the co-occurrence of the emerging mycotoxins beauvericin and enniatin B as well as the quinolizidine alkaloids (QAs) lupanine and 13a-hydroxylupanine in the majority of samples. The pyrrolizidine alkaloid senkirkine was also detected in almost half of the samples. The results revealed generally trace levels of mycotoxins and plant toxins. However, QAs (especially lupanine) were detected at much higher concentration levels than other toxin groups (especially in organic milk samples). The findings showed the co-occurrence of multiple toxins in the range of 2–12 toxins in every sample.</p><h3>Graphical Abstract</h3>\\n<div><figure><div><div><picture><source><img></source></picture></div></div></figure></div></div>\",\"PeriodicalId\":462,\"journal\":{\"name\":\"Analytical and Bioanalytical Chemistry\",\"volume\":\"417 22\",\"pages\":\"5047 - 5059\"},\"PeriodicalIF\":3.8000,\"publicationDate\":\"2025-08-07\",\"publicationTypes\":\"Journal Article\",\"fieldsOfStudy\":null,\"isOpenAccess\":false,\"openAccessPdf\":\"https://www.ncbi.nlm.nih.gov/pmc/articles/PMC12401758/pdf/\",\"citationCount\":\"0\",\"resultStr\":null,\"platform\":\"Semanticscholar\",\"paperid\":null,\"PeriodicalName\":\"Analytical and Bioanalytical Chemistry\",\"FirstCategoryId\":\"92\",\"ListUrlMain\":\"https://link.springer.com/article/10.1007/s00216-025-06024-6\",\"RegionNum\":2,\"RegionCategory\":\"化学\",\"ArticlePicture\":[],\"TitleCN\":null,\"AbstractTextCN\":null,\"PMCID\":null,\"EPubDate\":\"\",\"PubModel\":\"\",\"JCR\":\"Q1\",\"JCRName\":\"BIOCHEMICAL RESEARCH METHODS\",\"Score\":null,\"Total\":0}","platform":"Semanticscholar","paperid":null,"PeriodicalName":"Analytical and Bioanalytical Chemistry","FirstCategoryId":"92","ListUrlMain":"https://link.springer.com/article/10.1007/s00216-025-06024-6","RegionNum":2,"RegionCategory":"化学","ArticlePicture":[],"TitleCN":null,"AbstractTextCN":null,"PMCID":null,"EPubDate":"","PubModel":"","JCR":"Q1","JCRName":"BIOCHEMICAL RESEARCH METHODS","Score":null,"Total":0}
引用次数: 0

摘要

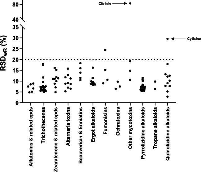
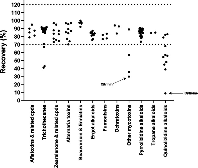
牛奶在所有年龄段都被广泛消费,是乳制品生产的必要成分。牛奶的质量和安全在很大程度上受到动物饮食的影响,其中可能含有饲料污染物。这可能导致多种毒素暴露,可能将毒素转移到牛奶中,并对消费者构成健康风险。目前,欧盟仅对牛奶中的黄曲霉毒素M1 (AFM1)进行监管(最大含量(ML) = 0.05µg/kg),但也应调查其他毒素的(共同)发生。本文建立了一种基于quechers的LC-MS/MS多方法,用于同时检测原料牛奶中72种真菌毒素和38种植物毒素,并根据欧盟最新法规进行了验证。该方法具有良好的加样回收率(87%的分析物的平均加样回收率在70-120%之间)和精密度(97%的分析物的室内重现性≤20%)。AFM1的定量限(LOQ)(0.0035µg/kg)≤½ML。该方法应用于零售店和当地农场的20份牛奶样品(15份传统样品和5份有机样品)。对这些牛奶样品的分析显示,大多数样品中共同出现了新出现的真菌毒素beauvericin和enniatin B以及喹诺嗪类生物碱(QAs) lupanine和13a- hydroxyupanine。在近一半的样品中也检测到吡咯利西啶生物碱senkirkine。结果显示,真菌毒素和植物毒素的水平普遍微量。然而,QAs(尤其是羽扇豆氨酸)的检测浓度远远高于其他毒素组(特别是在有机牛奶样品中)。结果表明,在每个样品中,多种毒素在2-12种毒素范围内共存。
本文章由计算机程序翻译,如有差异,请以英文原文为准。

A validated LC–MS/MS multi-method for the determination of 110 mycotoxins and plant toxins in cow milk and application to samples from Germany

A validated LC–MS/MS multi-method for the determination of 110 mycotoxins and plant toxins in cow milk and application to samples from Germany

A validated LC–MS/MS multi-method for the determination of 110 mycotoxins and plant toxins in cow milk and application to samples from Germany

A validated LC–MS/MS multi-method for the determination of 110 mycotoxins and plant toxins in cow milk and application to samples from Germany

Milk is widely consumed across all ages and is essential for dairy production. Milk quality and safety are largely influenced by the animal’s diet, which may contain feedborne contaminants. This can lead to multi-toxin exposure, potentially transferring toxins to milk and posing health risks to consumers. Currently, only aflatoxin M1 (AFM1) is regulated by the European Union in milk (maximum level (ML) = 0.05 µg/kg) but the (co-)occurrence of other toxins should also be investigated. In this work, a QuEChERS-based LC–MS/MS multi-method for the simultaneous determination of 72 mycotoxins and 38 plant toxins in raw cow milk was developed and validated according to the latest EU regulations. The method showed excellent recoveries (87% of the analytes have average recoveries within 70–120%) and precision (97% of the analytes have within-laboratory reproducibility ≤20%). Limit of quantification (LOQ) for AFM1 (0.0035 µg/kg) was ≤½ ML. The method was applied to 20 milk samples (15 conventional and 5 organic samples) from retail stores and local farms. The analysis of these milk samples showed the co-occurrence of the emerging mycotoxins beauvericin and enniatin B as well as the quinolizidine alkaloids (QAs) lupanine and 13a-hydroxylupanine in the majority of samples. The pyrrolizidine alkaloid senkirkine was also detected in almost half of the samples. The results revealed generally trace levels of mycotoxins and plant toxins. However, QAs (especially lupanine) were detected at much higher concentration levels than other toxin groups (especially in organic milk samples). The findings showed the co-occurrence of multiple toxins in the range of 2–12 toxins in every sample.

Graphical Abstract

求助全文
通过发布文献求助,成功后即可免费获取论文全文。 去求助
来源期刊
CiteScore
8.00
自引率
4.70%
发文量
638
审稿时长
2.1 months
期刊介绍: Analytical and Bioanalytical Chemistry’s mission is the rapid publication of excellent and high-impact research articles on fundamental and applied topics of analytical and bioanalytical measurement science. Its scope is broad, and ranges from novel measurement platforms and their characterization to multidisciplinary approaches that effectively address important scientific problems. The Editors encourage submissions presenting innovative analytical research in concept, instrumentation, methods, and/or applications, including: mass spectrometry, spectroscopy, and electroanalysis; advanced separations; analytical strategies in “-omics” and imaging, bioanalysis, and sampling; miniaturized devices, medical diagnostics, sensors; analytical characterization of nano- and biomaterials; chemometrics and advanced data analysis.
×
引用
GB/T 7714-2015
复制
MLA
复制
APA
复制
导出至
BibTeX EndNote RefMan NoteFirst NoteExpress
×
提示
您的信息不完整,为了账户安全,请先补充。
现在去补充
×
提示
您因"违规操作"
具体请查看互助需知
我知道了
×
提示
确定
请完成安全验证×
copy
已复制链接
快去分享给好友吧!
我知道了
右上角分享
点击右上角分享
0
联系我们:info@booksci.cn Book学术提供免费学术资源搜索服务,方便国内外学者检索中英文文献。致力于提供最便捷和优质的服务体验。 Copyright © 2023 布克学术 All rights reserved.
京ICP备2023020795号-1
ghs 京公网安备 11010802042870号
Book学术文献互助
Book学术文献互助群
群 号:604180095
Book学术官方微信