通过阳离子设计来工程化手性金属卤化物的电子结构和光电性能。

IF 8.7 1区 化学 Q1 MATERIALS SCIENCE, MULTIDISCIPLINARY
Clarissa Coccia, Marco Moroni*, Massimo Boiocchi, Marta Morana, Maddalena Patrini, Doretta Capsoni, Alessio Porta, Andera Olivati, Giulia Folpini, Annamaria Petrozza, Luca Gregori, Edoardo Mosconi, Filippo De Angelis and Lorenzo Malavasi*, 
{"title":"通过阳离子设计来工程化手性金属卤化物的电子结构和光电性能。","authors":"Clarissa Coccia,&nbsp;Marco Moroni*,&nbsp;Massimo Boiocchi,&nbsp;Marta Morana,&nbsp;Maddalena Patrini,&nbsp;Doretta Capsoni,&nbsp;Alessio Porta,&nbsp;Andera Olivati,&nbsp;Giulia Folpini,&nbsp;Annamaria Petrozza,&nbsp;Luca Gregori,&nbsp;Edoardo Mosconi,&nbsp;Filippo De Angelis and Lorenzo Malavasi*,&nbsp;","doi":"10.1021/acsmaterialslett.5c00666","DOIUrl":null,"url":null,"abstract":"<p >The tunability of hybrid organic–inorganic metal halides through targeted chemical design is one of their most attractive features, enabling fine control over physical properties for optoelectronic applications. In chiral systems, where chirality is introduced via organic amines, this tunability is often limited by the scarcity of suitable chiral cations. In this study, we report a family of 1D lead- and tin-based chiral hybrid halides incorporating a tailor-made cation bearing both amino and hydroxyl functional groups. This chiral ligand enables the synthesis of enantiopure (<i>S/R</i>-AMOL)SnI<sub>3</sub> and (<i>S/R</i>-AMOL)PbI<sub>3</sub>, where <i>S/R</i>-AMOL stands for (2<i>S</i>,2′<i>S</i>)-1,1′-azanediylbis(butan-2-ol) or (2<i>R</i>,2′<i>R</i>)-1,1′-azanediylbis(butan-2-ol). These compounds exhibit distinctive structural arrangements and bonding interactions, demonstrating effective chirality transfer through chiral centers bearing hydroxyl groups. Remarkably, substantial differences in the electronic structure and chiroptical properties are observed between the Sn and Pb analogues, including variations in emission characteristics, exciton binding energy, and orbital contributions to the electronic structure.</p>","PeriodicalId":19,"journal":{"name":"ACS Materials Letters","volume":"7 8","pages":"2980–2987"},"PeriodicalIF":8.7000,"publicationDate":"2025-07-18","publicationTypes":"Journal Article","fieldsOfStudy":null,"isOpenAccess":false,"openAccessPdf":"https://www.ncbi.nlm.nih.gov/pmc/articles/PMC12327265/pdf/","citationCount":"0","resultStr":"{\"title\":\"Engineering the Electronic Structure and Optoelectronic Properties of Chiral Metal Halides through Cation Design\",\"authors\":\"Clarissa Coccia,&nbsp;Marco Moroni*,&nbsp;Massimo Boiocchi,&nbsp;Marta Morana,&nbsp;Maddalena Patrini,&nbsp;Doretta Capsoni,&nbsp;Alessio Porta,&nbsp;Andera Olivati,&nbsp;Giulia Folpini,&nbsp;Annamaria Petrozza,&nbsp;Luca Gregori,&nbsp;Edoardo Mosconi,&nbsp;Filippo De Angelis and Lorenzo Malavasi*,&nbsp;\",\"doi\":\"10.1021/acsmaterialslett.5c00666\",\"DOIUrl\":null,\"url\":null,\"abstract\":\"<p >The tunability of hybrid organic–inorganic metal halides through targeted chemical design is one of their most attractive features, enabling fine control over physical properties for optoelectronic applications. In chiral systems, where chirality is introduced via organic amines, this tunability is often limited by the scarcity of suitable chiral cations. In this study, we report a family of 1D lead- and tin-based chiral hybrid halides incorporating a tailor-made cation bearing both amino and hydroxyl functional groups. This chiral ligand enables the synthesis of enantiopure (<i>S/R</i>-AMOL)SnI<sub>3</sub> and (<i>S/R</i>-AMOL)PbI<sub>3</sub>, where <i>S/R</i>-AMOL stands for (2<i>S</i>,2′<i>S</i>)-1,1′-azanediylbis(butan-2-ol) or (2<i>R</i>,2′<i>R</i>)-1,1′-azanediylbis(butan-2-ol). These compounds exhibit distinctive structural arrangements and bonding interactions, demonstrating effective chirality transfer through chiral centers bearing hydroxyl groups. Remarkably, substantial differences in the electronic structure and chiroptical properties are observed between the Sn and Pb analogues, including variations in emission characteristics, exciton binding energy, and orbital contributions to the electronic structure.</p>\",\"PeriodicalId\":19,\"journal\":{\"name\":\"ACS Materials Letters\",\"volume\":\"7 8\",\"pages\":\"2980–2987\"},\"PeriodicalIF\":8.7000,\"publicationDate\":\"2025-07-18\",\"publicationTypes\":\"Journal Article\",\"fieldsOfStudy\":null,\"isOpenAccess\":false,\"openAccessPdf\":\"https://www.ncbi.nlm.nih.gov/pmc/articles/PMC12327265/pdf/\",\"citationCount\":\"0\",\"resultStr\":null,\"platform\":\"Semanticscholar\",\"paperid\":null,\"PeriodicalName\":\"ACS Materials Letters\",\"FirstCategoryId\":\"92\",\"ListUrlMain\":\"https://pubs.acs.org/doi/10.1021/acsmaterialslett.5c00666\",\"RegionNum\":1,\"RegionCategory\":\"化学\",\"ArticlePicture\":[],\"TitleCN\":null,\"AbstractTextCN\":null,\"PMCID\":null,\"EPubDate\":\"\",\"PubModel\":\"\",\"JCR\":\"Q1\",\"JCRName\":\"MATERIALS SCIENCE, MULTIDISCIPLINARY\",\"Score\":null,\"Total\":0}","platform":"Semanticscholar","paperid":null,"PeriodicalName":"ACS Materials Letters","FirstCategoryId":"92","ListUrlMain":"https://pubs.acs.org/doi/10.1021/acsmaterialslett.5c00666","RegionNum":1,"RegionCategory":"化学","ArticlePicture":[],"TitleCN":null,"AbstractTextCN":null,"PMCID":null,"EPubDate":"","PubModel":"","JCR":"Q1","JCRName":"MATERIALS SCIENCE, MULTIDISCIPLINARY","Score":null,"Total":0}
引用次数: 0

摘要

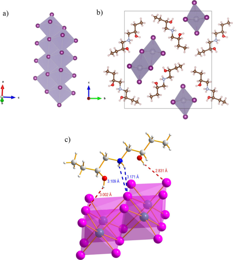
通过有针对性的化学设计,杂化有机-无机金属卤化物的可调性是其最具吸引力的特征之一,可以对光电应用的物理性质进行精细控制。在通过有机胺引入手性的手性体系中,这种可调性往往受到合适手性阳离子缺乏的限制。在这项研究中,我们报道了一个1D铅锡基手性杂化卤化物家族,其中包含一个定制的带有氨基和羟基官能团的阳离子。该手性配体可合成对映物(S/R-AMOL)- sni3和(S/R-AMOL)- pbi3,其中S/R-AMOL代表(2S,2'S)-1,1'-氮杂二基双-(丁醇-2)或(2R,2'R)-1,1'-氮杂二基双-(丁醇-2)。这些化合物表现出独特的结构排列和键相互作用,通过带有羟基的手性中心显示出有效的手性转移。值得注意的是,Sn和Pb类似物在电子结构和热学性质上存在显著差异,包括发射特性、激子结合能和轨道对电子结构的贡献。
本文章由计算机程序翻译,如有差异,请以英文原文为准。

Engineering the Electronic Structure and Optoelectronic Properties of Chiral Metal Halides through Cation Design

Engineering the Electronic Structure and Optoelectronic Properties of Chiral Metal Halides through Cation Design

Engineering the Electronic Structure and Optoelectronic Properties of Chiral Metal Halides through Cation Design

Engineering the Electronic Structure and Optoelectronic Properties of Chiral Metal Halides through Cation Design

The tunability of hybrid organic–inorganic metal halides through targeted chemical design is one of their most attractive features, enabling fine control over physical properties for optoelectronic applications. In chiral systems, where chirality is introduced via organic amines, this tunability is often limited by the scarcity of suitable chiral cations. In this study, we report a family of 1D lead- and tin-based chiral hybrid halides incorporating a tailor-made cation bearing both amino and hydroxyl functional groups. This chiral ligand enables the synthesis of enantiopure (S/R-AMOL)SnI3 and (S/R-AMOL)PbI3, where S/R-AMOL stands for (2S,2′S)-1,1′-azanediylbis(butan-2-ol) or (2R,2′R)-1,1′-azanediylbis(butan-2-ol). These compounds exhibit distinctive structural arrangements and bonding interactions, demonstrating effective chirality transfer through chiral centers bearing hydroxyl groups. Remarkably, substantial differences in the electronic structure and chiroptical properties are observed between the Sn and Pb analogues, including variations in emission characteristics, exciton binding energy, and orbital contributions to the electronic structure.

求助全文
通过发布文献求助,成功后即可免费获取论文全文。 去求助
来源期刊
ACS Materials Letters
ACS Materials Letters MATERIALS SCIENCE, MULTIDISCIPLINARY-
CiteScore
14.60
自引率
3.50%
发文量
261
期刊介绍: ACS Materials Letters is a journal that publishes high-quality and urgent papers at the forefront of fundamental and applied research in the field of materials science. It aims to bridge the gap between materials and other disciplines such as chemistry, engineering, and biology. The journal encourages multidisciplinary and innovative research that addresses global challenges. Papers submitted to ACS Materials Letters should clearly demonstrate the need for rapid disclosure of key results. The journal is interested in various areas including the design, synthesis, characterization, and evaluation of emerging materials, understanding the relationships between structure, property, and performance, as well as developing materials for applications in energy, environment, biomedical, electronics, and catalysis. The journal has a 2-year impact factor of 11.4 and is dedicated to publishing transformative materials research with fast processing times. The editors and staff of ACS Materials Letters actively participate in major scientific conferences and engage closely with readers and authors. The journal also maintains an active presence on social media to provide authors with greater visibility.
×
引用
GB/T 7714-2015
复制
MLA
复制
APA
复制
导出至
BibTeX EndNote RefMan NoteFirst NoteExpress
×
提示
您的信息不完整,为了账户安全,请先补充。
现在去补充
×
提示
您因"违规操作"
具体请查看互助需知
我知道了
×
提示
确定
请完成安全验证×
copy
已复制链接
快去分享给好友吧!
我知道了
右上角分享
点击右上角分享
0
联系我们:info@booksci.cn Book学术提供免费学术资源搜索服务,方便国内外学者检索中英文文献。致力于提供最便捷和优质的服务体验。 Copyright © 2023 布克学术 All rights reserved.
京ICP备2023020795号-1
ghs 京公网安备 11010802042870号
Book学术文献互助
Book学术文献互助群
群 号:604180095
Book学术官方微信