在生物系进行干预以减轻学生教学评价中的性别偏见的重复研究产生了不同的结果。

IF 4.1 2区 教育学 Q1 EDUCATION, SCIENTIFIC DISCIPLINES
Lisa D Mitchem, Rachel L Rupnow, Collin P Jaeger, Marissa N Pezdek, Brenda K Anak Ganeng, Karen E Samonds, Heather E Bergan-Roller
{"title":"在生物系进行干预以减轻学生教学评价中的性别偏见的重复研究产生了不同的结果。","authors":"Lisa D Mitchem, Rachel L Rupnow, Collin P Jaeger, Marissa N Pezdek, Brenda K Anak Ganeng, Karen E Samonds, Heather E Bergan-Roller","doi":"10.1187/cbe.24-07-0193","DOIUrl":null,"url":null,"abstract":"<p><p>Student evaluations of teaching (SET) have repeatedly been shown to be biased against women instructors. Although few have been able to mitigate these biases, one team reported success in two courses by adding a short AntiBias statement to the beginning of SETs. We conducted a conceptual replication of that study to investigate the effectiveness of the AntiBias statement across a Department of Biological Sciences over three semesters. The AntiBias treatment inconsistently affected the SETs, sometimes improving women's scores but often not having any effect. Qualitative analysis showed that the types of comments students gave were mostly not affected by the conditions of treatment or instructor gender and were most frequently framed in positive connotation, implicitly about the instructor, and about course characteristics such as the logistics of the course. Our findings do not support the consistent replicability of the original work scaled to the department level yet shine an important light on SETs in the biology context. Moreover, this work suggests that a simple intervention to mitigate gender bias in teaching evaluations is not sufficient to remedy the multitude of issues with SETs. We discuss differences among studies and suggestions from the literature on ways to improve the evaluation of teaching.</p>","PeriodicalId":56321,"journal":{"name":"Cbe-Life Sciences Education","volume":"24 3","pages":"ar35"},"PeriodicalIF":4.1000,"publicationDate":"2025-09-01","publicationTypes":"Journal Article","fieldsOfStudy":null,"isOpenAccess":false,"openAccessPdf":"https://www.ncbi.nlm.nih.gov/pmc/articles/PMC12415593/pdf/","citationCount":"0","resultStr":"{\"title\":\"Replication of an Intervention to Mitigate Gender Bias in Student Evaluations of Teaching Yields Variable Results Across a Biology Department.\",\"authors\":\"Lisa D Mitchem, Rachel L Rupnow, Collin P Jaeger, Marissa N Pezdek, Brenda K Anak Ganeng, Karen E Samonds, Heather E Bergan-Roller\",\"doi\":\"10.1187/cbe.24-07-0193\",\"DOIUrl\":null,\"url\":null,\"abstract\":\"<p><p>Student evaluations of teaching (SET) have repeatedly been shown to be biased against women instructors. Although few have been able to mitigate these biases, one team reported success in two courses by adding a short AntiBias statement to the beginning of SETs. We conducted a conceptual replication of that study to investigate the effectiveness of the AntiBias statement across a Department of Biological Sciences over three semesters. The AntiBias treatment inconsistently affected the SETs, sometimes improving women's scores but often not having any effect. Qualitative analysis showed that the types of comments students gave were mostly not affected by the conditions of treatment or instructor gender and were most frequently framed in positive connotation, implicitly about the instructor, and about course characteristics such as the logistics of the course. Our findings do not support the consistent replicability of the original work scaled to the department level yet shine an important light on SETs in the biology context. Moreover, this work suggests that a simple intervention to mitigate gender bias in teaching evaluations is not sufficient to remedy the multitude of issues with SETs. We discuss differences among studies and suggestions from the literature on ways to improve the evaluation of teaching.</p>\",\"PeriodicalId\":56321,\"journal\":{\"name\":\"Cbe-Life Sciences Education\",\"volume\":\"24 3\",\"pages\":\"ar35\"},\"PeriodicalIF\":4.1000,\"publicationDate\":\"2025-09-01\",\"publicationTypes\":\"Journal Article\",\"fieldsOfStudy\":null,\"isOpenAccess\":false,\"openAccessPdf\":\"https://www.ncbi.nlm.nih.gov/pmc/articles/PMC12415593/pdf/\",\"citationCount\":\"0\",\"resultStr\":null,\"platform\":\"Semanticscholar\",\"paperid\":null,\"PeriodicalName\":\"Cbe-Life Sciences Education\",\"FirstCategoryId\":\"95\",\"ListUrlMain\":\"https://doi.org/10.1187/cbe.24-07-0193\",\"RegionNum\":2,\"RegionCategory\":\"教育学\",\"ArticlePicture\":[],\"TitleCN\":null,\"AbstractTextCN\":null,\"PMCID\":null,\"EPubDate\":\"\",\"PubModel\":\"\",\"JCR\":\"Q1\",\"JCRName\":\"EDUCATION, SCIENTIFIC DISCIPLINES\",\"Score\":null,\"Total\":0}","platform":"Semanticscholar","paperid":null,"PeriodicalName":"Cbe-Life Sciences Education","FirstCategoryId":"95","ListUrlMain":"https://doi.org/10.1187/cbe.24-07-0193","RegionNum":2,"RegionCategory":"教育学","ArticlePicture":[],"TitleCN":null,"AbstractTextCN":null,"PMCID":null,"EPubDate":"","PubModel":"","JCR":"Q1","JCRName":"EDUCATION, SCIENTIFIC DISCIPLINES","Score":null,"Total":0}
引用次数: 0

摘要

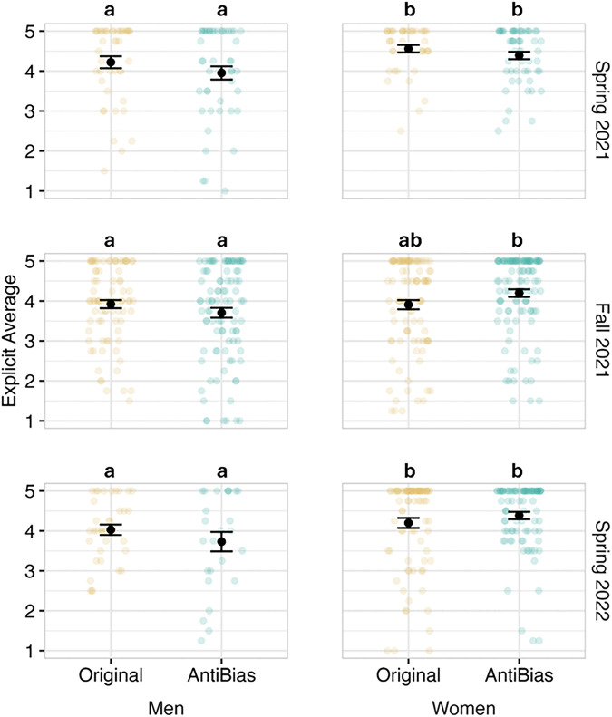
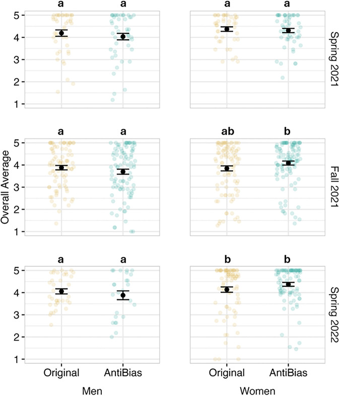
学生对教学的评价(SET)一再被证明对女性教师有偏见。尽管很少有人能够减轻这些偏见,但有一个团队通过在set的开头添加简短的反偏见声明,在两个课程中取得了成功。我们对该研究进行了概念复制,以调查反偏见声明在生物科学系三个学期的有效性。反偏见治疗对set的影响不一致,有时会提高女性的分数,但通常没有任何效果。定性分析表明,学生给出的评论类型大多不受待遇条件或教师性别的影响,而且最常以积极的内涵为框架,含蓄地谈论教师,以及课程特征,如课程的后勤。我们的研究结果不支持原始工作在部门层面的一致性可重复性,但在生物学背景下为set提供了重要的启示。此外,这项工作表明,减轻教学评估中的性别偏见的简单干预不足以纠正set的众多问题。我们讨论了研究之间的差异,并从文献中提出了改进教学评价的建议。
本文章由计算机程序翻译,如有差异,请以英文原文为准。

Replication of an Intervention to Mitigate Gender Bias in Student Evaluations of Teaching Yields Variable Results Across a Biology Department.

Replication of an Intervention to Mitigate Gender Bias in Student Evaluations of Teaching Yields Variable Results Across a Biology Department.

Replication of an Intervention to Mitigate Gender Bias in Student Evaluations of Teaching Yields Variable Results Across a Biology Department.

Replication of an Intervention to Mitigate Gender Bias in Student Evaluations of Teaching Yields Variable Results Across a Biology Department.

Student evaluations of teaching (SET) have repeatedly been shown to be biased against women instructors. Although few have been able to mitigate these biases, one team reported success in two courses by adding a short AntiBias statement to the beginning of SETs. We conducted a conceptual replication of that study to investigate the effectiveness of the AntiBias statement across a Department of Biological Sciences over three semesters. The AntiBias treatment inconsistently affected the SETs, sometimes improving women's scores but often not having any effect. Qualitative analysis showed that the types of comments students gave were mostly not affected by the conditions of treatment or instructor gender and were most frequently framed in positive connotation, implicitly about the instructor, and about course characteristics such as the logistics of the course. Our findings do not support the consistent replicability of the original work scaled to the department level yet shine an important light on SETs in the biology context. Moreover, this work suggests that a simple intervention to mitigate gender bias in teaching evaluations is not sufficient to remedy the multitude of issues with SETs. We discuss differences among studies and suggestions from the literature on ways to improve the evaluation of teaching.

求助全文
通过发布文献求助,成功后即可免费获取论文全文。 去求助
来源期刊
Cbe-Life Sciences Education
Cbe-Life Sciences Education EDUCATION, SCIENTIFIC DISCIPLINES-
CiteScore
6.50
自引率
13.50%
发文量
100
审稿时长
>12 weeks
期刊介绍: CBE—Life Sciences Education (LSE), a free, online quarterly journal, is published by the American Society for Cell Biology (ASCB). The journal was launched in spring 2002 as Cell Biology Education—A Journal of Life Science Education. The ASCB changed the name of the journal in spring 2006 to better reflect the breadth of its readership and the scope of its submissions. LSE publishes peer-reviewed articles on life science education at the K–12, undergraduate, and graduate levels. The ASCB believes that learning in biology encompasses diverse fields, including math, chemistry, physics, engineering, computer science, and the interdisciplinary intersections of biology with these fields. Within biology, LSE focuses on how students are introduced to the study of life sciences, as well as approaches in cell biology, developmental biology, neuroscience, biochemistry, molecular biology, genetics, genomics, bioinformatics, and proteomics.
×
引用
GB/T 7714-2015
复制
MLA
复制
APA
复制
导出至
BibTeX EndNote RefMan NoteFirst NoteExpress
×
提示
您的信息不完整,为了账户安全,请先补充。
现在去补充
×
提示
您因"违规操作"
具体请查看互助需知
我知道了
×
提示
确定
请完成安全验证×
copy
已复制链接
快去分享给好友吧!
我知道了
右上角分享
点击右上角分享
0
联系我们:info@booksci.cn Book学术提供免费学术资源搜索服务,方便国内外学者检索中英文文献。致力于提供最便捷和优质的服务体验。 Copyright © 2023 布克学术 All rights reserved.
京ICP备2023020795号-1
ghs 京公网安备 11010802042870号
Book学术文献互助
Book学术文献互助群
群 号:604180095
Book学术官方微信