2型糖尿病十二指肠黏膜表面置换和利拉鲁肽对血糖控制的长期影响。

IF 2.5 Q2 NUTRITION & DIETETICS
BMJ Nutrition, Prevention and Health Pub Date : 2025-01-03 eCollection Date: 2025-01-01 DOI:10.1136/bmjnph-2024-001006
Celine B E Busch, Julia Rubingh, Annieke C G van Baar, Max Nieuwdorp, Jacques J G H M Bergman
{"title":"2型糖尿病十二指肠黏膜表面置换和利拉鲁肽对血糖控制的长期影响。","authors":"Celine B E Busch, Julia Rubingh, Annieke C G van Baar, Max Nieuwdorp, Jacques J G H M Bergman","doi":"10.1136/bmjnph-2024-001006","DOIUrl":null,"url":null,"abstract":"<p><strong>Introduction: </strong>Endoscopic duodenal mucosal resurfacing (DMR) induces mucosal regeneration through hydrothermal ablation. Studies have shown that DMR improves hyperglycaemia in patients with type 2 diabetes. The INSPIRE study (n=16) aimed to eliminate insulin by combining DMR with a glucagon-like peptide-1 receptor agonist (GLP-1RA). At 18 months, 53% of patients were off insulin with adequate glycaemic control. This retrospective analysis evaluates long-term effects of DMR and GLP-1RA.</p><p><strong>Research design and methods: </strong>Fourteen patients gave consent for the prolonged follow-up and data on glycaemic control, medication and DMR satisfaction were obtained via general practitioners. Primary endpoint was the number of patients off insulin with glycaemic control (haemoglobin A1c (HbA1c) ≤58 mmol/mol (7.5%)) at 4 years post DMR. Secondary endpoints were changes in HbA1c, fasting plasma glucose (FPG), weight, body mass index (BMI), use of glucose-lowering medications, treatment satisfaction and willingness to undergo DMR retreatment.</p><p><strong>Results: </strong>Nine out of 14 patients (64%) were off insulin at 4 years. Of these, five patients (36% of study population) were adequately controlled. HbA1c and FPG did not change significantly, whereas BMI decreased at 3 and 4 years. Among the responders at 12 months, there was 80% durability at 4 years. Patients rated the DMR procedure 9 out of 10 and 86% were willing to undergo DMR retreatment.</p><p><strong>Conclusions: </strong>Despite a stable number of patients remaining off insulin, a decrease in patients with adequate glycaemic control was observed. This suggests a slightly fading long-term DMR effect on glycaemia. High patient satisfaction and willingness for DMR retreatment indicate a promising avenue for further research.</p>","PeriodicalId":36307,"journal":{"name":"BMJ Nutrition, Prevention and Health","volume":"8 1","pages":"e001006"},"PeriodicalIF":2.5000,"publicationDate":"2025-01-03","publicationTypes":"Journal Article","fieldsOfStudy":null,"isOpenAccess":false,"openAccessPdf":"https://www.ncbi.nlm.nih.gov/pmc/articles/PMC12322534/pdf/","citationCount":"0","resultStr":"{\"title\":\"Long-term effects of duodenal mucosal resurfacing and liraglutide on glycaemic control in patients with type 2 diabetes.\",\"authors\":\"Celine B E Busch, Julia Rubingh, Annieke C G van Baar, Max Nieuwdorp, Jacques J G H M Bergman\",\"doi\":\"10.1136/bmjnph-2024-001006\",\"DOIUrl\":null,\"url\":null,\"abstract\":\"<p><strong>Introduction: </strong>Endoscopic duodenal mucosal resurfacing (DMR) induces mucosal regeneration through hydrothermal ablation. Studies have shown that DMR improves hyperglycaemia in patients with type 2 diabetes. The INSPIRE study (n=16) aimed to eliminate insulin by combining DMR with a glucagon-like peptide-1 receptor agonist (GLP-1RA). At 18 months, 53% of patients were off insulin with adequate glycaemic control. This retrospective analysis evaluates long-term effects of DMR and GLP-1RA.</p><p><strong>Research design and methods: </strong>Fourteen patients gave consent for the prolonged follow-up and data on glycaemic control, medication and DMR satisfaction were obtained via general practitioners. Primary endpoint was the number of patients off insulin with glycaemic control (haemoglobin A1c (HbA1c) ≤58 mmol/mol (7.5%)) at 4 years post DMR. Secondary endpoints were changes in HbA1c, fasting plasma glucose (FPG), weight, body mass index (BMI), use of glucose-lowering medications, treatment satisfaction and willingness to undergo DMR retreatment.</p><p><strong>Results: </strong>Nine out of 14 patients (64%) were off insulin at 4 years. Of these, five patients (36% of study population) were adequately controlled. HbA1c and FPG did not change significantly, whereas BMI decreased at 3 and 4 years. Among the responders at 12 months, there was 80% durability at 4 years. Patients rated the DMR procedure 9 out of 10 and 86% were willing to undergo DMR retreatment.</p><p><strong>Conclusions: </strong>Despite a stable number of patients remaining off insulin, a decrease in patients with adequate glycaemic control was observed. This suggests a slightly fading long-term DMR effect on glycaemia. High patient satisfaction and willingness for DMR retreatment indicate a promising avenue for further research.</p>\",\"PeriodicalId\":36307,\"journal\":{\"name\":\"BMJ Nutrition, Prevention and Health\",\"volume\":\"8 1\",\"pages\":\"e001006\"},\"PeriodicalIF\":2.5000,\"publicationDate\":\"2025-01-03\",\"publicationTypes\":\"Journal Article\",\"fieldsOfStudy\":null,\"isOpenAccess\":false,\"openAccessPdf\":\"https://www.ncbi.nlm.nih.gov/pmc/articles/PMC12322534/pdf/\",\"citationCount\":\"0\",\"resultStr\":null,\"platform\":\"Semanticscholar\",\"paperid\":null,\"PeriodicalName\":\"BMJ Nutrition, Prevention and Health\",\"FirstCategoryId\":\"1085\",\"ListUrlMain\":\"https://doi.org/10.1136/bmjnph-2024-001006\",\"RegionNum\":0,\"RegionCategory\":null,\"ArticlePicture\":[],\"TitleCN\":null,\"AbstractTextCN\":null,\"PMCID\":null,\"EPubDate\":\"2025/1/1 0:00:00\",\"PubModel\":\"eCollection\",\"JCR\":\"Q2\",\"JCRName\":\"NUTRITION & DIETETICS\",\"Score\":null,\"Total\":0}","platform":"Semanticscholar","paperid":null,"PeriodicalName":"BMJ Nutrition, Prevention and Health","FirstCategoryId":"1085","ListUrlMain":"https://doi.org/10.1136/bmjnph-2024-001006","RegionNum":0,"RegionCategory":null,"ArticlePicture":[],"TitleCN":null,"AbstractTextCN":null,"PMCID":null,"EPubDate":"2025/1/1 0:00:00","PubModel":"eCollection","JCR":"Q2","JCRName":"NUTRITION & DIETETICS","Score":null,"Total":0}
引用次数: 0

摘要

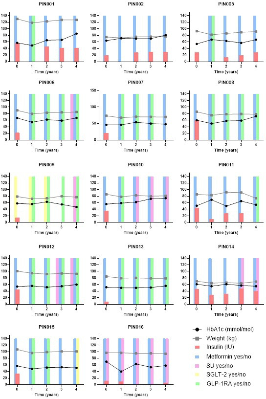
内镜下十二指肠粘膜重新表面置换(DMR)通过水热消融诱导粘膜再生。研究表明,DMR可改善2型糖尿病患者的高血糖。INSPIRE研究(n=16)旨在通过DMR联合胰高血糖素样肽-1受体激动剂(GLP-1RA)消除胰岛素。18个月时,53%的患者停用胰岛素,血糖控制良好。本回顾性分析评估了DMR和GLP-1RA的长期影响。研究设计和方法:14例患者同意延长随访时间,通过全科医生获得血糖控制、用药和DMR满意度数据。主要终点是DMR后4年血糖控制(血红蛋白A1c (HbA1c)≤58 mmol/mol(7.5%))的患者数量。次要终点是HbA1c、空腹血糖(FPG)、体重、体重指数(BMI)、降糖药物的使用、治疗满意度和接受DMR再治疗的意愿的变化。结果:14例患者中有9例(64%)在4年时停止使用胰岛素。其中,5名患者(占研究人群的36%)得到了充分的控制。HbA1c和FPG没有显著变化,而BMI在3年和4年下降。在12个月时的应答者中,有80%的人在4年时有持续性。患者对DMR手术的评分为9分(满分10分),86%的患者愿意接受DMR再治疗。结论:尽管停用胰岛素的患者数量稳定,但血糖控制良好的患者数量有所下降。这表明DMR对血糖的长期影响略有减弱。较高的患者满意度和对DMR再治疗的意愿表明了进一步研究的前景。
本文章由计算机程序翻译,如有差异,请以英文原文为准。

Long-term effects of duodenal mucosal resurfacing and liraglutide on glycaemic control in patients with type 2 diabetes.

Long-term effects of duodenal mucosal resurfacing and liraglutide on glycaemic control in patients with type 2 diabetes.

Long-term effects of duodenal mucosal resurfacing and liraglutide on glycaemic control in patients with type 2 diabetes.

Long-term effects of duodenal mucosal resurfacing and liraglutide on glycaemic control in patients with type 2 diabetes.

Introduction: Endoscopic duodenal mucosal resurfacing (DMR) induces mucosal regeneration through hydrothermal ablation. Studies have shown that DMR improves hyperglycaemia in patients with type 2 diabetes. The INSPIRE study (n=16) aimed to eliminate insulin by combining DMR with a glucagon-like peptide-1 receptor agonist (GLP-1RA). At 18 months, 53% of patients were off insulin with adequate glycaemic control. This retrospective analysis evaluates long-term effects of DMR and GLP-1RA.

Research design and methods: Fourteen patients gave consent for the prolonged follow-up and data on glycaemic control, medication and DMR satisfaction were obtained via general practitioners. Primary endpoint was the number of patients off insulin with glycaemic control (haemoglobin A1c (HbA1c) ≤58 mmol/mol (7.5%)) at 4 years post DMR. Secondary endpoints were changes in HbA1c, fasting plasma glucose (FPG), weight, body mass index (BMI), use of glucose-lowering medications, treatment satisfaction and willingness to undergo DMR retreatment.

Results: Nine out of 14 patients (64%) were off insulin at 4 years. Of these, five patients (36% of study population) were adequately controlled. HbA1c and FPG did not change significantly, whereas BMI decreased at 3 and 4 years. Among the responders at 12 months, there was 80% durability at 4 years. Patients rated the DMR procedure 9 out of 10 and 86% were willing to undergo DMR retreatment.

Conclusions: Despite a stable number of patients remaining off insulin, a decrease in patients with adequate glycaemic control was observed. This suggests a slightly fading long-term DMR effect on glycaemia. High patient satisfaction and willingness for DMR retreatment indicate a promising avenue for further research.

求助全文
通过发布文献求助,成功后即可免费获取论文全文。 去求助
来源期刊
BMJ Nutrition, Prevention and Health
BMJ Nutrition, Prevention and Health Nursing-Nutrition and Dietetics
CiteScore
5.80
自引率
0.00%
发文量
34
×
引用
GB/T 7714-2015
复制
MLA
复制
APA
复制
导出至
BibTeX EndNote RefMan NoteFirst NoteExpress
×
提示
您的信息不完整,为了账户安全,请先补充。
现在去补充
×
提示
您因"违规操作"
具体请查看互助需知
我知道了
×
提示
确定
请完成安全验证×
copy
已复制链接
快去分享给好友吧!
我知道了
右上角分享
点击右上角分享
0
联系我们:info@booksci.cn Book学术提供免费学术资源搜索服务,方便国内外学者检索中英文文献。致力于提供最便捷和优质的服务体验。 Copyright © 2023 布克学术 All rights reserved.
京ICP备2023020795号-1
ghs 京公网安备 11010802042870号
Book学术文献互助
Book学术文献互助群
群 号:604180095
Book学术官方微信