周围神经刺激治疗特发性震颤的短期疗效:随机双盲对照试验。

IF 3.9 2区 综合性期刊 Q1 MULTIDISCIPLINARY SCIENCES
Reza Samiee, Melika Jameie, Masoud Rahmati, Mehdi Azizmohammad Looha, Sheida Mobader, Abbas Tafakhori, Payam Sarraf, Hamed Amirifard, Sakineh Ranji Burachaloo, Mojdeh Ghabaee, Mobina Amanollahi, Zohreh Tajabadi, Mohammad Hossein Harirchian
{"title":"周围神经刺激治疗特发性震颤的短期疗效:随机双盲对照试验。","authors":"Reza Samiee, Melika Jameie, Masoud Rahmati, Mehdi Azizmohammad Looha, Sheida Mobader, Abbas Tafakhori, Payam Sarraf, Hamed Amirifard, Sakineh Ranji Burachaloo, Mojdeh Ghabaee, Mobina Amanollahi, Zohreh Tajabadi, Mohammad Hossein Harirchian","doi":"10.1038/s41598-025-13487-1","DOIUrl":null,"url":null,"abstract":"<p><p>Peripheral nerve stimulation (PNS) demonstrates promise for some neurological conditions. However, its effectiveness for essential tremor (ET) requires further research. In this randomized, double-blind, sham-controlled trial, we investigated the safety and efficacy of a single, 40-minute PNS session in ET. Eighty-eight participants (age: 63.5 [52.5, 70.3], male: 57.95%) were assigned to active PNS stimulation (n = 45) or sham procedure (n = 43). Efficacy was assessed using accelerometer-measured tremor amplitude (m/s²), clinician-rated tremor severity using the Tremor Research Group Essential Tremor Rating Assessment Scale (TETRAS), patients' own experience with daily activities using the Bain and Findley Activities of Daily Living scale (BF-ADL), and their perceived improvement based on the Clinical Global Impression-Improvement scale (CGI-I). Assessments were conducted at baseline, immediately post-stimulation, and at multiple intervals up to 90 min (extending to 24 h for subjective outcomes). Temporal changes in outcomes over time were evaluated using the Generalized Estimating Equation (GEE). The effects of group, time, and their interaction (group*time) on the outcomes were subsequently assessed using GEE. GEE analyses revealed significant group*time interaction for tremor amplitude (B = - 51.61, 95%CI [- 94.60, - 8.62], p = 0.019). However, no significant group*time interactions were observed for TETRAS, BF-ADL, and CGI-I. This study indicated the effect of PNS on reducing ET amplitude. ID: IRCT20161212031362N2.</p>","PeriodicalId":21811,"journal":{"name":"Scientific Reports","volume":"15 1","pages":"28713"},"PeriodicalIF":3.9000,"publicationDate":"2025-08-06","publicationTypes":"Journal Article","fieldsOfStudy":null,"isOpenAccess":false,"openAccessPdf":"https://www.ncbi.nlm.nih.gov/pmc/articles/PMC12328561/pdf/","citationCount":"0","resultStr":"{\"title\":\"Short-term efficacy of peripheral nerve stimulation for essential tremor in a randomized double-blind controlled trial.\",\"authors\":\"Reza Samiee, Melika Jameie, Masoud Rahmati, Mehdi Azizmohammad Looha, Sheida Mobader, Abbas Tafakhori, Payam Sarraf, Hamed Amirifard, Sakineh Ranji Burachaloo, Mojdeh Ghabaee, Mobina Amanollahi, Zohreh Tajabadi, Mohammad Hossein Harirchian\",\"doi\":\"10.1038/s41598-025-13487-1\",\"DOIUrl\":null,\"url\":null,\"abstract\":\"<p><p>Peripheral nerve stimulation (PNS) demonstrates promise for some neurological conditions. However, its effectiveness for essential tremor (ET) requires further research. In this randomized, double-blind, sham-controlled trial, we investigated the safety and efficacy of a single, 40-minute PNS session in ET. Eighty-eight participants (age: 63.5 [52.5, 70.3], male: 57.95%) were assigned to active PNS stimulation (n = 45) or sham procedure (n = 43). Efficacy was assessed using accelerometer-measured tremor amplitude (m/s²), clinician-rated tremor severity using the Tremor Research Group Essential Tremor Rating Assessment Scale (TETRAS), patients' own experience with daily activities using the Bain and Findley Activities of Daily Living scale (BF-ADL), and their perceived improvement based on the Clinical Global Impression-Improvement scale (CGI-I). Assessments were conducted at baseline, immediately post-stimulation, and at multiple intervals up to 90 min (extending to 24 h for subjective outcomes). Temporal changes in outcomes over time were evaluated using the Generalized Estimating Equation (GEE). The effects of group, time, and their interaction (group*time) on the outcomes were subsequently assessed using GEE. GEE analyses revealed significant group*time interaction for tremor amplitude (B = - 51.61, 95%CI [- 94.60, - 8.62], p = 0.019). However, no significant group*time interactions were observed for TETRAS, BF-ADL, and CGI-I. This study indicated the effect of PNS on reducing ET amplitude. ID: IRCT20161212031362N2.</p>\",\"PeriodicalId\":21811,\"journal\":{\"name\":\"Scientific Reports\",\"volume\":\"15 1\",\"pages\":\"28713\"},\"PeriodicalIF\":3.9000,\"publicationDate\":\"2025-08-06\",\"publicationTypes\":\"Journal Article\",\"fieldsOfStudy\":null,\"isOpenAccess\":false,\"openAccessPdf\":\"https://www.ncbi.nlm.nih.gov/pmc/articles/PMC12328561/pdf/\",\"citationCount\":\"0\",\"resultStr\":null,\"platform\":\"Semanticscholar\",\"paperid\":null,\"PeriodicalName\":\"Scientific Reports\",\"FirstCategoryId\":\"103\",\"ListUrlMain\":\"https://doi.org/10.1038/s41598-025-13487-1\",\"RegionNum\":2,\"RegionCategory\":\"综合性期刊\",\"ArticlePicture\":[],\"TitleCN\":null,\"AbstractTextCN\":null,\"PMCID\":null,\"EPubDate\":\"\",\"PubModel\":\"\",\"JCR\":\"Q1\",\"JCRName\":\"MULTIDISCIPLINARY SCIENCES\",\"Score\":null,\"Total\":0}","platform":"Semanticscholar","paperid":null,"PeriodicalName":"Scientific Reports","FirstCategoryId":"103","ListUrlMain":"https://doi.org/10.1038/s41598-025-13487-1","RegionNum":2,"RegionCategory":"综合性期刊","ArticlePicture":[],"TitleCN":null,"AbstractTextCN":null,"PMCID":null,"EPubDate":"","PubModel":"","JCR":"Q1","JCRName":"MULTIDISCIPLINARY SCIENCES","Score":null,"Total":0}
引用次数: 0

摘要

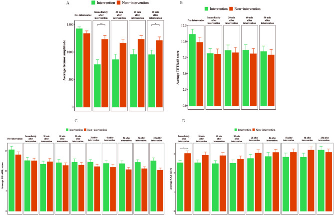
周围神经刺激(PNS)对一些神经系统疾病显示出希望。然而,它对特发性震颤(ET)的有效性还需要进一步研究。在这项随机、双盲、假对照试验中,我们研究了单次40分钟PNS治疗ET的安全性和有效性。88名参与者(年龄:63.5[52.5,70.3],男性:57.95%)被分配到主动PNS刺激组(n = 45)或假手术组(n = 43)。疗效评估采用加速度计测量的震颤幅度(m/s²),临床评定的震颤严重程度采用震颤研究小组基本震颤等级评估量表(TETRAS),患者自己的日常活动经验采用Bain和Findley日常生活活动量表(BF-ADL),以及基于临床总体印象改善量表(CGI-I)的感知改善。评估分别在基线、刺激后立即以及长达90分钟的多次间隔进行(主观结果延长至24小时)。使用广义估计方程(GEE)评估结果随时间的时间变化。随后使用GEE评估组、时间及其相互作用(组*时间)对结果的影响。GEE分析显示,组与时间对震颤幅度的影响显著(B = - 51.61, 95%CI [- 94.60, - 8.62], p = 0.019)。然而,TETRAS、BF-ADL和CGI-I在组*时间内未观察到显著的相互作用。本研究表明PNS对降低ET振幅有一定的作用。ID: IRCT20161212031362N2。
本文章由计算机程序翻译,如有差异,请以英文原文为准。

Short-term efficacy of peripheral nerve stimulation for essential tremor in a randomized double-blind controlled trial.

Short-term efficacy of peripheral nerve stimulation for essential tremor in a randomized double-blind controlled trial.

Short-term efficacy of peripheral nerve stimulation for essential tremor in a randomized double-blind controlled trial.

Short-term efficacy of peripheral nerve stimulation for essential tremor in a randomized double-blind controlled trial.

Short-term efficacy of peripheral nerve stimulation for essential tremor in a randomized double-blind controlled trial.

Short-term efficacy of peripheral nerve stimulation for essential tremor in a randomized double-blind controlled trial.

Short-term efficacy of peripheral nerve stimulation for essential tremor in a randomized double-blind controlled trial.

Peripheral nerve stimulation (PNS) demonstrates promise for some neurological conditions. However, its effectiveness for essential tremor (ET) requires further research. In this randomized, double-blind, sham-controlled trial, we investigated the safety and efficacy of a single, 40-minute PNS session in ET. Eighty-eight participants (age: 63.5 [52.5, 70.3], male: 57.95%) were assigned to active PNS stimulation (n = 45) or sham procedure (n = 43). Efficacy was assessed using accelerometer-measured tremor amplitude (m/s²), clinician-rated tremor severity using the Tremor Research Group Essential Tremor Rating Assessment Scale (TETRAS), patients' own experience with daily activities using the Bain and Findley Activities of Daily Living scale (BF-ADL), and their perceived improvement based on the Clinical Global Impression-Improvement scale (CGI-I). Assessments were conducted at baseline, immediately post-stimulation, and at multiple intervals up to 90 min (extending to 24 h for subjective outcomes). Temporal changes in outcomes over time were evaluated using the Generalized Estimating Equation (GEE). The effects of group, time, and their interaction (group*time) on the outcomes were subsequently assessed using GEE. GEE analyses revealed significant group*time interaction for tremor amplitude (B = - 51.61, 95%CI [- 94.60, - 8.62], p = 0.019). However, no significant group*time interactions were observed for TETRAS, BF-ADL, and CGI-I. This study indicated the effect of PNS on reducing ET amplitude. ID: IRCT20161212031362N2.

求助全文
通过发布文献求助,成功后即可免费获取论文全文。 去求助
来源期刊
Scientific Reports
Scientific Reports Natural Science Disciplines-
CiteScore
7.50
自引率
4.30%
发文量
19567
审稿时长
3.9 months
期刊介绍: We publish original research from all areas of the natural sciences, psychology, medicine and engineering. You can learn more about what we publish by browsing our specific scientific subject areas below or explore Scientific Reports by browsing all articles and collections. Scientific Reports has a 2-year impact factor: 4.380 (2021), and is the 6th most-cited journal in the world, with more than 540,000 citations in 2020 (Clarivate Analytics, 2021). •Engineering Engineering covers all aspects of engineering, technology, and applied science. It plays a crucial role in the development of technologies to address some of the world''s biggest challenges, helping to save lives and improve the way we live. •Physical sciences Physical sciences are those academic disciplines that aim to uncover the underlying laws of nature — often written in the language of mathematics. It is a collective term for areas of study including astronomy, chemistry, materials science and physics. •Earth and environmental sciences Earth and environmental sciences cover all aspects of Earth and planetary science and broadly encompass solid Earth processes, surface and atmospheric dynamics, Earth system history, climate and climate change, marine and freshwater systems, and ecology. It also considers the interactions between humans and these systems. •Biological sciences Biological sciences encompass all the divisions of natural sciences examining various aspects of vital processes. The concept includes anatomy, physiology, cell biology, biochemistry and biophysics, and covers all organisms from microorganisms, animals to plants. •Health sciences The health sciences study health, disease and healthcare. This field of study aims to develop knowledge, interventions and technology for use in healthcare to improve the treatment of patients.
×
引用
GB/T 7714-2015
复制
MLA
复制
APA
复制
导出至
BibTeX EndNote RefMan NoteFirst NoteExpress
×
提示
您的信息不完整,为了账户安全,请先补充。
现在去补充
×
提示
您因"违规操作"
具体请查看互助需知
我知道了
×
提示
确定
请完成安全验证×
copy
已复制链接
快去分享给好友吧!
我知道了
右上角分享
点击右上角分享
0
联系我们:info@booksci.cn Book学术提供免费学术资源搜索服务,方便国内外学者检索中英文文献。致力于提供最便捷和优质的服务体验。 Copyright © 2023 布克学术 All rights reserved.
京ICP备2023020795号-1
ghs 京公网安备 11010802042870号
Book学术文献互助
Book学术文献互助群
群 号:604180095
Book学术官方微信