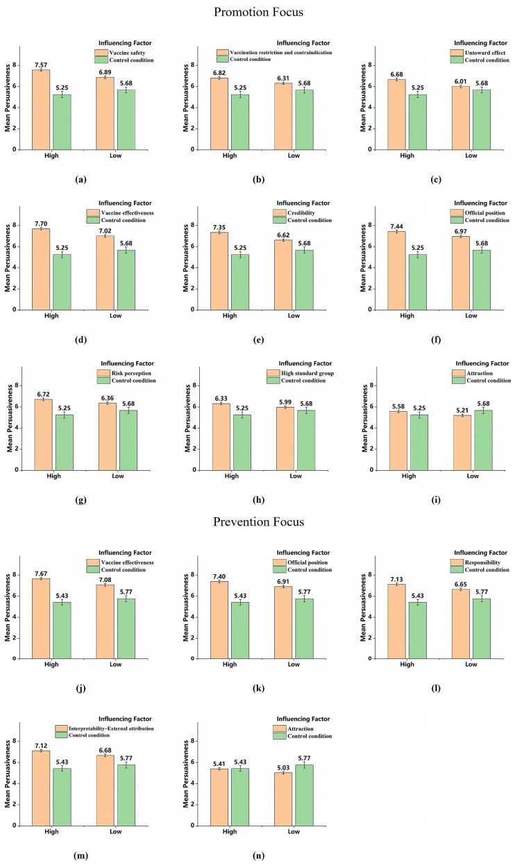
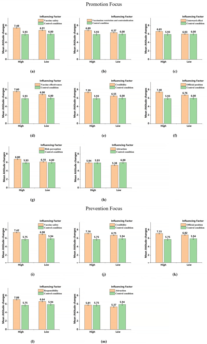
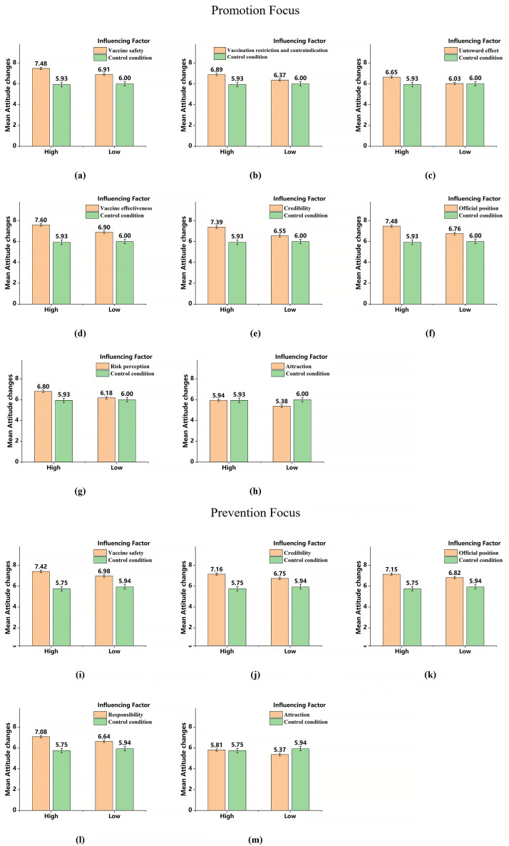
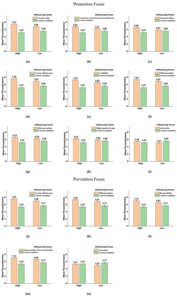
受众监管焦点对不同支持疫苗信息说服效果的影响。

IF 2.6 3区 综合性期刊 Q1 MULTIDISCIPLINARY SCIENCES
PLoS ONE Pub Date : 2025-08-06 eCollection Date: 2025-01-01 DOI:10.1371/journal.pone.0328638
Dengke Xia, Yue Su, Mengyao Song, Tingshao Zhu, Nan Zhao, Hongwei Sun
{"title":"受众监管焦点对不同支持疫苗信息说服效果的影响。","authors":"Dengke Xia, Yue Su, Mengyao Song, Tingshao Zhu, Nan Zhao, Hongwei Sun","doi":"10.1371/journal.pone.0328638","DOIUrl":null,"url":null,"abstract":"<p><p>The aim of this study was to investigate the influence of an audience's regulatory focus on the persuasive effect of different pro-vaccine messages. Study 1 (N = 169) examined attitude changes among audiences with different regulatory focus after reading pro-vaccine messages, and Study 2 (N = 201) added the exploration of message persuasiveness and vaccination intentions as well. The results of Study 1 and Study 2 showed that both high promotion fucus and high prevention focus could facilitate the attitude change elicited by messages emphasizing vaccine safety, official position and credibility. Meanwhile, high-promotion individuals were also more easily influenced by messages highlighting the benefits of vaccination, while high-prevention individuals were more receptive to messages focusing on the personal responsibility. Similar results also appeared when measuring perceived persuasiveness as dependent variable. However, these impacts of regulatory focus did not remain statistically significant on behavioral intention for most messages, except for the messages emphasizing vaccine effectiveness. The behavioral intention changes after reading these messages were significantly promoted by high promotion focus. Our findings could shed some light on the mechanism underlying personalized persuasion as well as more targeted vaccination promotion strategies.</p>","PeriodicalId":20189,"journal":{"name":"PLoS ONE","volume":"20 8","pages":"e0328638"},"PeriodicalIF":2.6000,"publicationDate":"2025-08-06","publicationTypes":"Journal Article","fieldsOfStudy":null,"isOpenAccess":false,"openAccessPdf":"https://www.ncbi.nlm.nih.gov/pmc/articles/PMC12327666/pdf/","citationCount":"0","resultStr":"{\"title\":\"The influence of audience's regulatory focus on the persuasive effect of different pro-vaccine messages.\",\"authors\":\"Dengke Xia, Yue Su, Mengyao Song, Tingshao Zhu, Nan Zhao, Hongwei Sun\",\"doi\":\"10.1371/journal.pone.0328638\",\"DOIUrl\":null,\"url\":null,\"abstract\":\"<p><p>The aim of this study was to investigate the influence of an audience's regulatory focus on the persuasive effect of different pro-vaccine messages. Study 1 (N = 169) examined attitude changes among audiences with different regulatory focus after reading pro-vaccine messages, and Study 2 (N = 201) added the exploration of message persuasiveness and vaccination intentions as well. The results of Study 1 and Study 2 showed that both high promotion fucus and high prevention focus could facilitate the attitude change elicited by messages emphasizing vaccine safety, official position and credibility. Meanwhile, high-promotion individuals were also more easily influenced by messages highlighting the benefits of vaccination, while high-prevention individuals were more receptive to messages focusing on the personal responsibility. Similar results also appeared when measuring perceived persuasiveness as dependent variable. However, these impacts of regulatory focus did not remain statistically significant on behavioral intention for most messages, except for the messages emphasizing vaccine effectiveness. The behavioral intention changes after reading these messages were significantly promoted by high promotion focus. Our findings could shed some light on the mechanism underlying personalized persuasion as well as more targeted vaccination promotion strategies.</p>\",\"PeriodicalId\":20189,\"journal\":{\"name\":\"PLoS ONE\",\"volume\":\"20 8\",\"pages\":\"e0328638\"},\"PeriodicalIF\":2.6000,\"publicationDate\":\"2025-08-06\",\"publicationTypes\":\"Journal Article\",\"fieldsOfStudy\":null,\"isOpenAccess\":false,\"openAccessPdf\":\"https://www.ncbi.nlm.nih.gov/pmc/articles/PMC12327666/pdf/\",\"citationCount\":\"0\",\"resultStr\":null,\"platform\":\"Semanticscholar\",\"paperid\":null,\"PeriodicalName\":\"PLoS ONE\",\"FirstCategoryId\":\"103\",\"ListUrlMain\":\"https://doi.org/10.1371/journal.pone.0328638\",\"RegionNum\":3,\"RegionCategory\":\"综合性期刊\",\"ArticlePicture\":[],\"TitleCN\":null,\"AbstractTextCN\":null,\"PMCID\":null,\"EPubDate\":\"2025/1/1 0:00:00\",\"PubModel\":\"eCollection\",\"JCR\":\"Q1\",\"JCRName\":\"MULTIDISCIPLINARY SCIENCES\",\"Score\":null,\"Total\":0}","platform":"Semanticscholar","paperid":null,"PeriodicalName":"PLoS ONE","FirstCategoryId":"103","ListUrlMain":"https://doi.org/10.1371/journal.pone.0328638","RegionNum":3,"RegionCategory":"综合性期刊","ArticlePicture":[],"TitleCN":null,"AbstractTextCN":null,"PMCID":null,"EPubDate":"2025/1/1 0:00:00","PubModel":"eCollection","JCR":"Q1","JCRName":"MULTIDISCIPLINARY SCIENCES","Score":null,"Total":0}
引用次数: 0

摘要

本研究的目的是调查受众的监管焦点对不同的支持疫苗信息的说服效果的影响。研究1 (N = 169)考察了不同监管重点受众在阅读支持疫苗信息后的态度变化,研究2 (N = 201)还增加了对信息说服力和接种意图的探索。研究1和研究2的结果表明,高宣传力度和高预防重点都能促进强调疫苗安全性、官方立场和可信度的信息引起的态度转变。与此同时,高度促进的个体也更容易受到强调接种疫苗益处的信息的影响,而高度预防的个体更容易接受以个人责任为重点的信息。类似的结果也出现在测量感知说服力作为因变量。然而,除了强调疫苗有效性的信息外,这些监管焦点对大多数信息的行为意图的影响在统计上并不显著。阅读这些信息后的行为意向变化被高度的推广聚焦显著地促进。我们的研究结果可以揭示个性化说服的机制以及更有针对性的疫苗接种促进策略。
本文章由计算机程序翻译,如有差异,请以英文原文为准。

The influence of audience's regulatory focus on the persuasive effect of different pro-vaccine messages.

The influence of audience's regulatory focus on the persuasive effect of different pro-vaccine messages.

The influence of audience's regulatory focus on the persuasive effect of different pro-vaccine messages.

The influence of audience's regulatory focus on the persuasive effect of different pro-vaccine messages.

The influence of audience's regulatory focus on the persuasive effect of different pro-vaccine messages.

The influence of audience's regulatory focus on the persuasive effect of different pro-vaccine messages.

The influence of audience's regulatory focus on the persuasive effect of different pro-vaccine messages.

The aim of this study was to investigate the influence of an audience's regulatory focus on the persuasive effect of different pro-vaccine messages. Study 1 (N = 169) examined attitude changes among audiences with different regulatory focus after reading pro-vaccine messages, and Study 2 (N = 201) added the exploration of message persuasiveness and vaccination intentions as well. The results of Study 1 and Study 2 showed that both high promotion fucus and high prevention focus could facilitate the attitude change elicited by messages emphasizing vaccine safety, official position and credibility. Meanwhile, high-promotion individuals were also more easily influenced by messages highlighting the benefits of vaccination, while high-prevention individuals were more receptive to messages focusing on the personal responsibility. Similar results also appeared when measuring perceived persuasiveness as dependent variable. However, these impacts of regulatory focus did not remain statistically significant on behavioral intention for most messages, except for the messages emphasizing vaccine effectiveness. The behavioral intention changes after reading these messages were significantly promoted by high promotion focus. Our findings could shed some light on the mechanism underlying personalized persuasion as well as more targeted vaccination promotion strategies.

求助全文
通过发布文献求助,成功后即可免费获取论文全文。 去求助
来源期刊
PLoS ONE
PLoS ONE 生物-生物学
CiteScore
6.20
自引率
5.40%
发文量
14242
审稿时长
3.7 months
期刊介绍: PLOS ONE is an international, peer-reviewed, open-access, online publication. PLOS ONE welcomes reports on primary research from any scientific discipline. It provides: * Open-access—freely accessible online, authors retain copyright * Fast publication times * Peer review by expert, practicing researchers * Post-publication tools to indicate quality and impact * Community-based dialogue on articles * Worldwide media coverage
×
引用
GB/T 7714-2015
复制
MLA
复制
APA
复制
导出至
BibTeX EndNote RefMan NoteFirst NoteExpress
×
提示
您的信息不完整,为了账户安全,请先补充。
现在去补充
×
提示
您因"违规操作"
具体请查看互助需知
我知道了
×
提示
确定
请完成安全验证×
copy
已复制链接
快去分享给好友吧!
我知道了
右上角分享
点击右上角分享
0
联系我们:info@booksci.cn Book学术提供免费学术资源搜索服务,方便国内外学者检索中英文文献。致力于提供最便捷和优质的服务体验。 Copyright © 2023 布克学术 All rights reserved.
京ICP备2023020795号-1
ghs 京公网安备 11010802042870号
Book学术文献互助
Book学术文献互助群
群 号:604180095
Book学术官方微信