一些无蛋白食品对非透析依赖型慢性肾病患者的血糖指数

IF 4.1 2区 医学 Q2 NUTRITION & DIETETICS
Alessandro Leone, Francesca Menichetti, Franca Criscuoli, Giovanni Fiorillo, Stefano Ravasenghi, Maria Cristina Casiraghi, Simona Bertoli
{"title":"一些无蛋白食品对非透析依赖型慢性肾病患者的血糖指数","authors":"Alessandro Leone, Francesca Menichetti, Franca Criscuoli, Giovanni Fiorillo, Stefano Ravasenghi, Maria Cristina Casiraghi, Simona Bertoli","doi":"10.1186/s12986-025-00990-5","DOIUrl":null,"url":null,"abstract":"<p><strong>Background: </strong>Chronic kidney disease (CKD) is a major public health issue and the third leading cause of death globally. In the conservative phase of CKD, a low-protein diet is recommended to slow disease progression, and protein-free products are commonly used in clinical nutrition for CKD. Since diabetes is highly prevalent in this population, it is crucial that such foods also have a low glycemic index (GI) to support glycemic control and reduce associated complications. This study aimed to assess the GI of selected commercial protein-free products.</p><p><strong>Methods: </strong>Twelve healthy volunteers (six males, six females; mean age 20.7 ± 0.8 years; BMI 22.6 ± 3.6 kg/m²) consumed four commonly available protein-free foods: sliced white bread, pasta, crackers, and cookies filled with vanilla cream (with sweeteners). The GI of each product was calculated according to ISO 2010 standards, using glucose as a reference. Each test meal provided 50 g of available carbohydrates.</p><p><strong>Results: </strong>GI values ranged from 48 for cookies filled with vanilla cream to 69 for crackers. Sliced white bread (GI 49.4) and cookies (GI 47.8) were classified as low-GI foods, while pasta (GI 68.2) and crackers (GI 69.2) fell within the medium-GI range.</p><p><strong>Conclusion: </strong>Several commercially available protein-free products exhibit low to moderate GI values, supporting their use in dietary management of patients with non-dialysis-dependent CKD and or at risk of diabetes. However, given the growing market of such products, further studies-including those on patients with CKD-are needed to expand the current evidence base.</p>","PeriodicalId":19196,"journal":{"name":"Nutrition & Metabolism","volume":"22 1","pages":"93"},"PeriodicalIF":4.1000,"publicationDate":"2025-08-06","publicationTypes":"Journal Article","fieldsOfStudy":null,"isOpenAccess":false,"openAccessPdf":"https://www.ncbi.nlm.nih.gov/pmc/articles/PMC12326757/pdf/","citationCount":"0","resultStr":"{\"title\":\"Glycemic index of some protein-free food products for individuals with non-dialysis-dependent chronic kidney disease.\",\"authors\":\"Alessandro Leone, Francesca Menichetti, Franca Criscuoli, Giovanni Fiorillo, Stefano Ravasenghi, Maria Cristina Casiraghi, Simona Bertoli\",\"doi\":\"10.1186/s12986-025-00990-5\",\"DOIUrl\":null,\"url\":null,\"abstract\":\"<p><strong>Background: </strong>Chronic kidney disease (CKD) is a major public health issue and the third leading cause of death globally. In the conservative phase of CKD, a low-protein diet is recommended to slow disease progression, and protein-free products are commonly used in clinical nutrition for CKD. Since diabetes is highly prevalent in this population, it is crucial that such foods also have a low glycemic index (GI) to support glycemic control and reduce associated complications. This study aimed to assess the GI of selected commercial protein-free products.</p><p><strong>Methods: </strong>Twelve healthy volunteers (six males, six females; mean age 20.7 ± 0.8 years; BMI 22.6 ± 3.6 kg/m²) consumed four commonly available protein-free foods: sliced white bread, pasta, crackers, and cookies filled with vanilla cream (with sweeteners). The GI of each product was calculated according to ISO 2010 standards, using glucose as a reference. Each test meal provided 50 g of available carbohydrates.</p><p><strong>Results: </strong>GI values ranged from 48 for cookies filled with vanilla cream to 69 for crackers. Sliced white bread (GI 49.4) and cookies (GI 47.8) were classified as low-GI foods, while pasta (GI 68.2) and crackers (GI 69.2) fell within the medium-GI range.</p><p><strong>Conclusion: </strong>Several commercially available protein-free products exhibit low to moderate GI values, supporting their use in dietary management of patients with non-dialysis-dependent CKD and or at risk of diabetes. However, given the growing market of such products, further studies-including those on patients with CKD-are needed to expand the current evidence base.</p>\",\"PeriodicalId\":19196,\"journal\":{\"name\":\"Nutrition & Metabolism\",\"volume\":\"22 1\",\"pages\":\"93\"},\"PeriodicalIF\":4.1000,\"publicationDate\":\"2025-08-06\",\"publicationTypes\":\"Journal Article\",\"fieldsOfStudy\":null,\"isOpenAccess\":false,\"openAccessPdf\":\"https://www.ncbi.nlm.nih.gov/pmc/articles/PMC12326757/pdf/\",\"citationCount\":\"0\",\"resultStr\":null,\"platform\":\"Semanticscholar\",\"paperid\":null,\"PeriodicalName\":\"Nutrition & Metabolism\",\"FirstCategoryId\":\"3\",\"ListUrlMain\":\"https://doi.org/10.1186/s12986-025-00990-5\",\"RegionNum\":2,\"RegionCategory\":\"医学\",\"ArticlePicture\":[],\"TitleCN\":null,\"AbstractTextCN\":null,\"PMCID\":null,\"EPubDate\":\"\",\"PubModel\":\"\",\"JCR\":\"Q2\",\"JCRName\":\"NUTRITION & DIETETICS\",\"Score\":null,\"Total\":0}","platform":"Semanticscholar","paperid":null,"PeriodicalName":"Nutrition & Metabolism","FirstCategoryId":"3","ListUrlMain":"https://doi.org/10.1186/s12986-025-00990-5","RegionNum":2,"RegionCategory":"医学","ArticlePicture":[],"TitleCN":null,"AbstractTextCN":null,"PMCID":null,"EPubDate":"","PubModel":"","JCR":"Q2","JCRName":"NUTRITION & DIETETICS","Score":null,"Total":0}
引用次数: 0

摘要

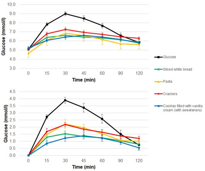
背景:慢性肾脏疾病(CKD)是一个重大的公共卫生问题,也是全球第三大死亡原因。在CKD的保守期,推荐低蛋白饮食以减缓疾病进展,无蛋白产品通常用于CKD的临床营养。由于糖尿病在这一人群中非常普遍,因此这些食物也具有低血糖指数(GI),以支持血糖控制并减少相关并发症,这一点至关重要。本研究旨在评估选定的商业无蛋白产品的GI。方法:12名健康志愿者(男6名,女6名;平均年龄20.7±0.8岁;体重指数(22.6±3.6 kg/m²)的人食用四种常见的无蛋白质食物:白面包片、意大利面、饼干和香草奶油(加甜味剂)填充的饼干。每种产品的GI均按照ISO 2010标准计算,以葡萄糖为参考。每顿试验餐提供50克可利用碳水化合物。结果:GI值从填充香草奶油的饼干的48到饼干的69不等。切片白面包(GI 49.4)和饼干(GI 47.8)被列为低GI食品,而意大利面(GI 68.2)和饼干(GI 69.2)属于中等GI范围。结论:一些市售的无蛋白产品显示出低到中等的GI值,支持它们在非透析依赖型CKD患者和或有糖尿病风险患者的饮食管理中使用。然而,鉴于此类产品的市场不断增长,需要进一步的研究——包括ckd患者的研究——来扩大现有的证据基础。
本文章由计算机程序翻译,如有差异,请以英文原文为准。

Glycemic index of some protein-free food products for individuals with non-dialysis-dependent chronic kidney disease.

Glycemic index of some protein-free food products for individuals with non-dialysis-dependent chronic kidney disease.

Glycemic index of some protein-free food products for individuals with non-dialysis-dependent chronic kidney disease.

Glycemic index of some protein-free food products for individuals with non-dialysis-dependent chronic kidney disease.

Glycemic index of some protein-free food products for individuals with non-dialysis-dependent chronic kidney disease.

Background: Chronic kidney disease (CKD) is a major public health issue and the third leading cause of death globally. In the conservative phase of CKD, a low-protein diet is recommended to slow disease progression, and protein-free products are commonly used in clinical nutrition for CKD. Since diabetes is highly prevalent in this population, it is crucial that such foods also have a low glycemic index (GI) to support glycemic control and reduce associated complications. This study aimed to assess the GI of selected commercial protein-free products.

Methods: Twelve healthy volunteers (six males, six females; mean age 20.7 ± 0.8 years; BMI 22.6 ± 3.6 kg/m²) consumed four commonly available protein-free foods: sliced white bread, pasta, crackers, and cookies filled with vanilla cream (with sweeteners). The GI of each product was calculated according to ISO 2010 standards, using glucose as a reference. Each test meal provided 50 g of available carbohydrates.

Results: GI values ranged from 48 for cookies filled with vanilla cream to 69 for crackers. Sliced white bread (GI 49.4) and cookies (GI 47.8) were classified as low-GI foods, while pasta (GI 68.2) and crackers (GI 69.2) fell within the medium-GI range.

Conclusion: Several commercially available protein-free products exhibit low to moderate GI values, supporting their use in dietary management of patients with non-dialysis-dependent CKD and or at risk of diabetes. However, given the growing market of such products, further studies-including those on patients with CKD-are needed to expand the current evidence base.

求助全文
通过发布文献求助,成功后即可免费获取论文全文。 去求助
来源期刊
Nutrition & Metabolism
Nutrition & Metabolism 医学-营养学
CiteScore
8.40
自引率
0.00%
发文量
78
审稿时长
4-8 weeks
期刊介绍: Nutrition & Metabolism publishes studies with a clear focus on nutrition and metabolism with applications ranging from nutrition needs, exercise physiology, clinical and population studies, as well as the underlying mechanisms in these aspects. The areas of interest for Nutrition & Metabolism encompass studies in molecular nutrition in the context of obesity, diabetes, lipedemias, metabolic syndrome and exercise physiology. Manuscripts related to molecular, cellular and human metabolism, nutrient sensing and nutrient–gene interactions are also in interest, as are submissions that have employed new and innovative strategies like metabolomics/lipidomics or other omic-based biomarkers to predict nutritional status and metabolic diseases. Key areas we wish to encourage submissions from include: -how diet and specific nutrients interact with genes, proteins or metabolites to influence metabolic phenotypes and disease outcomes; -the role of epigenetic factors and the microbiome in the pathogenesis of metabolic diseases and their influence on metabolic responses to diet and food components; -how diet and other environmental factors affect epigenetics and microbiota; the extent to which genetic and nongenetic factors modify personal metabolic responses to diet and food compositions and the mechanisms involved; -how specific biologic networks and nutrient sensing mechanisms attribute to metabolic variability.
×
引用
GB/T 7714-2015
复制
MLA
复制
APA
复制
导出至
BibTeX EndNote RefMan NoteFirst NoteExpress
×
提示
您的信息不完整,为了账户安全,请先补充。
现在去补充
×
提示
您因"违规操作"
具体请查看互助需知
我知道了
×
提示
确定
请完成安全验证×
copy
已复制链接
快去分享给好友吧!
我知道了
右上角分享
点击右上角分享
0
联系我们:info@booksci.cn Book学术提供免费学术资源搜索服务,方便国内外学者检索中英文文献。致力于提供最便捷和优质的服务体验。 Copyright © 2023 布克学术 All rights reserved.
京ICP备2023020795号-1
ghs 京公网安备 11010802042870号
Book学术文献互助
Book学术文献互助群
群 号:604180095
Book学术官方微信