海马体和褐斑稻对盐度快速变化的反应比较。

IF 2.5 3区 农林科学 Q3 BIOCHEMISTRY & MOLECULAR BIOLOGY
Jinyang Xie, Wenxin Zhang, Penghong Lin, Xia Pan, Yongjian Xu
{"title":"海马体和褐斑稻对盐度快速变化的反应比较。","authors":"Jinyang Xie, Wenxin Zhang, Penghong Lin, Xia Pan, Yongjian Xu","doi":"10.1007/s10695-025-01548-1","DOIUrl":null,"url":null,"abstract":"<p><p>In order to explore the similarities and differences of responses between Hippocampus kuda and Oryzias melastigma, this study analyzed and compared them from the aspects of growth, behavior, physiology, and gene expression. The results showed that H. kuda had a greater impact on its feeding behavior compared to O. melastigma at the same rates. And the continuous responses of enzymes indicated there was a more persistent stress in H. kuda, with stress-related genes like sod1 showing a slower response. Additionally, genes related to sugar and lipid metabolism were significantly different in H. kuda compared to O. melastigma. H. kuda exhibited sensitivity to nearly all treatments, while O. melastigma only responded to treatments of direct input. Furthermore, the responses of immune-related genes in H. kuda were also slower than those in O. melastigma. In summary, the osmotic pressure regulation ability of O. melastigma was more efficient than that of H. kuda in dealing with the stress caused by rapid changes in salinity.</p>","PeriodicalId":12274,"journal":{"name":"Fish Physiology and Biochemistry","volume":"51 4","pages":"139"},"PeriodicalIF":2.5000,"publicationDate":"2025-08-07","publicationTypes":"Journal Article","fieldsOfStudy":null,"isOpenAccess":false,"openAccessPdf":"https://www.ncbi.nlm.nih.gov/pmc/articles/PMC12331816/pdf/","citationCount":"0","resultStr":"{\"title\":\"Comparison of responses to rapid changes in salinity between Hippocampus kuda and Oryzias melastigma.\",\"authors\":\"Jinyang Xie, Wenxin Zhang, Penghong Lin, Xia Pan, Yongjian Xu\",\"doi\":\"10.1007/s10695-025-01548-1\",\"DOIUrl\":null,\"url\":null,\"abstract\":\"<p><p>In order to explore the similarities and differences of responses between Hippocampus kuda and Oryzias melastigma, this study analyzed and compared them from the aspects of growth, behavior, physiology, and gene expression. The results showed that H. kuda had a greater impact on its feeding behavior compared to O. melastigma at the same rates. And the continuous responses of enzymes indicated there was a more persistent stress in H. kuda, with stress-related genes like sod1 showing a slower response. Additionally, genes related to sugar and lipid metabolism were significantly different in H. kuda compared to O. melastigma. H. kuda exhibited sensitivity to nearly all treatments, while O. melastigma only responded to treatments of direct input. Furthermore, the responses of immune-related genes in H. kuda were also slower than those in O. melastigma. In summary, the osmotic pressure regulation ability of O. melastigma was more efficient than that of H. kuda in dealing with the stress caused by rapid changes in salinity.</p>\",\"PeriodicalId\":12274,\"journal\":{\"name\":\"Fish Physiology and Biochemistry\",\"volume\":\"51 4\",\"pages\":\"139\"},\"PeriodicalIF\":2.5000,\"publicationDate\":\"2025-08-07\",\"publicationTypes\":\"Journal Article\",\"fieldsOfStudy\":null,\"isOpenAccess\":false,\"openAccessPdf\":\"https://www.ncbi.nlm.nih.gov/pmc/articles/PMC12331816/pdf/\",\"citationCount\":\"0\",\"resultStr\":null,\"platform\":\"Semanticscholar\",\"paperid\":null,\"PeriodicalName\":\"Fish Physiology and Biochemistry\",\"FirstCategoryId\":\"97\",\"ListUrlMain\":\"https://doi.org/10.1007/s10695-025-01548-1\",\"RegionNum\":3,\"RegionCategory\":\"农林科学\",\"ArticlePicture\":[],\"TitleCN\":null,\"AbstractTextCN\":null,\"PMCID\":null,\"EPubDate\":\"\",\"PubModel\":\"\",\"JCR\":\"Q3\",\"JCRName\":\"BIOCHEMISTRY & MOLECULAR BIOLOGY\",\"Score\":null,\"Total\":0}","platform":"Semanticscholar","paperid":null,"PeriodicalName":"Fish Physiology and Biochemistry","FirstCategoryId":"97","ListUrlMain":"https://doi.org/10.1007/s10695-025-01548-1","RegionNum":3,"RegionCategory":"农林科学","ArticlePicture":[],"TitleCN":null,"AbstractTextCN":null,"PMCID":null,"EPubDate":"","PubModel":"","JCR":"Q3","JCRName":"BIOCHEMISTRY & MOLECULAR BIOLOGY","Score":null,"Total":0}
引用次数: 0

摘要

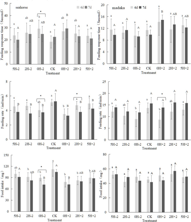
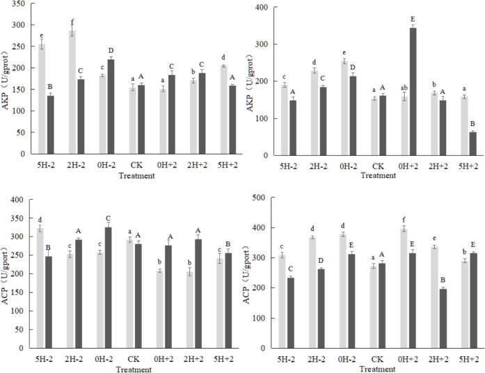
为了探讨海马体与褐斑黑马反应的异同,本研究从生长、行为、生理、基因表达等方面对二者进行了分析比较。结果表明,在相同的取食率下,黑田鼠对其取食行为的影响大于黑田鼠。酶的持续反应表明,在黑田鼠身上存在更持久的压力,与压力相关的基因,如sod1,反应较慢。此外,与黄貂鱼相比,黑貂鱼的糖和脂质代谢相关基因也有显著差异。黑田花对几乎所有的处理都表现出敏感性,而褐花只对直接输入的处理有反应。此外,黑田红的免疫相关基因的反应也比黑田红慢。综上所述,在应对盐度快速变化所引起的胁迫方面,黑藻的渗透压调节能力比黑藻更有效。
本文章由计算机程序翻译,如有差异,请以英文原文为准。

Comparison of responses to rapid changes in salinity between Hippocampus kuda and Oryzias melastigma.

Comparison of responses to rapid changes in salinity between Hippocampus kuda and Oryzias melastigma.

Comparison of responses to rapid changes in salinity between Hippocampus kuda and Oryzias melastigma.

Comparison of responses to rapid changes in salinity between Hippocampus kuda and Oryzias melastigma.

In order to explore the similarities and differences of responses between Hippocampus kuda and Oryzias melastigma, this study analyzed and compared them from the aspects of growth, behavior, physiology, and gene expression. The results showed that H. kuda had a greater impact on its feeding behavior compared to O. melastigma at the same rates. And the continuous responses of enzymes indicated there was a more persistent stress in H. kuda, with stress-related genes like sod1 showing a slower response. Additionally, genes related to sugar and lipid metabolism were significantly different in H. kuda compared to O. melastigma. H. kuda exhibited sensitivity to nearly all treatments, while O. melastigma only responded to treatments of direct input. Furthermore, the responses of immune-related genes in H. kuda were also slower than those in O. melastigma. In summary, the osmotic pressure regulation ability of O. melastigma was more efficient than that of H. kuda in dealing with the stress caused by rapid changes in salinity.

求助全文
通过发布文献求助,成功后即可免费获取论文全文。 去求助
来源期刊
Fish Physiology and Biochemistry
Fish Physiology and Biochemistry 农林科学-生化与分子生物学
CiteScore
5.60
自引率
6.90%
发文量
106
审稿时长
4 months
期刊介绍: Fish Physiology and Biochemistry is an international journal publishing original research papers in all aspects of the physiology and biochemistry of fishes. Coverage includes experimental work in such topics as biochemistry of organisms, organs, tissues and cells; structure of organs, tissues, cells and organelles related to their function; nutritional, osmotic, ionic, respiratory and excretory homeostasis; nerve and muscle physiology; endocrinology; reproductive physiology; energetics; biochemical and physiological effects of toxicants; molecular biology and biotechnology and more.
×
引用
GB/T 7714-2015
复制
MLA
复制
APA
复制
导出至
BibTeX EndNote RefMan NoteFirst NoteExpress
×
提示
您的信息不完整,为了账户安全,请先补充。
现在去补充
×
提示
您因"违规操作"
具体请查看互助需知
我知道了
×
提示
确定
请完成安全验证×
copy
已复制链接
快去分享给好友吧!
我知道了
右上角分享
点击右上角分享
0
联系我们:info@booksci.cn Book学术提供免费学术资源搜索服务,方便国内外学者检索中英文文献。致力于提供最便捷和优质的服务体验。 Copyright © 2023 布克学术 All rights reserved.
京ICP备2023020795号-1
ghs 京公网安备 11010802042870号
Book学术文献互助
Book学术文献互助群
群 号:604180095
Book学术官方微信