间歇性禁食、组合-中等碳水化合物和抗炎饮食对糖尿病前期患者心脏代谢状态的影响一项开放标签随机临床试验。

IF 3.9 3区 医学 Q2 ENDOCRINOLOGY & METABOLISM
Yahya Pasdar, Amir Saber, Nayebali Rezvani, Samaneh Bozorgi, Shima Moradi, Sahar Cheshmeh, Hossein Niazi, Farid Najafi
{"title":"间歇性禁食、组合-中等碳水化合物和抗炎饮食对糖尿病前期患者心脏代谢状态的影响一项开放标签随机临床试验。","authors":"Yahya Pasdar, Amir Saber, Nayebali Rezvani, Samaneh Bozorgi, Shima Moradi, Sahar Cheshmeh, Hossein Niazi, Farid Najafi","doi":"10.1186/s13098-025-01901-7","DOIUrl":null,"url":null,"abstract":"<p><strong>Background: </strong>Pre-diabetes is a condition characterized by hyperglycemia that does not meet the cutoff for the diagnosis of diabetes and increases the risk of non-communicable diseases. Choosing an appropriate diet is necessary to prevent the progression of pre-diabetes to diabetes. Therefore, the present study aimed to compare the effects of 3 diets, including intermittent fasting (IF) 5:2, portfolio-moderate-carbohydrate (PMC), and anti-inflammatory (AI) diets, compared to a healthy diet with carbohydrate distribution.</p><p><strong>Methods: </strong>This open label randomized clinical trial was performed on 98 patients with pre-diabetes that were randomly divided into four intervention groups, including IF 5:2 (n = 24), PMC (n = 24), AI (n = 25), and control group (n = 25). Adherence to these dietary intervention was assessed by dietary recall. Glycemic indices (fasting blood sugar (FBS) and hemoglobin A1c (HbA1c)), lipid profile, body composition, anthropometric indices (weight, waist circumference (WC), and body mass index (BMI)), and hs-C reactive protein (CRP) were assessed before and after dietary intervention. Mixed model regression was used for statistical analysis.</p><p><strong>Results: </strong>Compared to the control group, the AI diet significantly reduced weight (β: -1.02; 95% CI: -1.96, -0.07; P = 0.017), FBS (β: -6.42; 95% CI: -12.9, -0.06; P = 0.026), and HbA1c (β: -0.27; 95% CI: -0.55, -0.007; P = 0.028). IF 5:2 showed significant reductions in waist circumference, BMI, FBS, and HbA1c, while PMC intervention resulted in significant improvements in FBS and HbA1c compared to the control group.</p><p><strong>Conclusions: </strong>The study demonstrated that AI, IF 5:2, and PMC diets improved glycemic control and anthropometric indices in pre-diabetic patients, with the AI diet showing the greatest beneficial effects. These findings suggest that anti-inflammatory dietary approaches may be an effective strategy for pre-diabetes management.</p><p><strong>Level of evidence: </strong>Level I, randomized clinical trial.</p><p><strong>Trial registration: </strong>Registration number IRCT20200608047697N2, data 2024-05-16, https://irct.behdasht.gov.ir/trial/76653 .</p>","PeriodicalId":11106,"journal":{"name":"Diabetology & Metabolic Syndrome","volume":"17 1","pages":"319"},"PeriodicalIF":3.9000,"publicationDate":"2025-08-07","publicationTypes":"Journal Article","fieldsOfStudy":null,"isOpenAccess":false,"openAccessPdf":"https://www.ncbi.nlm.nih.gov/pmc/articles/PMC12330102/pdf/","citationCount":"0","resultStr":"{\"title\":\"Effect of intermittent fasting, portfolio-moderate-carbohydrate, and anti-inflammatory diets on cardio-metabolic status in pre-diabetic patients; an open-label randomized clinical trial.\",\"authors\":\"Yahya Pasdar, Amir Saber, Nayebali Rezvani, Samaneh Bozorgi, Shima Moradi, Sahar Cheshmeh, Hossein Niazi, Farid Najafi\",\"doi\":\"10.1186/s13098-025-01901-7\",\"DOIUrl\":null,\"url\":null,\"abstract\":\"<p><strong>Background: </strong>Pre-diabetes is a condition characterized by hyperglycemia that does not meet the cutoff for the diagnosis of diabetes and increases the risk of non-communicable diseases. Choosing an appropriate diet is necessary to prevent the progression of pre-diabetes to diabetes. Therefore, the present study aimed to compare the effects of 3 diets, including intermittent fasting (IF) 5:2, portfolio-moderate-carbohydrate (PMC), and anti-inflammatory (AI) diets, compared to a healthy diet with carbohydrate distribution.</p><p><strong>Methods: </strong>This open label randomized clinical trial was performed on 98 patients with pre-diabetes that were randomly divided into four intervention groups, including IF 5:2 (n = 24), PMC (n = 24), AI (n = 25), and control group (n = 25). Adherence to these dietary intervention was assessed by dietary recall. Glycemic indices (fasting blood sugar (FBS) and hemoglobin A1c (HbA1c)), lipid profile, body composition, anthropometric indices (weight, waist circumference (WC), and body mass index (BMI)), and hs-C reactive protein (CRP) were assessed before and after dietary intervention. Mixed model regression was used for statistical analysis.</p><p><strong>Results: </strong>Compared to the control group, the AI diet significantly reduced weight (β: -1.02; 95% CI: -1.96, -0.07; P = 0.017), FBS (β: -6.42; 95% CI: -12.9, -0.06; P = 0.026), and HbA1c (β: -0.27; 95% CI: -0.55, -0.007; P = 0.028). IF 5:2 showed significant reductions in waist circumference, BMI, FBS, and HbA1c, while PMC intervention resulted in significant improvements in FBS and HbA1c compared to the control group.</p><p><strong>Conclusions: </strong>The study demonstrated that AI, IF 5:2, and PMC diets improved glycemic control and anthropometric indices in pre-diabetic patients, with the AI diet showing the greatest beneficial effects. These findings suggest that anti-inflammatory dietary approaches may be an effective strategy for pre-diabetes management.</p><p><strong>Level of evidence: </strong>Level I, randomized clinical trial.</p><p><strong>Trial registration: </strong>Registration number IRCT20200608047697N2, data 2024-05-16, https://irct.behdasht.gov.ir/trial/76653 .</p>\",\"PeriodicalId\":11106,\"journal\":{\"name\":\"Diabetology & Metabolic Syndrome\",\"volume\":\"17 1\",\"pages\":\"319\"},\"PeriodicalIF\":3.9000,\"publicationDate\":\"2025-08-07\",\"publicationTypes\":\"Journal Article\",\"fieldsOfStudy\":null,\"isOpenAccess\":false,\"openAccessPdf\":\"https://www.ncbi.nlm.nih.gov/pmc/articles/PMC12330102/pdf/\",\"citationCount\":\"0\",\"resultStr\":null,\"platform\":\"Semanticscholar\",\"paperid\":null,\"PeriodicalName\":\"Diabetology & Metabolic Syndrome\",\"FirstCategoryId\":\"3\",\"ListUrlMain\":\"https://doi.org/10.1186/s13098-025-01901-7\",\"RegionNum\":3,\"RegionCategory\":\"医学\",\"ArticlePicture\":[],\"TitleCN\":null,\"AbstractTextCN\":null,\"PMCID\":null,\"EPubDate\":\"\",\"PubModel\":\"\",\"JCR\":\"Q2\",\"JCRName\":\"ENDOCRINOLOGY & METABOLISM\",\"Score\":null,\"Total\":0}","platform":"Semanticscholar","paperid":null,"PeriodicalName":"Diabetology & Metabolic Syndrome","FirstCategoryId":"3","ListUrlMain":"https://doi.org/10.1186/s13098-025-01901-7","RegionNum":3,"RegionCategory":"医学","ArticlePicture":[],"TitleCN":null,"AbstractTextCN":null,"PMCID":null,"EPubDate":"","PubModel":"","JCR":"Q2","JCRName":"ENDOCRINOLOGY & METABOLISM","Score":null,"Total":0}
引用次数: 0

摘要

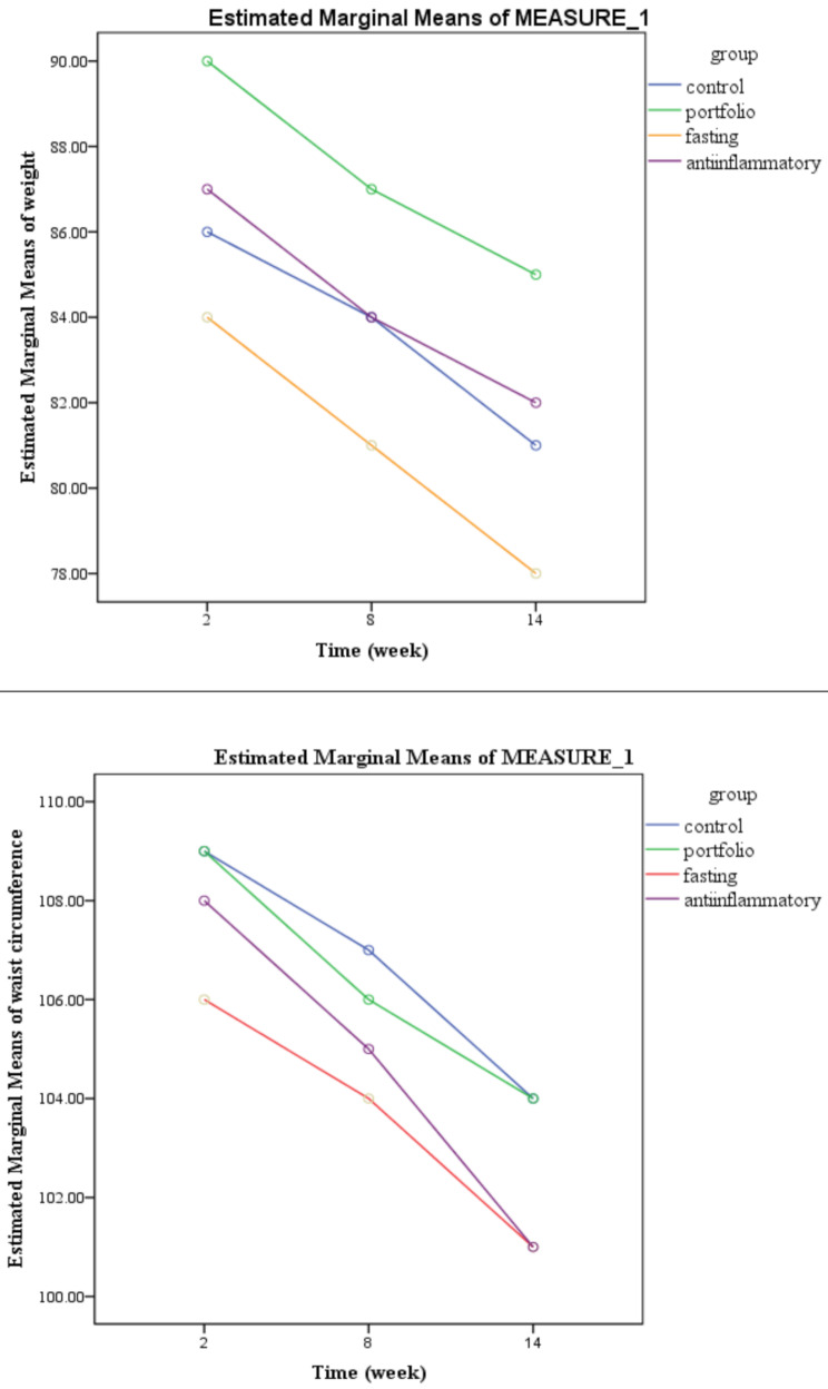
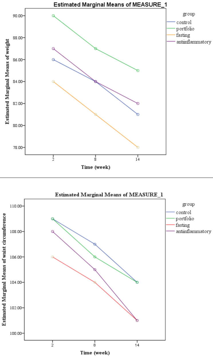
背景:糖尿病前期是一种以高血糖为特征的疾病,不符合糖尿病诊断的临界值,并增加非传染性疾病的风险。选择适当的饮食是防止糖尿病前期发展为糖尿病的必要条件。因此,本研究旨在比较3种饮食的效果,包括间歇性禁食(IF) 5:2,组合-中等碳水化合物(PMC)和抗炎(AI)饮食,与碳水化合物分布的健康饮食相比。方法:98例糖尿病前期患者进行开放标签随机临床试验,随机分为IF 5:2组(n = 24)、PMC组(n = 24)、AI组(n = 25)和对照组(n = 25) 4组。通过饮食回忆来评估这些饮食干预的依从性。在饮食干预前后评估血糖指数(空腹血糖(FBS)和血红蛋白A1c (HbA1c))、血脂、身体组成、人体测量指数(体重、腰围(WC)和体重指数(BMI))和hs-C反应蛋白(CRP)。采用混合模型回归进行统计分析。结果:与对照组相比,人工智能饲粮显著降低体重(β: -1.02;95% ci: -1.96, -0.07;P = 0.017), FBS (β: -6.42;95% ci: -12.9, -0.06;P = 0.026), HbA1c (β: -0.27;95% ci: -0.55, -0.007;p = 0.028)。IF 5:2显示腰围、BMI、FBS和HbA1c显著降低,而与对照组相比,PMC干预导致FBS和HbA1c显著改善。结论:本研究表明,AI、IF 5:2和PMC饮食均能改善糖尿病前期患者的血糖控制和人体测量指标,其中AI饮食的有益效果最大。这些发现表明抗炎饮食方法可能是糖尿病前期管理的有效策略。证据等级:I级,随机临床试验。试验报名:注册号IRCT20200608047697N2,数据2024-05-16,https://irct.behdasht.gov.ir/trial/76653。
本文章由计算机程序翻译,如有差异,请以英文原文为准。

Effect of intermittent fasting, portfolio-moderate-carbohydrate, and anti-inflammatory diets on cardio-metabolic status in pre-diabetic patients; an open-label randomized clinical trial.

Effect of intermittent fasting, portfolio-moderate-carbohydrate, and anti-inflammatory diets on cardio-metabolic status in pre-diabetic patients; an open-label randomized clinical trial.

Effect of intermittent fasting, portfolio-moderate-carbohydrate, and anti-inflammatory diets on cardio-metabolic status in pre-diabetic patients; an open-label randomized clinical trial.

Effect of intermittent fasting, portfolio-moderate-carbohydrate, and anti-inflammatory diets on cardio-metabolic status in pre-diabetic patients; an open-label randomized clinical trial.

Effect of intermittent fasting, portfolio-moderate-carbohydrate, and anti-inflammatory diets on cardio-metabolic status in pre-diabetic patients; an open-label randomized clinical trial.

Effect of intermittent fasting, portfolio-moderate-carbohydrate, and anti-inflammatory diets on cardio-metabolic status in pre-diabetic patients; an open-label randomized clinical trial.

Effect of intermittent fasting, portfolio-moderate-carbohydrate, and anti-inflammatory diets on cardio-metabolic status in pre-diabetic patients; an open-label randomized clinical trial.

Background: Pre-diabetes is a condition characterized by hyperglycemia that does not meet the cutoff for the diagnosis of diabetes and increases the risk of non-communicable diseases. Choosing an appropriate diet is necessary to prevent the progression of pre-diabetes to diabetes. Therefore, the present study aimed to compare the effects of 3 diets, including intermittent fasting (IF) 5:2, portfolio-moderate-carbohydrate (PMC), and anti-inflammatory (AI) diets, compared to a healthy diet with carbohydrate distribution.

Methods: This open label randomized clinical trial was performed on 98 patients with pre-diabetes that were randomly divided into four intervention groups, including IF 5:2 (n = 24), PMC (n = 24), AI (n = 25), and control group (n = 25). Adherence to these dietary intervention was assessed by dietary recall. Glycemic indices (fasting blood sugar (FBS) and hemoglobin A1c (HbA1c)), lipid profile, body composition, anthropometric indices (weight, waist circumference (WC), and body mass index (BMI)), and hs-C reactive protein (CRP) were assessed before and after dietary intervention. Mixed model regression was used for statistical analysis.

Results: Compared to the control group, the AI diet significantly reduced weight (β: -1.02; 95% CI: -1.96, -0.07; P = 0.017), FBS (β: -6.42; 95% CI: -12.9, -0.06; P = 0.026), and HbA1c (β: -0.27; 95% CI: -0.55, -0.007; P = 0.028). IF 5:2 showed significant reductions in waist circumference, BMI, FBS, and HbA1c, while PMC intervention resulted in significant improvements in FBS and HbA1c compared to the control group.

Conclusions: The study demonstrated that AI, IF 5:2, and PMC diets improved glycemic control and anthropometric indices in pre-diabetic patients, with the AI diet showing the greatest beneficial effects. These findings suggest that anti-inflammatory dietary approaches may be an effective strategy for pre-diabetes management.

Level of evidence: Level I, randomized clinical trial.

Trial registration: Registration number IRCT20200608047697N2, data 2024-05-16, https://irct.behdasht.gov.ir/trial/76653 .

求助全文
通过发布文献求助,成功后即可免费获取论文全文。 去求助
来源期刊
Diabetology & Metabolic Syndrome
Diabetology & Metabolic Syndrome ENDOCRINOLOGY & METABOLISM-
CiteScore
6.20
自引率
0.00%
发文量
170
审稿时长
7.5 months
期刊介绍: Diabetology & Metabolic Syndrome publishes articles on all aspects of the pathophysiology of diabetes and metabolic syndrome. By publishing original material exploring any area of laboratory, animal or clinical research into diabetes and metabolic syndrome, the journal offers a high-visibility forum for new insights and discussions into the issues of importance to the relevant community.
×
引用
GB/T 7714-2015
复制
MLA
复制
APA
复制
导出至
BibTeX EndNote RefMan NoteFirst NoteExpress
×
提示
您的信息不完整,为了账户安全,请先补充。
现在去补充
×
提示
您因"违规操作"
具体请查看互助需知
我知道了
×
提示
确定
请完成安全验证×
copy
已复制链接
快去分享给好友吧!
我知道了
右上角分享
点击右上角分享
0
联系我们:info@booksci.cn Book学术提供免费学术资源搜索服务,方便国内外学者检索中英文文献。致力于提供最便捷和优质的服务体验。 Copyright © 2023 布克学术 All rights reserved.
京ICP备2023020795号-1
ghs 京公网安备 11010802042870号
Book学术文献互助
Book学术文献互助群
群 号:604180095
Book学术官方微信