利用深度学习开发和验证松果体母细胞瘤患者的生存预测模型:一项基于seer的研究。

IF 1.9 Q4 ONCOLOGY
Cancer reports Pub Date : 2025-08-01 DOI:10.1002/cnr2.70303
Xuanzi Li, Shuai Yang, Yingpeng Peng, Xueqiang You, Shunli Peng, Siyang Wang, Dasong Zha, Shuyuan Zhang, Chuntao Deng
{"title":"利用深度学习开发和验证松果体母细胞瘤患者的生存预测模型:一项基于seer的研究。","authors":"Xuanzi Li, Shuai Yang, Yingpeng Peng, Xueqiang You, Shunli Peng, Siyang Wang, Dasong Zha, Shuyuan Zhang, Chuntao Deng","doi":"10.1002/cnr2.70303","DOIUrl":null,"url":null,"abstract":"<p><strong>Purpose: </strong>Pineoblastomas (PBs) are rare central nervous system tumors primarily affecting children and adolescents, with limited data on clinical characteristics and survival outcomes. Prognosis prediction models for this disease are lacking. The purpose of this study was to develop deep learning (DL) models for predicting 3-year survival in patients with pineoblastoma.</p><p><strong>Methods: </strong>Patients with pineoblastomas of all ages were identified from the Surveillance, Epidemiology, and End Results (SEER) database (1975-2019). Deep neural networks (DNN) were trained and tested at a ratio of 7:3 in a 5-fold cross-validated fashion. Multivariate CPH models were constructed for comparison. The primary outcomes were 3-year overall survival (OS) and disease-specific survival (DSS). All the variables were included in the analysis. Receiver operating characteristic (ROC) curve analysis and calibration plots were used to evaluate the model performance.</p><p><strong>Results: </strong>A total of 145 patients were included in this study. The area under the curve (AUC) for the DNN models was 0.92, 0.91, and 0.749 for OS and 0.76 for DSS. The DNN models exhibited good calibration: the OS model (slope = 0.94, intercept = 0.07) and DSS model (slope = 0.81, intercept = 0.20).</p><p><strong>Conclusion: </strong>Our DNN models showed a more accurate prediction of survival outcomes in patients with pineoblastoma than the widely used CPH models. These results indicate the potential of DL algorithms to improve outcome prediction in patients with rare tumors.</p>","PeriodicalId":9440,"journal":{"name":"Cancer reports","volume":"8 8","pages":"e70303"},"PeriodicalIF":1.9000,"publicationDate":"2025-08-01","publicationTypes":"Journal Article","fieldsOfStudy":null,"isOpenAccess":false,"openAccessPdf":"https://www.ncbi.nlm.nih.gov/pmc/articles/PMC12329240/pdf/","citationCount":"0","resultStr":"{\"title\":\"Development and Validation of Survival Prediction Models for Patients With Pineoblastomas Using Deep Learning: A SEER-Based Study.\",\"authors\":\"Xuanzi Li, Shuai Yang, Yingpeng Peng, Xueqiang You, Shunli Peng, Siyang Wang, Dasong Zha, Shuyuan Zhang, Chuntao Deng\",\"doi\":\"10.1002/cnr2.70303\",\"DOIUrl\":null,\"url\":null,\"abstract\":\"<p><strong>Purpose: </strong>Pineoblastomas (PBs) are rare central nervous system tumors primarily affecting children and adolescents, with limited data on clinical characteristics and survival outcomes. Prognosis prediction models for this disease are lacking. The purpose of this study was to develop deep learning (DL) models for predicting 3-year survival in patients with pineoblastoma.</p><p><strong>Methods: </strong>Patients with pineoblastomas of all ages were identified from the Surveillance, Epidemiology, and End Results (SEER) database (1975-2019). Deep neural networks (DNN) were trained and tested at a ratio of 7:3 in a 5-fold cross-validated fashion. Multivariate CPH models were constructed for comparison. The primary outcomes were 3-year overall survival (OS) and disease-specific survival (DSS). All the variables were included in the analysis. Receiver operating characteristic (ROC) curve analysis and calibration plots were used to evaluate the model performance.</p><p><strong>Results: </strong>A total of 145 patients were included in this study. The area under the curve (AUC) for the DNN models was 0.92, 0.91, and 0.749 for OS and 0.76 for DSS. The DNN models exhibited good calibration: the OS model (slope = 0.94, intercept = 0.07) and DSS model (slope = 0.81, intercept = 0.20).</p><p><strong>Conclusion: </strong>Our DNN models showed a more accurate prediction of survival outcomes in patients with pineoblastoma than the widely used CPH models. These results indicate the potential of DL algorithms to improve outcome prediction in patients with rare tumors.</p>\",\"PeriodicalId\":9440,\"journal\":{\"name\":\"Cancer reports\",\"volume\":\"8 8\",\"pages\":\"e70303\"},\"PeriodicalIF\":1.9000,\"publicationDate\":\"2025-08-01\",\"publicationTypes\":\"Journal Article\",\"fieldsOfStudy\":null,\"isOpenAccess\":false,\"openAccessPdf\":\"https://www.ncbi.nlm.nih.gov/pmc/articles/PMC12329240/pdf/\",\"citationCount\":\"0\",\"resultStr\":null,\"platform\":\"Semanticscholar\",\"paperid\":null,\"PeriodicalName\":\"Cancer reports\",\"FirstCategoryId\":\"1085\",\"ListUrlMain\":\"https://doi.org/10.1002/cnr2.70303\",\"RegionNum\":0,\"RegionCategory\":null,\"ArticlePicture\":[],\"TitleCN\":null,\"AbstractTextCN\":null,\"PMCID\":null,\"EPubDate\":\"\",\"PubModel\":\"\",\"JCR\":\"Q4\",\"JCRName\":\"ONCOLOGY\",\"Score\":null,\"Total\":0}","platform":"Semanticscholar","paperid":null,"PeriodicalName":"Cancer reports","FirstCategoryId":"1085","ListUrlMain":"https://doi.org/10.1002/cnr2.70303","RegionNum":0,"RegionCategory":null,"ArticlePicture":[],"TitleCN":null,"AbstractTextCN":null,"PMCID":null,"EPubDate":"","PubModel":"","JCR":"Q4","JCRName":"ONCOLOGY","Score":null,"Total":0}
引用次数: 0

摘要

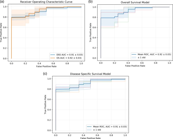
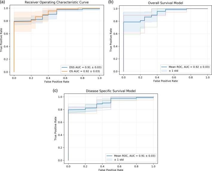
目的:松果母细胞瘤(PBs)是一种罕见的中枢神经系统肿瘤,主要影响儿童和青少年,临床特征和生存结果的数据有限。目前缺乏该病的预后预测模型。本研究的目的是开发用于预测松果体母细胞瘤患者3年生存率的深度学习(DL)模型。方法:从监测、流行病学和最终结果(SEER)数据库(1975-2019)中确定所有年龄的松果体母细胞瘤患者。深度神经网络(DNN)以7:3的比例以5倍交叉验证的方式进行训练和测试。构建多变量CPH模型进行比较。主要结局是3年总生存期(OS)和疾病特异性生存期(DSS)。所有的变量都包含在分析中。采用受试者工作特征(ROC)曲线分析和校正图来评价模型的性能。结果:本研究共纳入145例患者。DNN模型的曲线下面积(AUC) OS为0.92、0.91和0.749,DSS为0.76。DNN模型具有较好的定标性:OS模型(斜率= 0.94,截距= 0.07)和DSS模型(斜率= 0.81,截距= 0.20)。结论:我们的DNN模型比广泛使用的CPH模型更准确地预测了松果体母细胞瘤患者的生存结果。这些结果表明DL算法在改善罕见肿瘤患者预后预测方面的潜力。
本文章由计算机程序翻译,如有差异,请以英文原文为准。

Development and Validation of Survival Prediction Models for Patients With Pineoblastomas Using Deep Learning: A SEER-Based Study.

Development and Validation of Survival Prediction Models for Patients With Pineoblastomas Using Deep Learning: A SEER-Based Study.

Development and Validation of Survival Prediction Models for Patients With Pineoblastomas Using Deep Learning: A SEER-Based Study.

Development and Validation of Survival Prediction Models for Patients With Pineoblastomas Using Deep Learning: A SEER-Based Study.

Development and Validation of Survival Prediction Models for Patients With Pineoblastomas Using Deep Learning: A SEER-Based Study.

Development and Validation of Survival Prediction Models for Patients With Pineoblastomas Using Deep Learning: A SEER-Based Study.

Development and Validation of Survival Prediction Models for Patients With Pineoblastomas Using Deep Learning: A SEER-Based Study.

Purpose: Pineoblastomas (PBs) are rare central nervous system tumors primarily affecting children and adolescents, with limited data on clinical characteristics and survival outcomes. Prognosis prediction models for this disease are lacking. The purpose of this study was to develop deep learning (DL) models for predicting 3-year survival in patients with pineoblastoma.

Methods: Patients with pineoblastomas of all ages were identified from the Surveillance, Epidemiology, and End Results (SEER) database (1975-2019). Deep neural networks (DNN) were trained and tested at a ratio of 7:3 in a 5-fold cross-validated fashion. Multivariate CPH models were constructed for comparison. The primary outcomes were 3-year overall survival (OS) and disease-specific survival (DSS). All the variables were included in the analysis. Receiver operating characteristic (ROC) curve analysis and calibration plots were used to evaluate the model performance.

Results: A total of 145 patients were included in this study. The area under the curve (AUC) for the DNN models was 0.92, 0.91, and 0.749 for OS and 0.76 for DSS. The DNN models exhibited good calibration: the OS model (slope = 0.94, intercept = 0.07) and DSS model (slope = 0.81, intercept = 0.20).

Conclusion: Our DNN models showed a more accurate prediction of survival outcomes in patients with pineoblastoma than the widely used CPH models. These results indicate the potential of DL algorithms to improve outcome prediction in patients with rare tumors.

求助全文
通过发布文献求助,成功后即可免费获取论文全文。 去求助
来源期刊
Cancer reports
Cancer reports Medicine-Oncology
CiteScore
2.70
自引率
5.90%
发文量
160
审稿时长
17 weeks
×
引用
GB/T 7714-2015
复制
MLA
复制
APA
复制
导出至
BibTeX EndNote RefMan NoteFirst NoteExpress
×
提示
您的信息不完整,为了账户安全,请先补充。
现在去补充
×
提示
您因"违规操作"
具体请查看互助需知
我知道了
×
提示
确定
请完成安全验证×
copy
已复制链接
快去分享给好友吧!
我知道了
右上角分享
点击右上角分享
0
联系我们:info@booksci.cn Book学术提供免费学术资源搜索服务,方便国内外学者检索中英文文献。致力于提供最便捷和优质的服务体验。 Copyright © 2023 布克学术 All rights reserved.
京ICP备2023020795号-1
ghs 京公网安备 11010802042870号
Book学术文献互助
Book学术文献互助群
群 号:604180095
Book学术官方微信