1990年至2021年儿童性虐待、亲密伴侣暴力和欺凌受害者导致的全球抑郁症负担:基于全球疾病负担研究的分析

IF 3.6 3区 医学 Q1 PSYCHIATRY
Zhuo Liu, Guo Mao
{"title":"1990年至2021年儿童性虐待、亲密伴侣暴力和欺凌受害者导致的全球抑郁症负担:基于全球疾病负担研究的分析","authors":"Zhuo Liu, Guo Mao","doi":"10.1186/s12991-025-00586-6","DOIUrl":null,"url":null,"abstract":"<p><strong>Background: </strong>Depression is a leading cause of global disability, and among the behavioral risks defined in the Global Burden of Disease (GBD) framework, childhood sexual abuse (CSA), intimate partner violence (IPV) against women, and bullying victimization have emerged as key contributors to depressive disorders. However, long-term, comprehensive assessments of their combined impact on depression burden-by region, age group, and socio-demographic context-are lacking. This study quantifies trends in depression burden attributable specifically to CSA, IPV, and bullying from 1990 to 2021.</p><p><strong>Methods: </strong>We extracted age-standardized rates and disability-adjusted life years (DALYs) attributable to CSA, IPV, and bullying for 204 countries and territories from the GBD 2021 database (1990-2021). We computed estimated annual percentage changes (EAPCs) for each risk factor, applied decomposition analysis to separate demographic vs. exposure effects, conducted frontier analysis to benchmark national performance, and used inequality metrics to assess disparities across Socio-demographic Index (SDI) quintiles.</p><p><strong>Results: </strong>CSA-attributable DALYs remained largely stable or declined slightly (global EAPC of age-standardized DALY rate: - 0.12, 95% CI: - 0.20 to - 0.04), while IPV and bullying-related DALYs increased modestly (IPV EAPC: 0.45, 95% CI: 0.37-0.53; bullying EAPC: 0.88, 95% CI: 0.80-0.96).The largest relative increases were observed in adolescents aged 15-19 for bullying (EAPC 1.25, 95% CI: 1.12-1.38) and in young adults 20-24 for IPV (EAPC 0.78, 95% CI: 0.65-0.91).In 2021, CSA contributed the highest age-standardized DALY rates in low-SDI regions, high-income North America, and Greenland; IPV burden peaked in low-SDI and Central Sub-Saharan African settings (notably Uganda); bullying burden was greatest in high-SDI regions, high-income North America, and Greenland.Together, these three interpersonal risks accounted for 13.12% of global depression DALYs in 2021-bullying 6.12%, IPV 4.94%, CSA 2.65%-a figure we explicitly modelled from GBD attributable fractions.Frontier analysis highlighted Switzerland, Norway, Monaco, and Germany as leaders in minimizing trauma-related depression burden. Decomposition analysis showed that population aging and growth drove most burden increases in middle- to low-SDI regions, while changes in exposure levels explained regional rises in bullying and IPV. Inequality measures confirmed widening gaps between high- and low-SDI settings.</p><p><strong>Conclusions: </strong>Between 1990 and 2021, depression burden attributable to CSA has stabilized or declined, but IPV and bullying burdens have risen-especially among adolescents and in lower-SDI regions. These results underscore the urgency of age- and context-specific violence prevention, child protection, and school-based anti-bullying initiatives to reduce trauma-related depression worldwide. Further research should integrate subnational data and evaluate the effectiveness of targeted interventions.</p>","PeriodicalId":7942,"journal":{"name":"Annals of General Psychiatry","volume":"24 1","pages":"47"},"PeriodicalIF":3.6000,"publicationDate":"2025-08-06","publicationTypes":"Journal Article","fieldsOfStudy":null,"isOpenAccess":false,"openAccessPdf":"https://www.ncbi.nlm.nih.gov/pmc/articles/PMC12329988/pdf/","citationCount":"0","resultStr":"{\"title\":\"The global burden of depression attributable to childhood sexual abuse, intimate partner violence, and bullying victimization from 1990 to 2021: an analysis based on the global burden of disease study.\",\"authors\":\"Zhuo Liu, Guo Mao\",\"doi\":\"10.1186/s12991-025-00586-6\",\"DOIUrl\":null,\"url\":null,\"abstract\":\"<p><strong>Background: </strong>Depression is a leading cause of global disability, and among the behavioral risks defined in the Global Burden of Disease (GBD) framework, childhood sexual abuse (CSA), intimate partner violence (IPV) against women, and bullying victimization have emerged as key contributors to depressive disorders. However, long-term, comprehensive assessments of their combined impact on depression burden-by region, age group, and socio-demographic context-are lacking. This study quantifies trends in depression burden attributable specifically to CSA, IPV, and bullying from 1990 to 2021.</p><p><strong>Methods: </strong>We extracted age-standardized rates and disability-adjusted life years (DALYs) attributable to CSA, IPV, and bullying for 204 countries and territories from the GBD 2021 database (1990-2021). We computed estimated annual percentage changes (EAPCs) for each risk factor, applied decomposition analysis to separate demographic vs. exposure effects, conducted frontier analysis to benchmark national performance, and used inequality metrics to assess disparities across Socio-demographic Index (SDI) quintiles.</p><p><strong>Results: </strong>CSA-attributable DALYs remained largely stable or declined slightly (global EAPC of age-standardized DALY rate: - 0.12, 95% CI: - 0.20 to - 0.04), while IPV and bullying-related DALYs increased modestly (IPV EAPC: 0.45, 95% CI: 0.37-0.53; bullying EAPC: 0.88, 95% CI: 0.80-0.96).The largest relative increases were observed in adolescents aged 15-19 for bullying (EAPC 1.25, 95% CI: 1.12-1.38) and in young adults 20-24 for IPV (EAPC 0.78, 95% CI: 0.65-0.91).In 2021, CSA contributed the highest age-standardized DALY rates in low-SDI regions, high-income North America, and Greenland; IPV burden peaked in low-SDI and Central Sub-Saharan African settings (notably Uganda); bullying burden was greatest in high-SDI regions, high-income North America, and Greenland.Together, these three interpersonal risks accounted for 13.12% of global depression DALYs in 2021-bullying 6.12%, IPV 4.94%, CSA 2.65%-a figure we explicitly modelled from GBD attributable fractions.Frontier analysis highlighted Switzerland, Norway, Monaco, and Germany as leaders in minimizing trauma-related depression burden. Decomposition analysis showed that population aging and growth drove most burden increases in middle- to low-SDI regions, while changes in exposure levels explained regional rises in bullying and IPV. Inequality measures confirmed widening gaps between high- and low-SDI settings.</p><p><strong>Conclusions: </strong>Between 1990 and 2021, depression burden attributable to CSA has stabilized or declined, but IPV and bullying burdens have risen-especially among adolescents and in lower-SDI regions. These results underscore the urgency of age- and context-specific violence prevention, child protection, and school-based anti-bullying initiatives to reduce trauma-related depression worldwide. Further research should integrate subnational data and evaluate the effectiveness of targeted interventions.</p>\",\"PeriodicalId\":7942,\"journal\":{\"name\":\"Annals of General Psychiatry\",\"volume\":\"24 1\",\"pages\":\"47\"},\"PeriodicalIF\":3.6000,\"publicationDate\":\"2025-08-06\",\"publicationTypes\":\"Journal Article\",\"fieldsOfStudy\":null,\"isOpenAccess\":false,\"openAccessPdf\":\"https://www.ncbi.nlm.nih.gov/pmc/articles/PMC12329988/pdf/\",\"citationCount\":\"0\",\"resultStr\":null,\"platform\":\"Semanticscholar\",\"paperid\":null,\"PeriodicalName\":\"Annals of General Psychiatry\",\"FirstCategoryId\":\"3\",\"ListUrlMain\":\"https://doi.org/10.1186/s12991-025-00586-6\",\"RegionNum\":3,\"RegionCategory\":\"医学\",\"ArticlePicture\":[],\"TitleCN\":null,\"AbstractTextCN\":null,\"PMCID\":null,\"EPubDate\":\"\",\"PubModel\":\"\",\"JCR\":\"Q1\",\"JCRName\":\"PSYCHIATRY\",\"Score\":null,\"Total\":0}","platform":"Semanticscholar","paperid":null,"PeriodicalName":"Annals of General Psychiatry","FirstCategoryId":"3","ListUrlMain":"https://doi.org/10.1186/s12991-025-00586-6","RegionNum":3,"RegionCategory":"医学","ArticlePicture":[],"TitleCN":null,"AbstractTextCN":null,"PMCID":null,"EPubDate":"","PubModel":"","JCR":"Q1","JCRName":"PSYCHIATRY","Score":null,"Total":0}
引用次数: 0

摘要

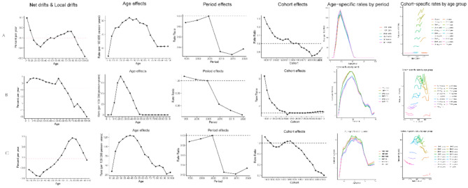
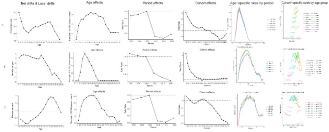
背景:抑郁症是全球致残的主要原因,在全球疾病负担(GBD)框架中定义的行为风险中,儿童期性虐待(CSA)、对妇女的亲密伴侣暴力(IPV)和欺凌受害已成为抑郁症的主要因素。然而,长期、全面地评估它们对抑郁症负担的综合影响——按地区、年龄组和社会人口背景进行评估——是缺乏的。本研究量化了1990年至2021年间由CSA、IPV和欺凌引起的抑郁负担的趋势。方法:我们从GBD 2021数据库(1990-2021)中提取204个国家和地区的年龄标准化率和归因于CSA、IPV和欺凌的伤残调整生命年(DALYs)。我们计算了每个风险因素的估计年百分比变化(EAPCs),应用分解分析来分离人口统计学和暴露效应,对基准国家表现进行前沿分析,并使用不平等指标来评估社会人口指数(SDI)五分位数之间的差异。结果:csa导致的DALYs基本保持稳定或略有下降(年龄标准化DALY率的全球EAPC: - 0.12, 95% CI: - 0.20至- 0.04),而IPV和欺凌相关的DALYs略有增加(IPV EAPC: 0.45, 95% CI: 0.37-0.53;欺凌EAPC: 0.88, 95% CI: 0.80-0.96)。在15-19岁的青少年中,欺凌行为(EAPC 1.25, 95% CI: 1.12-1.38)和20-24岁的年轻人中,IPV (EAPC 0.78, 95% CI: 0.65-0.91)的相对增幅最大。2021年,CSA在低sdi地区、高收入北美和格陵兰岛贡献了最高的年龄标准化DALY率;IPV负担在低sdi和撒哈拉以南非洲中部地区达到峰值(特别是乌干达);高sdi地区、北美高收入地区和格陵兰岛的欺凌负担最大。总的来说,这三种人际风险占了2021年全球抑郁症DALYs的13.12%——欺凌6.12%,IPV 4.94%, CSA 2.65%——我们明确地根据GBD归因分数建立了模型。前沿分析强调,瑞士、挪威、摩纳哥和德国在减少创伤相关抑郁负担方面处于领先地位。分解分析表明,人口老龄化和人口增长是中低sdi地区负担增加的主要原因,而暴露水平的变化解释了欺凌和IPV的区域上升。不平等措施证实了高sdi和低sdi环境之间的差距正在扩大。结论:1990年至2021年间,CSA导致的抑郁负担稳定或下降,但IPV和欺凌负担上升,尤其是在青少年和低sdi地区。这些结果强调了针对特定年龄和情境的暴力预防、儿童保护和基于学校的反欺凌举措的紧迫性,以减少世界范围内与创伤相关的抑郁症。进一步的研究应整合地方数据,并评估有针对性的干预措施的有效性。
本文章由计算机程序翻译,如有差异,请以英文原文为准。

The global burden of depression attributable to childhood sexual abuse, intimate partner violence, and bullying victimization from 1990 to 2021: an analysis based on the global burden of disease study.

The global burden of depression attributable to childhood sexual abuse, intimate partner violence, and bullying victimization from 1990 to 2021: an analysis based on the global burden of disease study.

The global burden of depression attributable to childhood sexual abuse, intimate partner violence, and bullying victimization from 1990 to 2021: an analysis based on the global burden of disease study.

The global burden of depression attributable to childhood sexual abuse, intimate partner violence, and bullying victimization from 1990 to 2021: an analysis based on the global burden of disease study.

The global burden of depression attributable to childhood sexual abuse, intimate partner violence, and bullying victimization from 1990 to 2021: an analysis based on the global burden of disease study.

The global burden of depression attributable to childhood sexual abuse, intimate partner violence, and bullying victimization from 1990 to 2021: an analysis based on the global burden of disease study.

The global burden of depression attributable to childhood sexual abuse, intimate partner violence, and bullying victimization from 1990 to 2021: an analysis based on the global burden of disease study.

Background: Depression is a leading cause of global disability, and among the behavioral risks defined in the Global Burden of Disease (GBD) framework, childhood sexual abuse (CSA), intimate partner violence (IPV) against women, and bullying victimization have emerged as key contributors to depressive disorders. However, long-term, comprehensive assessments of their combined impact on depression burden-by region, age group, and socio-demographic context-are lacking. This study quantifies trends in depression burden attributable specifically to CSA, IPV, and bullying from 1990 to 2021.

Methods: We extracted age-standardized rates and disability-adjusted life years (DALYs) attributable to CSA, IPV, and bullying for 204 countries and territories from the GBD 2021 database (1990-2021). We computed estimated annual percentage changes (EAPCs) for each risk factor, applied decomposition analysis to separate demographic vs. exposure effects, conducted frontier analysis to benchmark national performance, and used inequality metrics to assess disparities across Socio-demographic Index (SDI) quintiles.

Results: CSA-attributable DALYs remained largely stable or declined slightly (global EAPC of age-standardized DALY rate: - 0.12, 95% CI: - 0.20 to - 0.04), while IPV and bullying-related DALYs increased modestly (IPV EAPC: 0.45, 95% CI: 0.37-0.53; bullying EAPC: 0.88, 95% CI: 0.80-0.96).The largest relative increases were observed in adolescents aged 15-19 for bullying (EAPC 1.25, 95% CI: 1.12-1.38) and in young adults 20-24 for IPV (EAPC 0.78, 95% CI: 0.65-0.91).In 2021, CSA contributed the highest age-standardized DALY rates in low-SDI regions, high-income North America, and Greenland; IPV burden peaked in low-SDI and Central Sub-Saharan African settings (notably Uganda); bullying burden was greatest in high-SDI regions, high-income North America, and Greenland.Together, these three interpersonal risks accounted for 13.12% of global depression DALYs in 2021-bullying 6.12%, IPV 4.94%, CSA 2.65%-a figure we explicitly modelled from GBD attributable fractions.Frontier analysis highlighted Switzerland, Norway, Monaco, and Germany as leaders in minimizing trauma-related depression burden. Decomposition analysis showed that population aging and growth drove most burden increases in middle- to low-SDI regions, while changes in exposure levels explained regional rises in bullying and IPV. Inequality measures confirmed widening gaps between high- and low-SDI settings.

Conclusions: Between 1990 and 2021, depression burden attributable to CSA has stabilized or declined, but IPV and bullying burdens have risen-especially among adolescents and in lower-SDI regions. These results underscore the urgency of age- and context-specific violence prevention, child protection, and school-based anti-bullying initiatives to reduce trauma-related depression worldwide. Further research should integrate subnational data and evaluate the effectiveness of targeted interventions.

求助全文
通过发布文献求助,成功后即可免费获取论文全文。 去求助
来源期刊
CiteScore
6.60
自引率
2.70%
发文量
43
审稿时长
>12 weeks
期刊介绍: Annals of General Psychiatry considers manuscripts on all aspects of psychiatry, including neuroscience and psychological medicine. Both basic and clinical neuroscience contributions are encouraged. Annals of General Psychiatry emphasizes a biopsychosocial approach to illness and health and strongly supports and follows the principles of evidence-based medicine. As an open access journal, Annals of General Psychiatry facilitates the worldwide distribution of high quality psychiatry and mental health research. The journal considers submissions on a wide range of topics including, but not limited to, psychopharmacology, forensic psychiatry, psychotic disorders, psychiatric genetics, and mood and anxiety disorders.
×
引用
GB/T 7714-2015
复制
MLA
复制
APA
复制
导出至
BibTeX EndNote RefMan NoteFirst NoteExpress
×
提示
您的信息不完整,为了账户安全,请先补充。
现在去补充
×
提示
您因"违规操作"
具体请查看互助需知
我知道了
×
提示
确定
请完成安全验证×
copy
已复制链接
快去分享给好友吧!
我知道了
右上角分享
点击右上角分享
0
联系我们:info@booksci.cn Book学术提供免费学术资源搜索服务,方便国内外学者检索中英文文献。致力于提供最便捷和优质的服务体验。 Copyright © 2023 布克学术 All rights reserved.
京ICP备2023020795号-1
ghs 京公网安备 11010802042870号
Book学术文献互助
Book学术文献互助群
群 号:604180095
Book学术官方微信