2014-2023年巴西肺癌手术治疗流行病学回顾性分析

IF 2
Arthur Minas Alberti, Lucas Kieling, Pedro Bortoluzzi Escobar da Silva, Fernando Silvestre Azambuja, Luísa Godoy, Franco Piccolotto Concolatto, Gabriele Eckerdt Lech, Airton Tetelbom Stein
{"title":"2014-2023年巴西肺癌手术治疗流行病学回顾性分析","authors":"Arthur Minas Alberti, Lucas Kieling, Pedro Bortoluzzi Escobar da Silva, Fernando Silvestre Azambuja, Luísa Godoy, Franco Piccolotto Concolatto, Gabriele Eckerdt Lech, Airton Tetelbom Stein","doi":"10.1590/S2237-96222025v34e20240427.en","DOIUrl":null,"url":null,"abstract":"<p><strong>Objective: </strong>To analyze the socioeconomic influences on the surgical treatment of lung cancer in Brazil and to provide reflection points to propose more effective strategies for tackling this disease.</p><p><strong>Methods: </strong>Data from 2014 to 2023 were extracted from the Hospital Information System of the Brazilian Unified Health System and the Brazilian Institute of Geography and Statistics. Sex and region of origin of patients who underwent surgical procedures for lung cancer were analyzed. Statistical analyses were performed using GraphPadPrism software version 8.0.1 and R software version 4.4.2.</p><p><strong>Results: </strong>20,805 surgical procedures and 112,118 diagnoses of malignant neoplasms of the bronchi and lungs in Brazil were analyzed between 2014 and 2023. Women accounted for 50.6% of the procedures. Men accounted for 54.7% of the diagnoses. There was no significant difference between sexes in terms of procedures performed or consultations (p-value>0.05). The South region had the highest rate of procedures (20.1/1 million inhabitants/year). The North region had the lowest rate of procedures (3.5/1 million). A 51.6% increase in procedures was identified over the decade, with positive correlations between the Human Development Index (r=0.62; p-value<0.001) and per capita income (r=0.48; p-value 0.010) with procedures.</p><p><strong>Conclusion: </strong>Socioeconomic factors appear to influence access to surgical treatment of lung cancer in Brazil, with significant regional disparities, especially in the North and Northeast regions. The increase in surgical procedures reflects technological advances and public policies, but inequalities in access persist. Investments in infrastructure and equitable policies are essential to address these inequalities.</p>","PeriodicalId":520611,"journal":{"name":"Epidemiologia e servicos de saude : revista do Sistema Unico de Saude do Brasil","volume":"34 ","pages":"e20240427"},"PeriodicalIF":2.0000,"publicationDate":"2025-08-04","publicationTypes":"Journal Article","fieldsOfStudy":null,"isOpenAccess":false,"openAccessPdf":"https://www.ncbi.nlm.nih.gov/pmc/articles/PMC12334236/pdf/","citationCount":"0","resultStr":"{\"title\":\"Epidemiological profile of surgical treatment of lung cancer: retrospective analysis, Brazil, 2014-2023.\",\"authors\":\"Arthur Minas Alberti, Lucas Kieling, Pedro Bortoluzzi Escobar da Silva, Fernando Silvestre Azambuja, Luísa Godoy, Franco Piccolotto Concolatto, Gabriele Eckerdt Lech, Airton Tetelbom Stein\",\"doi\":\"10.1590/S2237-96222025v34e20240427.en\",\"DOIUrl\":null,\"url\":null,\"abstract\":\"<p><strong>Objective: </strong>To analyze the socioeconomic influences on the surgical treatment of lung cancer in Brazil and to provide reflection points to propose more effective strategies for tackling this disease.</p><p><strong>Methods: </strong>Data from 2014 to 2023 were extracted from the Hospital Information System of the Brazilian Unified Health System and the Brazilian Institute of Geography and Statistics. Sex and region of origin of patients who underwent surgical procedures for lung cancer were analyzed. Statistical analyses were performed using GraphPadPrism software version 8.0.1 and R software version 4.4.2.</p><p><strong>Results: </strong>20,805 surgical procedures and 112,118 diagnoses of malignant neoplasms of the bronchi and lungs in Brazil were analyzed between 2014 and 2023. Women accounted for 50.6% of the procedures. Men accounted for 54.7% of the diagnoses. There was no significant difference between sexes in terms of procedures performed or consultations (p-value>0.05). The South region had the highest rate of procedures (20.1/1 million inhabitants/year). The North region had the lowest rate of procedures (3.5/1 million). A 51.6% increase in procedures was identified over the decade, with positive correlations between the Human Development Index (r=0.62; p-value<0.001) and per capita income (r=0.48; p-value 0.010) with procedures.</p><p><strong>Conclusion: </strong>Socioeconomic factors appear to influence access to surgical treatment of lung cancer in Brazil, with significant regional disparities, especially in the North and Northeast regions. The increase in surgical procedures reflects technological advances and public policies, but inequalities in access persist. Investments in infrastructure and equitable policies are essential to address these inequalities.</p>\",\"PeriodicalId\":520611,\"journal\":{\"name\":\"Epidemiologia e servicos de saude : revista do Sistema Unico de Saude do Brasil\",\"volume\":\"34 \",\"pages\":\"e20240427\"},\"PeriodicalIF\":2.0000,\"publicationDate\":\"2025-08-04\",\"publicationTypes\":\"Journal Article\",\"fieldsOfStudy\":null,\"isOpenAccess\":false,\"openAccessPdf\":\"https://www.ncbi.nlm.nih.gov/pmc/articles/PMC12334236/pdf/\",\"citationCount\":\"0\",\"resultStr\":null,\"platform\":\"Semanticscholar\",\"paperid\":null,\"PeriodicalName\":\"Epidemiologia e servicos de saude : revista do Sistema Unico de Saude do Brasil\",\"FirstCategoryId\":\"1085\",\"ListUrlMain\":\"https://doi.org/10.1590/S2237-96222025v34e20240427.en\",\"RegionNum\":0,\"RegionCategory\":null,\"ArticlePicture\":[],\"TitleCN\":null,\"AbstractTextCN\":null,\"PMCID\":null,\"EPubDate\":\"2025/1/1 0:00:00\",\"PubModel\":\"eCollection\",\"JCR\":\"\",\"JCRName\":\"\",\"Score\":null,\"Total\":0}","platform":"Semanticscholar","paperid":null,"PeriodicalName":"Epidemiologia e servicos de saude : revista do Sistema Unico de Saude do Brasil","FirstCategoryId":"1085","ListUrlMain":"https://doi.org/10.1590/S2237-96222025v34e20240427.en","RegionNum":0,"RegionCategory":null,"ArticlePicture":[],"TitleCN":null,"AbstractTextCN":null,"PMCID":null,"EPubDate":"2025/1/1 0:00:00","PubModel":"eCollection","JCR":"","JCRName":"","Score":null,"Total":0}
引用次数: 0

摘要

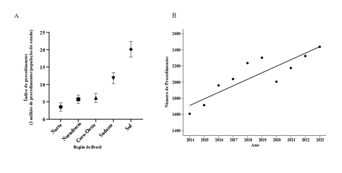
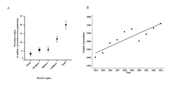
目的:分析巴西社会经济因素对肺癌手术治疗的影响,为提出更有效的治疗策略提供反思点。方法:2014 - 2023年数据提取自巴西统一卫生系统医院信息系统和巴西地理与统计研究所。对肺癌手术患者的性别和原产地区进行了分析。采用GraphPadPrism软件8.0.1版本和R软件4.4.2版本进行统计分析。结果:2014年至2023年,巴西分析了20,805例外科手术和112,118例支气管和肺部恶性肿瘤的诊断。女性占50.6%。男性占确诊病例的54.7%。在进行的手术或咨询方面,性别之间没有显着差异(p值bb0 0.05)。南部地区的手术率最高(2010 / 10万居民/年)。北部地区的手术率最低(350 / 100万)。在过去十年中,手术数量增加了51.6%,人类发展指数(r=0.62;结论:社会经济因素似乎会影响巴西肺癌手术治疗的可及性,但存在显著的地区差异,特别是在北部和东北部地区。外科手术的增加反映了技术进步和公共政策,但获得手术的不平等仍然存在。基础设施投资和公平政策对于解决这些不平等问题至关重要。
本文章由计算机程序翻译,如有差异,请以英文原文为准。

Epidemiological profile of surgical treatment of lung cancer: retrospective analysis, Brazil, 2014-2023.

Epidemiological profile of surgical treatment of lung cancer: retrospective analysis, Brazil, 2014-2023.

Epidemiological profile of surgical treatment of lung cancer: retrospective analysis, Brazil, 2014-2023.

Epidemiological profile of surgical treatment of lung cancer: retrospective analysis, Brazil, 2014-2023.

Objective: To analyze the socioeconomic influences on the surgical treatment of lung cancer in Brazil and to provide reflection points to propose more effective strategies for tackling this disease.

Methods: Data from 2014 to 2023 were extracted from the Hospital Information System of the Brazilian Unified Health System and the Brazilian Institute of Geography and Statistics. Sex and region of origin of patients who underwent surgical procedures for lung cancer were analyzed. Statistical analyses were performed using GraphPadPrism software version 8.0.1 and R software version 4.4.2.

Results: 20,805 surgical procedures and 112,118 diagnoses of malignant neoplasms of the bronchi and lungs in Brazil were analyzed between 2014 and 2023. Women accounted for 50.6% of the procedures. Men accounted for 54.7% of the diagnoses. There was no significant difference between sexes in terms of procedures performed or consultations (p-value>0.05). The South region had the highest rate of procedures (20.1/1 million inhabitants/year). The North region had the lowest rate of procedures (3.5/1 million). A 51.6% increase in procedures was identified over the decade, with positive correlations between the Human Development Index (r=0.62; p-value<0.001) and per capita income (r=0.48; p-value 0.010) with procedures.

Conclusion: Socioeconomic factors appear to influence access to surgical treatment of lung cancer in Brazil, with significant regional disparities, especially in the North and Northeast regions. The increase in surgical procedures reflects technological advances and public policies, but inequalities in access persist. Investments in infrastructure and equitable policies are essential to address these inequalities.

求助全文
通过发布文献求助,成功后即可免费获取论文全文。 去求助
来源期刊
自引率
0.00%
发文量
0
×
引用
GB/T 7714-2015
复制
MLA
复制
APA
复制
导出至
BibTeX EndNote RefMan NoteFirst NoteExpress
×
提示
您的信息不完整,为了账户安全,请先补充。
现在去补充
×
提示
您因"违规操作"
具体请查看互助需知
我知道了
×
提示
确定
请完成安全验证×
copy
已复制链接
快去分享给好友吧!
我知道了
右上角分享
点击右上角分享
0
联系我们:info@booksci.cn Book学术提供免费学术资源搜索服务,方便国内外学者检索中英文文献。致力于提供最便捷和优质的服务体验。 Copyright © 2023 布克学术 All rights reserved.
京ICP备2023020795号-1
ghs 京公网安备 11010802042870号
Book学术文献互助
Book学术文献互助群
群 号:604180095
Book学术官方微信