基于身体残疾个体身体活动和健康的代谢综合征预测模型的建立。

Physical activity and nutrition Pub Date : 2025-06-01 Epub Date: 2025-06-30 DOI:10.20463/pan.2025.0013
Minjun Kim, Soo Hyun Park, Inhwan Lee
{"title":"基于身体残疾个体身体活动和健康的代谢综合征预测模型的建立。","authors":"Minjun Kim, Soo Hyun Park, Inhwan Lee","doi":"10.20463/pan.2025.0013","DOIUrl":null,"url":null,"abstract":"<p><strong>Purpose: </strong>The objective of this study was to develop a predictive model to estimate the number of risk factors associated with metabolic syndrome based on physical activity and fitness in individuals with physical disabilities.</p><p><strong>Methods: </strong>A total of 134 adults aged ≥ 30 years with severe physical disabilities diagnosed over 1 year were enrolled in this study. Standardized procedures were used to collect anthropometric data, blood samples, and physical fitness measurements. Participants were randomly assigned to the derivation (70%) and validation (30%) sets. The derivation set was subjected to a stepwise multiple regression analysis to develop a predictive equation. Criteria and cross-validity were assessed using Bland-Altman plots, and the model's ability to identify metabolic syndrome was evaluated using receiver operating characteristic (ROC) analysis.</p><p><strong>Results: </strong>The final model included neck circumference, the number of medications, leisure-time physical activity, and muscular strength, with an R² value of 0.397 and a standard error of the estimate of 1.019. The predicted values closely match the measured values for both sets. ROC analysis indicated good to excellent classification performance (derivation set: area under the curve [AUC], 0.867; 95% confidence interval [CI], 0.796-0.937; p < 0.001; validation set: AUC, 0.765; 95% CI, 0.617-0.913; p = 0.009).</p><p><strong>Conclusion: </strong>A regression model based on physical activity and fitness could provide a simple, non-invasive approach to estimating the risk of metabolic syndrome in individuals with physical disabilities.</p>","PeriodicalId":74444,"journal":{"name":"Physical activity and nutrition","volume":"29 2","pages":"41-48"},"PeriodicalIF":0.0000,"publicationDate":"2025-06-01","publicationTypes":"Journal Article","fieldsOfStudy":null,"isOpenAccess":false,"openAccessPdf":"https://www.ncbi.nlm.nih.gov/pmc/articles/PMC12325872/pdf/","citationCount":"0","resultStr":"{\"title\":\"Development of a prediction model for metabolic syndrome based on physical activity and fitness in individuals with physical disabilities.\",\"authors\":\"Minjun Kim, Soo Hyun Park, Inhwan Lee\",\"doi\":\"10.20463/pan.2025.0013\",\"DOIUrl\":null,\"url\":null,\"abstract\":\"<p><strong>Purpose: </strong>The objective of this study was to develop a predictive model to estimate the number of risk factors associated with metabolic syndrome based on physical activity and fitness in individuals with physical disabilities.</p><p><strong>Methods: </strong>A total of 134 adults aged ≥ 30 years with severe physical disabilities diagnosed over 1 year were enrolled in this study. Standardized procedures were used to collect anthropometric data, blood samples, and physical fitness measurements. Participants were randomly assigned to the derivation (70%) and validation (30%) sets. The derivation set was subjected to a stepwise multiple regression analysis to develop a predictive equation. Criteria and cross-validity were assessed using Bland-Altman plots, and the model's ability to identify metabolic syndrome was evaluated using receiver operating characteristic (ROC) analysis.</p><p><strong>Results: </strong>The final model included neck circumference, the number of medications, leisure-time physical activity, and muscular strength, with an R² value of 0.397 and a standard error of the estimate of 1.019. The predicted values closely match the measured values for both sets. ROC analysis indicated good to excellent classification performance (derivation set: area under the curve [AUC], 0.867; 95% confidence interval [CI], 0.796-0.937; p < 0.001; validation set: AUC, 0.765; 95% CI, 0.617-0.913; p = 0.009).</p><p><strong>Conclusion: </strong>A regression model based on physical activity and fitness could provide a simple, non-invasive approach to estimating the risk of metabolic syndrome in individuals with physical disabilities.</p>\",\"PeriodicalId\":74444,\"journal\":{\"name\":\"Physical activity and nutrition\",\"volume\":\"29 2\",\"pages\":\"41-48\"},\"PeriodicalIF\":0.0000,\"publicationDate\":\"2025-06-01\",\"publicationTypes\":\"Journal Article\",\"fieldsOfStudy\":null,\"isOpenAccess\":false,\"openAccessPdf\":\"https://www.ncbi.nlm.nih.gov/pmc/articles/PMC12325872/pdf/\",\"citationCount\":\"0\",\"resultStr\":null,\"platform\":\"Semanticscholar\",\"paperid\":null,\"PeriodicalName\":\"Physical activity and nutrition\",\"FirstCategoryId\":\"1085\",\"ListUrlMain\":\"https://doi.org/10.20463/pan.2025.0013\",\"RegionNum\":0,\"RegionCategory\":null,\"ArticlePicture\":[],\"TitleCN\":null,\"AbstractTextCN\":null,\"PMCID\":null,\"EPubDate\":\"2025/6/30 0:00:00\",\"PubModel\":\"Epub\",\"JCR\":\"\",\"JCRName\":\"\",\"Score\":null,\"Total\":0}","platform":"Semanticscholar","paperid":null,"PeriodicalName":"Physical activity and nutrition","FirstCategoryId":"1085","ListUrlMain":"https://doi.org/10.20463/pan.2025.0013","RegionNum":0,"RegionCategory":null,"ArticlePicture":[],"TitleCN":null,"AbstractTextCN":null,"PMCID":null,"EPubDate":"2025/6/30 0:00:00","PubModel":"Epub","JCR":"","JCRName":"","Score":null,"Total":0}
引用次数: 0

摘要

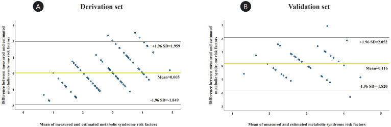
目的:本研究的目的是建立一个预测模型,根据身体残疾个体的身体活动和健康状况来估计与代谢综合征相关的危险因素的数量。方法:本研究共纳入134例年龄≥30岁且诊断为1年以上严重肢体残疾的成年人。采用标准化程序收集人体测量数据、血液样本和身体健康测量。参与者被随机分配到推导组(70%)和验证组(30%)。对推导集进行逐步多元回归分析,得到预测方程。使用Bland-Altman图评估标准和交叉效度,使用受试者工作特征(ROC)分析评估模型识别代谢综合征的能力。结果:最终模型包括颈围、服药次数、闲暇时间体力活动和肌肉力量,R²值为0.397,估计标准误差为1.019。预测值与两组的实测值非常吻合。ROC分析显示分类性能良好至优异(推导集:曲线下面积[AUC], 0.867;95%置信区间[CI], 0.796-0.937;P < 0.001;验证集:AUC, 0.765;95% ci, 0.617-0.913;P = 0.009)。结论:基于身体活动和健康的回归模型可以提供一种简单、无创的方法来估计身体残疾个体的代谢综合征风险。
本文章由计算机程序翻译,如有差异,请以英文原文为准。

Development of a prediction model for metabolic syndrome based on physical activity and fitness in individuals with physical disabilities.

Development of a prediction model for metabolic syndrome based on physical activity and fitness in individuals with physical disabilities.

Development of a prediction model for metabolic syndrome based on physical activity and fitness in individuals with physical disabilities.

Development of a prediction model for metabolic syndrome based on physical activity and fitness in individuals with physical disabilities.

Development of a prediction model for metabolic syndrome based on physical activity and fitness in individuals with physical disabilities.

Purpose: The objective of this study was to develop a predictive model to estimate the number of risk factors associated with metabolic syndrome based on physical activity and fitness in individuals with physical disabilities.

Methods: A total of 134 adults aged ≥ 30 years with severe physical disabilities diagnosed over 1 year were enrolled in this study. Standardized procedures were used to collect anthropometric data, blood samples, and physical fitness measurements. Participants were randomly assigned to the derivation (70%) and validation (30%) sets. The derivation set was subjected to a stepwise multiple regression analysis to develop a predictive equation. Criteria and cross-validity were assessed using Bland-Altman plots, and the model's ability to identify metabolic syndrome was evaluated using receiver operating characteristic (ROC) analysis.

Results: The final model included neck circumference, the number of medications, leisure-time physical activity, and muscular strength, with an R² value of 0.397 and a standard error of the estimate of 1.019. The predicted values closely match the measured values for both sets. ROC analysis indicated good to excellent classification performance (derivation set: area under the curve [AUC], 0.867; 95% confidence interval [CI], 0.796-0.937; p < 0.001; validation set: AUC, 0.765; 95% CI, 0.617-0.913; p = 0.009).

Conclusion: A regression model based on physical activity and fitness could provide a simple, non-invasive approach to estimating the risk of metabolic syndrome in individuals with physical disabilities.

求助全文
通过发布文献求助,成功后即可免费获取论文全文。 去求助
来源期刊
CiteScore
2.00
自引率
0.00%
发文量
0
×
引用
GB/T 7714-2015
复制
MLA
复制
APA
复制
导出至
BibTeX EndNote RefMan NoteFirst NoteExpress
×
提示
您的信息不完整,为了账户安全,请先补充。
现在去补充
×
提示
您因"违规操作"
具体请查看互助需知
我知道了
×
提示
确定
请完成安全验证×
copy
已复制链接
快去分享给好友吧!
我知道了
右上角分享
点击右上角分享
0
联系我们:info@booksci.cn Book学术提供免费学术资源搜索服务,方便国内外学者检索中英文文献。致力于提供最便捷和优质的服务体验。 Copyright © 2023 布克学术 All rights reserved.
京ICP备2023020795号-1
ghs 京公网安备 11010802042870号
Book学术文献互助
Book学术文献互助群
群 号:604180095
Book学术官方微信