响应正耦合和负耦合的高阶全局耦合振荡网络的集体行为。

IF 3
Frontiers in network physiology Pub Date : 2025-07-22 eCollection Date: 2025-01-01 DOI:10.3389/fnetp.2025.1582297
Lixin Yang, Mengjiao Li, Jun Jiang
{"title":"响应正耦合和负耦合的高阶全局耦合振荡网络的集体行为。","authors":"Lixin Yang, Mengjiao Li, Jun Jiang","doi":"10.3389/fnetp.2025.1582297","DOIUrl":null,"url":null,"abstract":"<p><p>Collective behavior is among the most fascinating complex dynamics in coupled networks with applications in various fields. Recent works have shown that higher-order interactions widely exist in complex systems. Both positive couplings among nodes, as the majority of studies have assumed, and negative couplings are very common in real-world systems, like physiological networks. Positive coupling (excitatory coupling) promotes synchronization and drives excitatory synaptic transmission between neurons. Meanwhile, negative coupling (inhibitory coupling) inhibits synchronization and sustains inhibitory synaptic transmission between neurons. Since high-order coupling patterns and different coupling patterns strongly affect the synchronous performance of complex systems, this article develops a globally coupled higher-order oscillatory system model that incorporates both positive and negative couplings. It is shown that, in the case of positive couplings, a second-order interaction has a negligible impact on the synchronization capability of a network within a certain range. In contrast, a higher-order network with purely negative couplings exhibits asynchronous states for any values of the second-order interactions. However, the synchronous region gradually shrinks with the increase of the negative coupling in the case of mixed couplings. This indicates a prominent role of coupling patterns on the onset of globally higher-order network synchronization.</p>","PeriodicalId":73092,"journal":{"name":"Frontiers in network physiology","volume":"5 ","pages":"1582297"},"PeriodicalIF":3.0000,"publicationDate":"2025-07-22","publicationTypes":"Journal Article","fieldsOfStudy":null,"isOpenAccess":false,"openAccessPdf":"https://www.ncbi.nlm.nih.gov/pmc/articles/PMC12321779/pdf/","citationCount":"0","resultStr":"{\"title\":\"Collective behavior of higher-order globally coupled oscillatory networks in response to positive and negative couplings.\",\"authors\":\"Lixin Yang, Mengjiao Li, Jun Jiang\",\"doi\":\"10.3389/fnetp.2025.1582297\",\"DOIUrl\":null,\"url\":null,\"abstract\":\"<p><p>Collective behavior is among the most fascinating complex dynamics in coupled networks with applications in various fields. Recent works have shown that higher-order interactions widely exist in complex systems. Both positive couplings among nodes, as the majority of studies have assumed, and negative couplings are very common in real-world systems, like physiological networks. Positive coupling (excitatory coupling) promotes synchronization and drives excitatory synaptic transmission between neurons. Meanwhile, negative coupling (inhibitory coupling) inhibits synchronization and sustains inhibitory synaptic transmission between neurons. Since high-order coupling patterns and different coupling patterns strongly affect the synchronous performance of complex systems, this article develops a globally coupled higher-order oscillatory system model that incorporates both positive and negative couplings. It is shown that, in the case of positive couplings, a second-order interaction has a negligible impact on the synchronization capability of a network within a certain range. In contrast, a higher-order network with purely negative couplings exhibits asynchronous states for any values of the second-order interactions. However, the synchronous region gradually shrinks with the increase of the negative coupling in the case of mixed couplings. This indicates a prominent role of coupling patterns on the onset of globally higher-order network synchronization.</p>\",\"PeriodicalId\":73092,\"journal\":{\"name\":\"Frontiers in network physiology\",\"volume\":\"5 \",\"pages\":\"1582297\"},\"PeriodicalIF\":3.0000,\"publicationDate\":\"2025-07-22\",\"publicationTypes\":\"Journal Article\",\"fieldsOfStudy\":null,\"isOpenAccess\":false,\"openAccessPdf\":\"https://www.ncbi.nlm.nih.gov/pmc/articles/PMC12321779/pdf/\",\"citationCount\":\"0\",\"resultStr\":null,\"platform\":\"Semanticscholar\",\"paperid\":null,\"PeriodicalName\":\"Frontiers in network physiology\",\"FirstCategoryId\":\"1085\",\"ListUrlMain\":\"https://doi.org/10.3389/fnetp.2025.1582297\",\"RegionNum\":0,\"RegionCategory\":null,\"ArticlePicture\":[],\"TitleCN\":null,\"AbstractTextCN\":null,\"PMCID\":null,\"EPubDate\":\"2025/1/1 0:00:00\",\"PubModel\":\"eCollection\",\"JCR\":\"\",\"JCRName\":\"\",\"Score\":null,\"Total\":0}","platform":"Semanticscholar","paperid":null,"PeriodicalName":"Frontiers in network physiology","FirstCategoryId":"1085","ListUrlMain":"https://doi.org/10.3389/fnetp.2025.1582297","RegionNum":0,"RegionCategory":null,"ArticlePicture":[],"TitleCN":null,"AbstractTextCN":null,"PMCID":null,"EPubDate":"2025/1/1 0:00:00","PubModel":"eCollection","JCR":"","JCRName":"","Score":null,"Total":0}
引用次数: 0

摘要

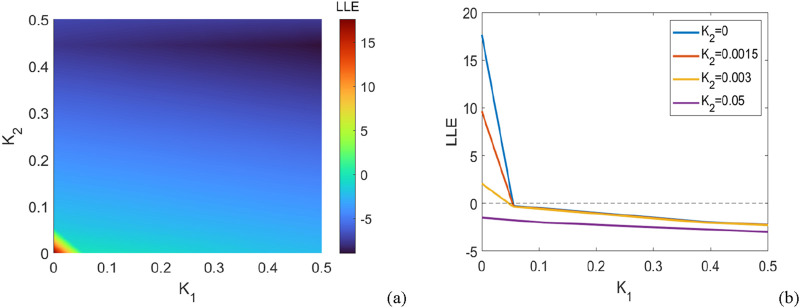
在耦合网络中,集体行为是最令人着迷的复杂动力学之一,在各个领域都有应用。最近的研究表明,高阶相互作用广泛存在于复杂系统中。正如大多数研究所假设的那样,节点之间的正耦合和负耦合在现实世界系统(如生理网络)中都很常见。正耦联(兴奋性耦联)促进神经元间的同步并驱动兴奋性突触传递。同时,负偶联(抑制性偶联)抑制同步,维持神经元间的抑制性突触传递。由于高阶耦合模式和不同耦合模式强烈影响复杂系统的同步性能,本文开发了一个包含正耦合和负耦合的全局耦合高阶振荡系统模型。结果表明,在正耦合的情况下,在一定范围内,二阶相互作用对网络同步能力的影响可以忽略不计。相反,具有纯负耦合的高阶网络对于二阶相互作用的任何值都表现出异步状态。而在混合耦合情况下,同步区随着负耦合的增大而逐渐缩小。这表明耦合模式对全局高阶网络同步的开始起着重要作用。
本文章由计算机程序翻译,如有差异,请以英文原文为准。

Collective behavior of higher-order globally coupled oscillatory networks in response to positive and negative couplings.

Collective behavior of higher-order globally coupled oscillatory networks in response to positive and negative couplings.

Collective behavior of higher-order globally coupled oscillatory networks in response to positive and negative couplings.

Collective behavior of higher-order globally coupled oscillatory networks in response to positive and negative couplings.

Collective behavior is among the most fascinating complex dynamics in coupled networks with applications in various fields. Recent works have shown that higher-order interactions widely exist in complex systems. Both positive couplings among nodes, as the majority of studies have assumed, and negative couplings are very common in real-world systems, like physiological networks. Positive coupling (excitatory coupling) promotes synchronization and drives excitatory synaptic transmission between neurons. Meanwhile, negative coupling (inhibitory coupling) inhibits synchronization and sustains inhibitory synaptic transmission between neurons. Since high-order coupling patterns and different coupling patterns strongly affect the synchronous performance of complex systems, this article develops a globally coupled higher-order oscillatory system model that incorporates both positive and negative couplings. It is shown that, in the case of positive couplings, a second-order interaction has a negligible impact on the synchronization capability of a network within a certain range. In contrast, a higher-order network with purely negative couplings exhibits asynchronous states for any values of the second-order interactions. However, the synchronous region gradually shrinks with the increase of the negative coupling in the case of mixed couplings. This indicates a prominent role of coupling patterns on the onset of globally higher-order network synchronization.

求助全文
通过发布文献求助,成功后即可免费获取论文全文。 去求助
来源期刊
CiteScore
2.70
自引率
0.00%
发文量
0
×
引用
GB/T 7714-2015
复制
MLA
复制
APA
复制
导出至
BibTeX EndNote RefMan NoteFirst NoteExpress
×
提示
您的信息不完整,为了账户安全,请先补充。
现在去补充
×
提示
您因"违规操作"
具体请查看互助需知
我知道了
×
提示
确定
请完成安全验证×
copy
已复制链接
快去分享给好友吧!
我知道了
右上角分享
点击右上角分享
0
联系我们:info@booksci.cn Book学术提供免费学术资源搜索服务,方便国内外学者检索中英文文献。致力于提供最便捷和优质的服务体验。 Copyright © 2023 布克学术 All rights reserved.
京ICP备2023020795号-1
ghs 京公网安备 11010802042870号
Book学术文献互助
Book学术文献互助群
群 号:604180095
Book学术官方微信