早期引入静脉注射羟考酮后快速滴注口服羟考酮治疗门诊癌症疼痛opioid-naïve患者:“羟考酮桥接法”。

IF 0.9 4区 医学 Q4 MEDICINE, RESEARCH & EXPERIMENTAL
Kazuhiro Hiramatsu, Masahide Fukaya, Taro Aoba, Atsuki Arimoto, Hiromasa Yamashita, Yu Nakashima
{"title":"早期引入静脉注射羟考酮后快速滴注口服羟考酮治疗门诊癌症疼痛opioid-naïve患者:“羟考酮桥接法”。","authors":"Kazuhiro Hiramatsu, Masahide Fukaya, Taro Aoba, Atsuki Arimoto, Hiromasa Yamashita, Yu Nakashima","doi":"10.18999/nagjms.87.2.272","DOIUrl":null,"url":null,"abstract":"<p><p>Following opioid therapy initiation in opioid-naïve outpatients, cancer-related pain does not improve immediately, and pain relief is maintained after many days. This prospective study aimed to evaluate the feasibility of quick opioid introduction with injectable oxycodone for outpatient cancer-related pain and bridge to oral persistent-release tablet. Patients with Numerical Rating Scale of ≥4 for cancer-related pain were included. Injectable oxycodone 2 mg was evaluated for efficacy and safety after 30 min of administration; in case of lower efficacy, injectable oxycodone was administered for another 30 min. For patients exhibiting improvement 30 and 60 min after injectable oxycodone administration, oral persistent-release tablet 5 and 10 mg were initiated, respectively. If side effects are acceptable, oral persistent-release tablet twice daily was prescribed. The final evaluation for its efficacy and safety was conducted at revisit. Overall satisfaction (1-5 points, higher points are better) was evaluated. The study included 23 patients (26 symptoms). The Numerical Rating Scale was improved from 6.7 ± 1.9 to 2.5 ± 2.5 and 1.3 ± 1.3 at 30 min after injectable oxycodone and revisit, respectively. Five patients with six symptoms receiving 60 min of injectable oxycodone had Numerical Rating Scale of 3.7 ± 1.7 and 1.7 ± 1.2 at revisit. No patient had Grade 3 or higher side effect during injectable oxycodone and at revisit. The overall satisfaction was 4.4 ± 0.8. In conclusion, early injectable oxycodone introduction for opioid-naïve outpatients can be feasible and useful as a quick bridge to oral persistent-release tablet.</p>","PeriodicalId":49014,"journal":{"name":"Nagoya Journal of Medical Science","volume":"87 2","pages":"272-284"},"PeriodicalIF":0.9000,"publicationDate":"2025-05-01","publicationTypes":"Journal Article","fieldsOfStudy":null,"isOpenAccess":false,"openAccessPdf":"https://www.ncbi.nlm.nih.gov/pmc/articles/PMC12320340/pdf/","citationCount":"0","resultStr":"{\"title\":\"Early introduction of intravenous oxycodone injection followed by quick titration to oral oxycodone in outpatient cancer pain treatment in opioid-naïve patients: \\\"oxycodone bridge method\\\".\",\"authors\":\"Kazuhiro Hiramatsu, Masahide Fukaya, Taro Aoba, Atsuki Arimoto, Hiromasa Yamashita, Yu Nakashima\",\"doi\":\"10.18999/nagjms.87.2.272\",\"DOIUrl\":null,\"url\":null,\"abstract\":\"<p><p>Following opioid therapy initiation in opioid-naïve outpatients, cancer-related pain does not improve immediately, and pain relief is maintained after many days. This prospective study aimed to evaluate the feasibility of quick opioid introduction with injectable oxycodone for outpatient cancer-related pain and bridge to oral persistent-release tablet. Patients with Numerical Rating Scale of ≥4 for cancer-related pain were included. Injectable oxycodone 2 mg was evaluated for efficacy and safety after 30 min of administration; in case of lower efficacy, injectable oxycodone was administered for another 30 min. For patients exhibiting improvement 30 and 60 min after injectable oxycodone administration, oral persistent-release tablet 5 and 10 mg were initiated, respectively. If side effects are acceptable, oral persistent-release tablet twice daily was prescribed. The final evaluation for its efficacy and safety was conducted at revisit. Overall satisfaction (1-5 points, higher points are better) was evaluated. The study included 23 patients (26 symptoms). The Numerical Rating Scale was improved from 6.7 ± 1.9 to 2.5 ± 2.5 and 1.3 ± 1.3 at 30 min after injectable oxycodone and revisit, respectively. Five patients with six symptoms receiving 60 min of injectable oxycodone had Numerical Rating Scale of 3.7 ± 1.7 and 1.7 ± 1.2 at revisit. No patient had Grade 3 or higher side effect during injectable oxycodone and at revisit. The overall satisfaction was 4.4 ± 0.8. In conclusion, early injectable oxycodone introduction for opioid-naïve outpatients can be feasible and useful as a quick bridge to oral persistent-release tablet.</p>\",\"PeriodicalId\":49014,\"journal\":{\"name\":\"Nagoya Journal of Medical Science\",\"volume\":\"87 2\",\"pages\":\"272-284\"},\"PeriodicalIF\":0.9000,\"publicationDate\":\"2025-05-01\",\"publicationTypes\":\"Journal Article\",\"fieldsOfStudy\":null,\"isOpenAccess\":false,\"openAccessPdf\":\"https://www.ncbi.nlm.nih.gov/pmc/articles/PMC12320340/pdf/\",\"citationCount\":\"0\",\"resultStr\":null,\"platform\":\"Semanticscholar\",\"paperid\":null,\"PeriodicalName\":\"Nagoya Journal of Medical Science\",\"FirstCategoryId\":\"3\",\"ListUrlMain\":\"https://doi.org/10.18999/nagjms.87.2.272\",\"RegionNum\":4,\"RegionCategory\":\"医学\",\"ArticlePicture\":[],\"TitleCN\":null,\"AbstractTextCN\":null,\"PMCID\":null,\"EPubDate\":\"\",\"PubModel\":\"\",\"JCR\":\"Q4\",\"JCRName\":\"MEDICINE, RESEARCH & EXPERIMENTAL\",\"Score\":null,\"Total\":0}","platform":"Semanticscholar","paperid":null,"PeriodicalName":"Nagoya Journal of Medical Science","FirstCategoryId":"3","ListUrlMain":"https://doi.org/10.18999/nagjms.87.2.272","RegionNum":4,"RegionCategory":"医学","ArticlePicture":[],"TitleCN":null,"AbstractTextCN":null,"PMCID":null,"EPubDate":"","PubModel":"","JCR":"Q4","JCRName":"MEDICINE, RESEARCH & EXPERIMENTAL","Score":null,"Total":0}
引用次数: 0

摘要

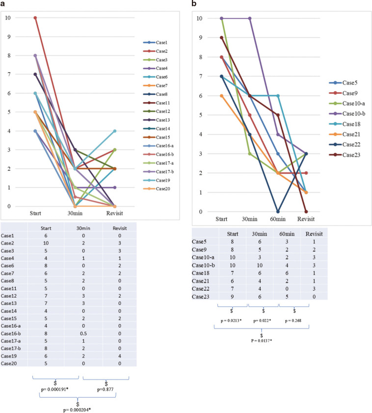
在opioid-naïve门诊患者开始阿片类药物治疗后,癌症相关疼痛并没有立即改善,并且疼痛缓解维持了许多天。这项前瞻性研究旨在评估可注射羟考酮快速引入阿片类药物治疗门诊癌症相关疼痛和过渡到口服持久缓释片的可行性。癌症相关疼痛的数值评定量表≥4分的患者纳入研究。注射羟考酮2mg,给药30min后评价其疗效和安全性;如果疗效较低,再注射羟考酮30分钟。对于注射羟考酮后30分钟和60分钟出现改善的患者,分别开始口服5和10毫克的持久缓释片。如果副作用是可以接受的,则给予口服缓释片,每日两次。在复诊时对其有效性和安全性进行了最终评价。总体满意度(1-5分,越高越好)。该研究包括23例患者(26种症状)。注射羟考酮后30 min,数值评定量表由6.7±1.9提高到2.5±2.5和1.3±1.3。5例有6种症状的患者注射羟考酮60min,回访时评分分别为3.7±1.7和1.7±1.2。在注射羟考酮期间和复诊时,没有患者出现3级或以上的副作用。总体满意度为4.4±0.8。结论:opioid-naïve门诊患者早期引入注射羟考酮作为口服缓释片的快速桥梁是可行和有用的。
本文章由计算机程序翻译,如有差异,请以英文原文为准。

Early introduction of intravenous oxycodone injection followed by quick titration to oral oxycodone in outpatient cancer pain treatment in opioid-naïve patients: "oxycodone bridge method".

Early introduction of intravenous oxycodone injection followed by quick titration to oral oxycodone in outpatient cancer pain treatment in opioid-naïve patients: "oxycodone bridge method".

Early introduction of intravenous oxycodone injection followed by quick titration to oral oxycodone in outpatient cancer pain treatment in opioid-naïve patients: "oxycodone bridge method".

Early introduction of intravenous oxycodone injection followed by quick titration to oral oxycodone in outpatient cancer pain treatment in opioid-naïve patients: "oxycodone bridge method".

Following opioid therapy initiation in opioid-naïve outpatients, cancer-related pain does not improve immediately, and pain relief is maintained after many days. This prospective study aimed to evaluate the feasibility of quick opioid introduction with injectable oxycodone for outpatient cancer-related pain and bridge to oral persistent-release tablet. Patients with Numerical Rating Scale of ≥4 for cancer-related pain were included. Injectable oxycodone 2 mg was evaluated for efficacy and safety after 30 min of administration; in case of lower efficacy, injectable oxycodone was administered for another 30 min. For patients exhibiting improvement 30 and 60 min after injectable oxycodone administration, oral persistent-release tablet 5 and 10 mg were initiated, respectively. If side effects are acceptable, oral persistent-release tablet twice daily was prescribed. The final evaluation for its efficacy and safety was conducted at revisit. Overall satisfaction (1-5 points, higher points are better) was evaluated. The study included 23 patients (26 symptoms). The Numerical Rating Scale was improved from 6.7 ± 1.9 to 2.5 ± 2.5 and 1.3 ± 1.3 at 30 min after injectable oxycodone and revisit, respectively. Five patients with six symptoms receiving 60 min of injectable oxycodone had Numerical Rating Scale of 3.7 ± 1.7 and 1.7 ± 1.2 at revisit. No patient had Grade 3 or higher side effect during injectable oxycodone and at revisit. The overall satisfaction was 4.4 ± 0.8. In conclusion, early injectable oxycodone introduction for opioid-naïve outpatients can be feasible and useful as a quick bridge to oral persistent-release tablet.

求助全文
通过发布文献求助,成功后即可免费获取论文全文。 去求助
来源期刊
Nagoya Journal of Medical Science
Nagoya Journal of Medical Science MEDICINE, RESEARCH & EXPERIMENTAL-
CiteScore
1.30
自引率
0.00%
发文量
65
审稿时长
>12 weeks
期刊介绍: The Journal publishes original papers in the areas of medical science and its related fields. Reviews, symposium reports, short communications, notes, case reports, hypothesis papers, medical image at a glance, video and announcements are also accepted. Manuscripts should be in English. It is recommended that an English check of the manuscript by a competent and knowledgeable native speaker be completed before submission.
×
引用
GB/T 7714-2015
复制
MLA
复制
APA
复制
导出至
BibTeX EndNote RefMan NoteFirst NoteExpress
×
提示
您的信息不完整,为了账户安全,请先补充。
现在去补充
×
提示
您因"违规操作"
具体请查看互助需知
我知道了
×
提示
确定
请完成安全验证×
copy
已复制链接
快去分享给好友吧!
我知道了
右上角分享
点击右上角分享
0
联系我们:info@booksci.cn Book学术提供免费学术资源搜索服务,方便国内外学者检索中英文文献。致力于提供最便捷和优质的服务体验。 Copyright © 2023 布克学术 All rights reserved.
京ICP备2023020795号-1
ghs 京公网安备 11010802042870号
Book学术文献互助
Book学术文献互助群
群 号:604180095
Book学术官方微信