香烟烟雾提取物诱导的支气管上皮细胞坏死下垂引起线粒体DNA释放和炎症。

IF 3.1 3区 医学 Q2 RESPIRATORY SYSTEM
Kenji Mizumura, Ryosuke Ozoe, Yosuke Nemoto, Naho Furusho, Yusuke Kurosawa, Yutaka Kozu, Takashi Oki, Shuichiro Maruoka, Yasuhiro Gon
{"title":"香烟烟雾提取物诱导的支气管上皮细胞坏死下垂引起线粒体DNA释放和炎症。","authors":"Kenji Mizumura, Ryosuke Ozoe, Yosuke Nemoto, Naho Furusho, Yusuke Kurosawa, Yutaka Kozu, Takashi Oki, Shuichiro Maruoka, Yasuhiro Gon","doi":"10.2147/COPD.S523610","DOIUrl":null,"url":null,"abstract":"<p><strong>Purpose: </strong>Chronic obstructive pulmonary disease (COPD) is characterized by airway inflammation and structural changes in the lungs, including emphysema. Cigarette smoke exposure induces mitochondrial damage, necroptosis-mediated pulmonary epithelial cell death, and emphysematous changes. However, the association between these events and airway inflammation remains unclear. Here, we focused on mitochondrial DNA (mtDNA) as a second messenger linking mitochondrial damage to airway inflammation, aiming to elucidate the mechanisms underlying extracellular mtDNA release and its role in airway inflammation.</p><p><strong>Methods: </strong>Human bronchial epithelial BEAS-2B cells were exposed to cigarette smoke extract and the release of mtDNA into the cytoplasm and extracellular space was examined. Real-time polymerase chain reaction was used to measure mtDNA levels. To examine the involvement of necroptosis, a necroptosis inhibitor (Nec-1) and mitochondria-targeted antioxidant (MitoQ) were used. To evaluate the inflammatory response induced by extracellular mtDNA, we quantified the levels of specific cytokines-interleukin (IL)-6 and IL-8-in the cell culture supernatants after mtDNA transfection, as these mediators are widely accepted as key markers of inflammation in bronchial epithelial cells.</p><p><strong>Results: </strong>Cigarette smoke extract treatment induced the translocation of mtDNA from the mitochondria to the cytoplasm in BEAS-2B cells, followed by its extracellular release. Nec-1 and MitoQ inhibited the extracellular release of mtDNA without affecting its cytoplasmic translocation. Introducing mtDNA into BEAS-2B cells markedly elevated IL-6 and IL-8 levels, indicating that mtDNA may play a pro-inflammatory role.</p><p><strong>Conclusion: </strong>Necroptosis facilitated the release of extracellular mtDNA after cigarette smoke extract exposure, establishing a connection between mitochondrial damage and airway inflammation. mtDNA acted as a pro-inflammatory mediator by inducing cytokine production in pulmonary epithelial cells. These findings suggest that targeting necroptosis could offer a novel therapeutic strategy for COPD by addressing both airway inflammation and structural lung damage.</p>","PeriodicalId":48818,"journal":{"name":"International Journal of Chronic Obstructive Pulmonary Disease","volume":"20 ","pages":"2685-2695"},"PeriodicalIF":3.1000,"publicationDate":"2025-08-01","publicationTypes":"Journal Article","fieldsOfStudy":null,"isOpenAccess":false,"openAccessPdf":"https://www.ncbi.nlm.nih.gov/pmc/articles/PMC12323784/pdf/","citationCount":"0","resultStr":"{\"title\":\"Cigarette Smoke Extract-Induced Necroptosis Causes Mitochondrial DNA Release and Inflammation of Bronchial Epithelial Cells.\",\"authors\":\"Kenji Mizumura, Ryosuke Ozoe, Yosuke Nemoto, Naho Furusho, Yusuke Kurosawa, Yutaka Kozu, Takashi Oki, Shuichiro Maruoka, Yasuhiro Gon\",\"doi\":\"10.2147/COPD.S523610\",\"DOIUrl\":null,\"url\":null,\"abstract\":\"<p><strong>Purpose: </strong>Chronic obstructive pulmonary disease (COPD) is characterized by airway inflammation and structural changes in the lungs, including emphysema. Cigarette smoke exposure induces mitochondrial damage, necroptosis-mediated pulmonary epithelial cell death, and emphysematous changes. However, the association between these events and airway inflammation remains unclear. Here, we focused on mitochondrial DNA (mtDNA) as a second messenger linking mitochondrial damage to airway inflammation, aiming to elucidate the mechanisms underlying extracellular mtDNA release and its role in airway inflammation.</p><p><strong>Methods: </strong>Human bronchial epithelial BEAS-2B cells were exposed to cigarette smoke extract and the release of mtDNA into the cytoplasm and extracellular space was examined. Real-time polymerase chain reaction was used to measure mtDNA levels. To examine the involvement of necroptosis, a necroptosis inhibitor (Nec-1) and mitochondria-targeted antioxidant (MitoQ) were used. To evaluate the inflammatory response induced by extracellular mtDNA, we quantified the levels of specific cytokines-interleukin (IL)-6 and IL-8-in the cell culture supernatants after mtDNA transfection, as these mediators are widely accepted as key markers of inflammation in bronchial epithelial cells.</p><p><strong>Results: </strong>Cigarette smoke extract treatment induced the translocation of mtDNA from the mitochondria to the cytoplasm in BEAS-2B cells, followed by its extracellular release. Nec-1 and MitoQ inhibited the extracellular release of mtDNA without affecting its cytoplasmic translocation. Introducing mtDNA into BEAS-2B cells markedly elevated IL-6 and IL-8 levels, indicating that mtDNA may play a pro-inflammatory role.</p><p><strong>Conclusion: </strong>Necroptosis facilitated the release of extracellular mtDNA after cigarette smoke extract exposure, establishing a connection between mitochondrial damage and airway inflammation. mtDNA acted as a pro-inflammatory mediator by inducing cytokine production in pulmonary epithelial cells. These findings suggest that targeting necroptosis could offer a novel therapeutic strategy for COPD by addressing both airway inflammation and structural lung damage.</p>\",\"PeriodicalId\":48818,\"journal\":{\"name\":\"International Journal of Chronic Obstructive Pulmonary Disease\",\"volume\":\"20 \",\"pages\":\"2685-2695\"},\"PeriodicalIF\":3.1000,\"publicationDate\":\"2025-08-01\",\"publicationTypes\":\"Journal Article\",\"fieldsOfStudy\":null,\"isOpenAccess\":false,\"openAccessPdf\":\"https://www.ncbi.nlm.nih.gov/pmc/articles/PMC12323784/pdf/\",\"citationCount\":\"0\",\"resultStr\":null,\"platform\":\"Semanticscholar\",\"paperid\":null,\"PeriodicalName\":\"International Journal of Chronic Obstructive Pulmonary Disease\",\"FirstCategoryId\":\"3\",\"ListUrlMain\":\"https://doi.org/10.2147/COPD.S523610\",\"RegionNum\":3,\"RegionCategory\":\"医学\",\"ArticlePicture\":[],\"TitleCN\":null,\"AbstractTextCN\":null,\"PMCID\":null,\"EPubDate\":\"2025/1/1 0:00:00\",\"PubModel\":\"eCollection\",\"JCR\":\"Q2\",\"JCRName\":\"RESPIRATORY SYSTEM\",\"Score\":null,\"Total\":0}","platform":"Semanticscholar","paperid":null,"PeriodicalName":"International Journal of Chronic Obstructive Pulmonary Disease","FirstCategoryId":"3","ListUrlMain":"https://doi.org/10.2147/COPD.S523610","RegionNum":3,"RegionCategory":"医学","ArticlePicture":[],"TitleCN":null,"AbstractTextCN":null,"PMCID":null,"EPubDate":"2025/1/1 0:00:00","PubModel":"eCollection","JCR":"Q2","JCRName":"RESPIRATORY SYSTEM","Score":null,"Total":0}
引用次数: 0

摘要

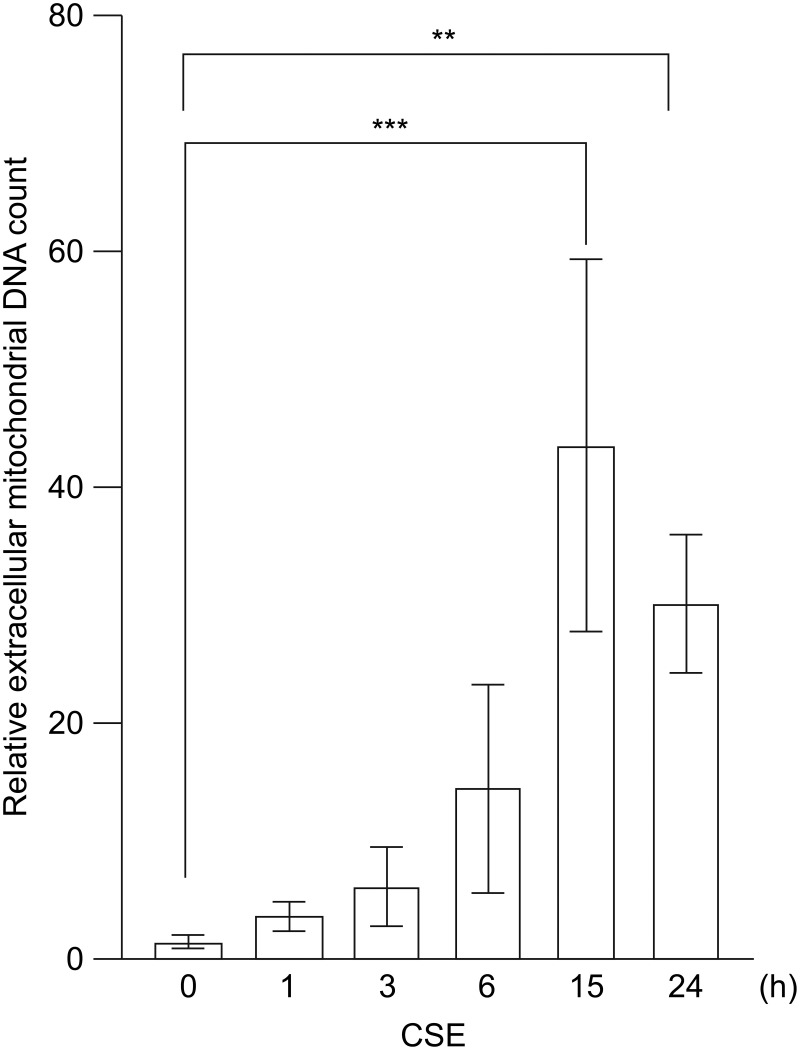
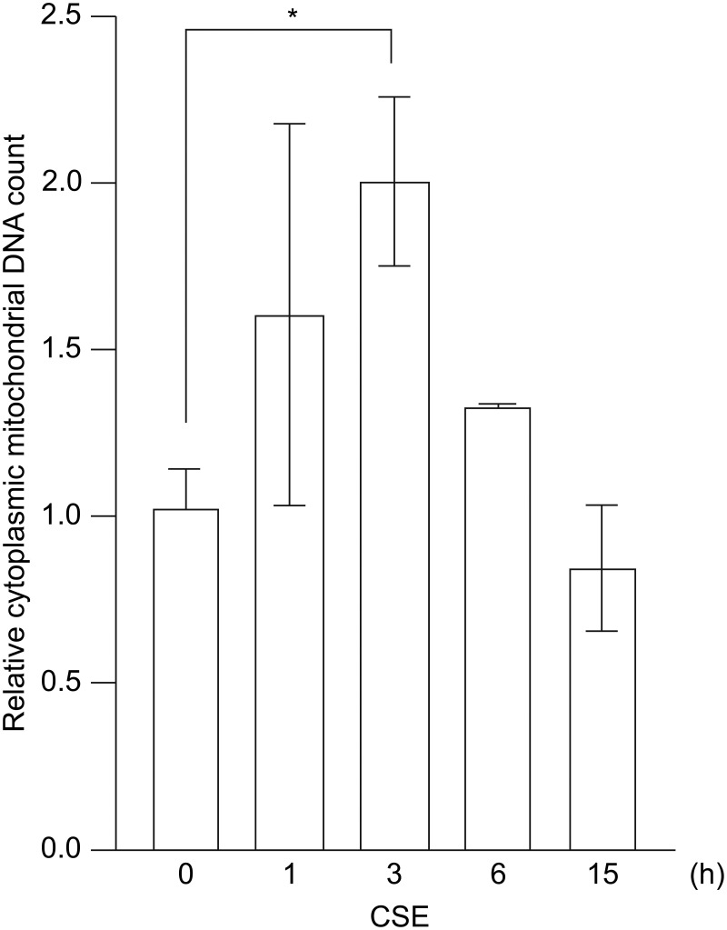
目的:慢性阻塞性肺疾病(COPD)以气道炎症和肺结构改变为特征,包括肺气肿。香烟烟雾暴露可诱导线粒体损伤、坏死介导的肺上皮细胞死亡和肺气肿变化。然而,这些事件与气道炎症之间的关系尚不清楚。在这里,我们关注线粒体DNA (mtDNA)作为连接线粒体损伤和气道炎症的第二信使,旨在阐明细胞外mtDNA释放的机制及其在气道炎症中的作用。方法:将人支气管上皮细胞BEAS-2B细胞暴露于香烟烟雾提取物中,观察mtDNA向细胞质和细胞外间隙的释放情况。实时聚合酶链反应测定mtDNA水平。为了检查坏死性上睑下垂的参与,使用坏死性上睑下垂抑制剂(Nec-1)和线粒体靶向抗氧化剂(MitoQ)。为了评估细胞外mtDNA诱导的炎症反应,我们量化了转染mtDNA后细胞培养上清中特定细胞因子-白细胞介素(IL)-6和IL-8的水平,因为这些介质被广泛认为是支气管上皮细胞炎症的关键标志物。结果:香烟烟雾提取物诱导BEAS-2B细胞mtDNA从线粒体转移到细胞质,并在细胞外释放。Nec-1和MitoQ抑制mtDNA的胞外释放,但不影响其细胞质易位。将mtDNA引入BEAS-2B细胞可显著提高IL-6和IL-8水平,表明mtDNA可能具有促炎作用。结论:香烟烟雾提取物暴露后,坏死性上睑下垂促进了细胞外mtDNA的释放,建立了线粒体损伤与气道炎症之间的联系。mtDNA通过诱导肺上皮细胞产生细胞因子而发挥促炎介质的作用。这些发现表明,通过解决气道炎症和结构性肺损伤,靶向坏死性上睑下垂可能为COPD提供一种新的治疗策略。
本文章由计算机程序翻译,如有差异,请以英文原文为准。

Cigarette Smoke Extract-Induced Necroptosis Causes Mitochondrial DNA Release and Inflammation of Bronchial Epithelial Cells.

Cigarette Smoke Extract-Induced Necroptosis Causes Mitochondrial DNA Release and Inflammation of Bronchial Epithelial Cells.

Cigarette Smoke Extract-Induced Necroptosis Causes Mitochondrial DNA Release and Inflammation of Bronchial Epithelial Cells.

Cigarette Smoke Extract-Induced Necroptosis Causes Mitochondrial DNA Release and Inflammation of Bronchial Epithelial Cells.

Purpose: Chronic obstructive pulmonary disease (COPD) is characterized by airway inflammation and structural changes in the lungs, including emphysema. Cigarette smoke exposure induces mitochondrial damage, necroptosis-mediated pulmonary epithelial cell death, and emphysematous changes. However, the association between these events and airway inflammation remains unclear. Here, we focused on mitochondrial DNA (mtDNA) as a second messenger linking mitochondrial damage to airway inflammation, aiming to elucidate the mechanisms underlying extracellular mtDNA release and its role in airway inflammation.

Methods: Human bronchial epithelial BEAS-2B cells were exposed to cigarette smoke extract and the release of mtDNA into the cytoplasm and extracellular space was examined. Real-time polymerase chain reaction was used to measure mtDNA levels. To examine the involvement of necroptosis, a necroptosis inhibitor (Nec-1) and mitochondria-targeted antioxidant (MitoQ) were used. To evaluate the inflammatory response induced by extracellular mtDNA, we quantified the levels of specific cytokines-interleukin (IL)-6 and IL-8-in the cell culture supernatants after mtDNA transfection, as these mediators are widely accepted as key markers of inflammation in bronchial epithelial cells.

Results: Cigarette smoke extract treatment induced the translocation of mtDNA from the mitochondria to the cytoplasm in BEAS-2B cells, followed by its extracellular release. Nec-1 and MitoQ inhibited the extracellular release of mtDNA without affecting its cytoplasmic translocation. Introducing mtDNA into BEAS-2B cells markedly elevated IL-6 and IL-8 levels, indicating that mtDNA may play a pro-inflammatory role.

Conclusion: Necroptosis facilitated the release of extracellular mtDNA after cigarette smoke extract exposure, establishing a connection between mitochondrial damage and airway inflammation. mtDNA acted as a pro-inflammatory mediator by inducing cytokine production in pulmonary epithelial cells. These findings suggest that targeting necroptosis could offer a novel therapeutic strategy for COPD by addressing both airway inflammation and structural lung damage.

求助全文
通过发布文献求助,成功后即可免费获取论文全文。 去求助
来源期刊
CiteScore
4.80
自引率
10.70%
发文量
372
审稿时长
16 weeks
期刊介绍: An international, peer-reviewed journal of therapeutics and pharmacology focusing on concise rapid reporting of clinical studies and reviews in COPD. Special focus will be given to the pathophysiological processes underlying the disease, intervention programs, patient focused education, and self management protocols. This journal is directed at specialists and healthcare professionals
×
引用
GB/T 7714-2015
复制
MLA
复制
APA
复制
导出至
BibTeX EndNote RefMan NoteFirst NoteExpress
×
提示
您的信息不完整,为了账户安全,请先补充。
现在去补充
×
提示
您因"违规操作"
具体请查看互助需知
我知道了
×
提示
确定
请完成安全验证×
copy
已复制链接
快去分享给好友吧!
我知道了
右上角分享
点击右上角分享
0
联系我们:info@booksci.cn Book学术提供免费学术资源搜索服务,方便国内外学者检索中英文文献。致力于提供最便捷和优质的服务体验。 Copyright © 2023 布克学术 All rights reserved.
京ICP备2023020795号-1
ghs 京公网安备 11010802042870号
Book学术文献互助
Book学术文献互助群
群 号:604180095
Book学术官方微信