白细胞诱导和长时间保存对冷藏全血凝血作用的体外研究。

IF 1.6 4区 医学 Q3 HEMATOLOGY
Vox Sanguinis Pub Date : 2025-09-01 Epub Date: 2025-08-05 DOI:10.1111/vox.70075
Sanna Susila, Teemu Silver, Tuukka Helin, Timo Jama, Jouni Lauronen, Lotta Joutsi-Korhonen, Minna Ilmakunnas
{"title":"白细胞诱导和长时间保存对冷藏全血凝血作用的体外研究。","authors":"Sanna Susila, Teemu Silver, Tuukka Helin, Timo Jama, Jouni Lauronen, Lotta Joutsi-Korhonen, Minna Ilmakunnas","doi":"10.1111/vox.70075","DOIUrl":null,"url":null,"abstract":"<p><strong>Background and objectives: </strong>Cold-stored whole blood (CSWB) for haemodynamically unstable bleeding patients is especially convenient when platelets are otherwise unavailable and simple logistics are favoured, as in prehospital situations. Storage times exceeding the currently common 21 days would be beneficial in situations where normal blood processing and distribution is disturbed. To better understand extended-storage CSWB haemostatic properties, we studied leukoreduced CSWB (LR-CSWB) and non-leukoreduced CSWB (non-LR-CSWB) for 5 weeks of cold storage.</p><p><strong>Materials and methods: </strong>Non-LR-CSWB was donated by seven donors and refrigerated for 5 weeks. Eight units of 20-day-old LR-CSWB returned from clinical rotation unused were stored for an additional 2 weeks. Previously published results were used for early-storage LR-CSWB data. Blood counts, coagulation assays, multiple electrode aggregometry, thrombin generation, rotational thromboelastometry and sonorheometry were analysed.</p><p><strong>Results: </strong>Regardless of leukoreduction, markedly reduced platelet aggregation and increasing FXIII levels as a sign of platelet activation were seen during storage. Coagulation factors generally decreased and clotting times increased during storage, but endogenous thrombin potential remained normal at 5 weeks in both groups. Viscoelastic assays displayed conflicting results later during storage, with extremely low clot stiffness in sonorheometry concomitantly with apparently adequate clotting in thromboelastometry.</p><p><strong>Conclusion: </strong>Most haemostatic changes in LR-CSWB and non-LR-CSWB occur within the first 2 weeks of storage. Little difference remains between LR-CSWB and non-LR-CSWB aged 5 weeks. Differences in viscoelastic properties suggest that clot strength may be weaker than thought already in 14-day-old CSWB regardless of leukoreduction.</p>","PeriodicalId":23631,"journal":{"name":"Vox Sanguinis","volume":" ","pages":"881-891"},"PeriodicalIF":1.6000,"publicationDate":"2025-09-01","publicationTypes":"Journal Article","fieldsOfStudy":null,"isOpenAccess":false,"openAccessPdf":"https://www.ncbi.nlm.nih.gov/pmc/articles/PMC12422834/pdf/","citationCount":"0","resultStr":"{\"title\":\"The effect of leukoreduction and prolonged storage on coagulation in cold-stored whole blood: An in vitro study.\",\"authors\":\"Sanna Susila, Teemu Silver, Tuukka Helin, Timo Jama, Jouni Lauronen, Lotta Joutsi-Korhonen, Minna Ilmakunnas\",\"doi\":\"10.1111/vox.70075\",\"DOIUrl\":null,\"url\":null,\"abstract\":\"<p><strong>Background and objectives: </strong>Cold-stored whole blood (CSWB) for haemodynamically unstable bleeding patients is especially convenient when platelets are otherwise unavailable and simple logistics are favoured, as in prehospital situations. Storage times exceeding the currently common 21 days would be beneficial in situations where normal blood processing and distribution is disturbed. To better understand extended-storage CSWB haemostatic properties, we studied leukoreduced CSWB (LR-CSWB) and non-leukoreduced CSWB (non-LR-CSWB) for 5 weeks of cold storage.</p><p><strong>Materials and methods: </strong>Non-LR-CSWB was donated by seven donors and refrigerated for 5 weeks. Eight units of 20-day-old LR-CSWB returned from clinical rotation unused were stored for an additional 2 weeks. Previously published results were used for early-storage LR-CSWB data. Blood counts, coagulation assays, multiple electrode aggregometry, thrombin generation, rotational thromboelastometry and sonorheometry were analysed.</p><p><strong>Results: </strong>Regardless of leukoreduction, markedly reduced platelet aggregation and increasing FXIII levels as a sign of platelet activation were seen during storage. Coagulation factors generally decreased and clotting times increased during storage, but endogenous thrombin potential remained normal at 5 weeks in both groups. Viscoelastic assays displayed conflicting results later during storage, with extremely low clot stiffness in sonorheometry concomitantly with apparently adequate clotting in thromboelastometry.</p><p><strong>Conclusion: </strong>Most haemostatic changes in LR-CSWB and non-LR-CSWB occur within the first 2 weeks of storage. Little difference remains between LR-CSWB and non-LR-CSWB aged 5 weeks. Differences in viscoelastic properties suggest that clot strength may be weaker than thought already in 14-day-old CSWB regardless of leukoreduction.</p>\",\"PeriodicalId\":23631,\"journal\":{\"name\":\"Vox Sanguinis\",\"volume\":\" \",\"pages\":\"881-891\"},\"PeriodicalIF\":1.6000,\"publicationDate\":\"2025-09-01\",\"publicationTypes\":\"Journal Article\",\"fieldsOfStudy\":null,\"isOpenAccess\":false,\"openAccessPdf\":\"https://www.ncbi.nlm.nih.gov/pmc/articles/PMC12422834/pdf/\",\"citationCount\":\"0\",\"resultStr\":null,\"platform\":\"Semanticscholar\",\"paperid\":null,\"PeriodicalName\":\"Vox Sanguinis\",\"FirstCategoryId\":\"3\",\"ListUrlMain\":\"https://doi.org/10.1111/vox.70075\",\"RegionNum\":4,\"RegionCategory\":\"医学\",\"ArticlePicture\":[],\"TitleCN\":null,\"AbstractTextCN\":null,\"PMCID\":null,\"EPubDate\":\"2025/8/5 0:00:00\",\"PubModel\":\"Epub\",\"JCR\":\"Q3\",\"JCRName\":\"HEMATOLOGY\",\"Score\":null,\"Total\":0}","platform":"Semanticscholar","paperid":null,"PeriodicalName":"Vox Sanguinis","FirstCategoryId":"3","ListUrlMain":"https://doi.org/10.1111/vox.70075","RegionNum":4,"RegionCategory":"医学","ArticlePicture":[],"TitleCN":null,"AbstractTextCN":null,"PMCID":null,"EPubDate":"2025/8/5 0:00:00","PubModel":"Epub","JCR":"Q3","JCRName":"HEMATOLOGY","Score":null,"Total":0}
引用次数: 0

摘要

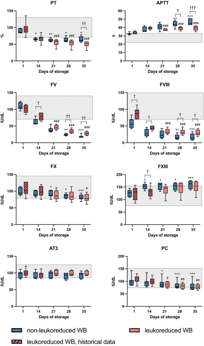
背景和目的:冷库全血(CSWB)对于血流动力学不稳定的出血患者尤其方便,因为在院前情况下,血小板不可用,而且简单的物流是有利的。在正常血液处理和分配受到干扰的情况下,储存时间超过目前常见的21天将是有益的。为了更好地了解延长储存CSWB的止血特性,我们研究了白细胞诱导的CSWB (LR-CSWB)和非白细胞诱导的CSWB (non-LR-CSWB)冷藏5周。材料与方法:7名供体捐献非lr - cswb,冷冻5周。8个单位的20日龄LR-CSWB从临床轮转中返回,未使用再储存2周。先前发表的结果用于早期存储的LR-CSWB数据。对血细胞计数、凝血试验、多电极聚集、凝血酶生成、旋转血栓弹性测定和超声流变学进行了分析。结果:无论白细胞减少与否,在储存过程中,血小板聚集明显减少,FXIII水平升高,这是血小板活化的标志。贮藏期间凝血因子普遍降低,凝血次数增加,但两组在5周时内源性凝血酶电位保持正常。粘弹性试验在储存过程中显示出相互矛盾的结果,在超声测量中具有极低的凝块刚度,同时在血栓弹性测量中具有明显足够的凝块。结论:低剂量cswb和非低剂量cswb的止血变化主要发生在储存的前2周。5周龄LR-CSWB与非LR-CSWB差异不大。粘弹性特性的差异表明,在14天龄的CSWB中,凝块强度可能比想象的要弱,无论白细胞是否减少。
本文章由计算机程序翻译,如有差异,请以英文原文为准。

The effect of leukoreduction and prolonged storage on coagulation in cold-stored whole blood: An in vitro study.

The effect of leukoreduction and prolonged storage on coagulation in cold-stored whole blood: An in vitro study.

The effect of leukoreduction and prolonged storage on coagulation in cold-stored whole blood: An in vitro study.

The effect of leukoreduction and prolonged storage on coagulation in cold-stored whole blood: An in vitro study.

Background and objectives: Cold-stored whole blood (CSWB) for haemodynamically unstable bleeding patients is especially convenient when platelets are otherwise unavailable and simple logistics are favoured, as in prehospital situations. Storage times exceeding the currently common 21 days would be beneficial in situations where normal blood processing and distribution is disturbed. To better understand extended-storage CSWB haemostatic properties, we studied leukoreduced CSWB (LR-CSWB) and non-leukoreduced CSWB (non-LR-CSWB) for 5 weeks of cold storage.

Materials and methods: Non-LR-CSWB was donated by seven donors and refrigerated for 5 weeks. Eight units of 20-day-old LR-CSWB returned from clinical rotation unused were stored for an additional 2 weeks. Previously published results were used for early-storage LR-CSWB data. Blood counts, coagulation assays, multiple electrode aggregometry, thrombin generation, rotational thromboelastometry and sonorheometry were analysed.

Results: Regardless of leukoreduction, markedly reduced platelet aggregation and increasing FXIII levels as a sign of platelet activation were seen during storage. Coagulation factors generally decreased and clotting times increased during storage, but endogenous thrombin potential remained normal at 5 weeks in both groups. Viscoelastic assays displayed conflicting results later during storage, with extremely low clot stiffness in sonorheometry concomitantly with apparently adequate clotting in thromboelastometry.

Conclusion: Most haemostatic changes in LR-CSWB and non-LR-CSWB occur within the first 2 weeks of storage. Little difference remains between LR-CSWB and non-LR-CSWB aged 5 weeks. Differences in viscoelastic properties suggest that clot strength may be weaker than thought already in 14-day-old CSWB regardless of leukoreduction.

求助全文
通过发布文献求助,成功后即可免费获取论文全文。 去求助
来源期刊
Vox Sanguinis
Vox Sanguinis 医学-血液学
CiteScore
4.40
自引率
11.10%
发文量
156
审稿时长
6-12 weeks
期刊介绍: Vox Sanguinis reports on important, novel developments in transfusion medicine. Original papers, reviews and international fora are published on all aspects of blood transfusion and tissue transplantation, comprising five main sections: 1) Transfusion - Transmitted Disease and its Prevention: Identification and epidemiology of infectious agents transmissible by blood; Bacterial contamination of blood components; Donor recruitment and selection methods; Pathogen inactivation. 2) Blood Component Collection and Production: Blood collection methods and devices (including apheresis); Plasma fractionation techniques and plasma derivatives; Preparation of labile blood components; Inventory management; Hematopoietic progenitor cell collection and storage; Collection and storage of tissues; Quality management and good manufacturing practice; Automation and information technology. 3) Transfusion Medicine and New Therapies: Transfusion thresholds and audits; Haemovigilance; Clinical trials regarding appropriate haemotherapy; Non-infectious adverse affects of transfusion; Therapeutic apheresis; Support of transplant patients; Gene therapy and immunotherapy. 4) Immunohaematology and Immunogenetics: Autoimmunity in haematology; Alloimmunity of blood; Pre-transfusion testing; Immunodiagnostics; Immunobiology; Complement in immunohaematology; Blood typing reagents; Genetic markers of blood cells and serum proteins: polymorphisms and function; Genetic markers and disease; Parentage testing and forensic immunohaematology. 5) Cellular Therapy: Cell-based therapies; Stem cell sources; Stem cell processing and storage; Stem cell products; Stem cell plasticity; Regenerative medicine with cells; Cellular immunotherapy; Molecular therapy; Gene therapy.
×
引用
GB/T 7714-2015
复制
MLA
复制
APA
复制
导出至
BibTeX EndNote RefMan NoteFirst NoteExpress
×
提示
您的信息不完整,为了账户安全,请先补充。
现在去补充
×
提示
您因"违规操作"
具体请查看互助需知
我知道了
×
提示
确定
请完成安全验证×
copy
已复制链接
快去分享给好友吧!
我知道了
右上角分享
点击右上角分享
0
联系我们:info@booksci.cn Book学术提供免费学术资源搜索服务,方便国内外学者检索中英文文献。致力于提供最便捷和优质的服务体验。 Copyright © 2023 布克学术 All rights reserved.
京ICP备2023020795号-1
ghs 京公网安备 11010802042870号
Book学术文献互助
Book学术文献互助群
群 号:604180095
Book学术官方微信