中年人斑点行军运动后收缩压恢复与血管功能的关系

IF 2.8 Q2 PERIPHERAL VASCULAR DISEASE
Vascular Health and Risk Management Pub Date : 2025-07-31 eCollection Date: 2025-01-01 DOI:10.2147/VHRM.S533735
Teonchit Nuamchit, Weerapong Chidnok, Tomon Thongsri, Nuttanit Rodvinit, Thanaphon Chaitawong, Noppawit Rattanawan, Nisakan Juntarach, Noppakoon U-Suwan, Sorrawee Lamoonkit, Nannalat Onchaiya, Paniwara Borirakwanich, Suwiporn Kawila, Pussadee Paensuwan, Wanvisa Treebuphachatsakul, Duangduan Siriwittayawan, Piyanuch Thitiwuthikiat
{"title":"中年人斑点行军运动后收缩压恢复与血管功能的关系","authors":"Teonchit Nuamchit, Weerapong Chidnok, Tomon Thongsri, Nuttanit Rodvinit, Thanaphon Chaitawong, Noppawit Rattanawan, Nisakan Juntarach, Noppakoon U-Suwan, Sorrawee Lamoonkit, Nannalat Onchaiya, Paniwara Borirakwanich, Suwiporn Kawila, Pussadee Paensuwan, Wanvisa Treebuphachatsakul, Duangduan Siriwittayawan, Piyanuch Thitiwuthikiat","doi":"10.2147/VHRM.S533735","DOIUrl":null,"url":null,"abstract":"<p><strong>Purpose: </strong>Blood pressure (BP) response observed during exercise stress tests has been recognized as a predictor of the onset of hypertension and arterial stiffness. However, access to such testing is often limited to specialized clinical settings. The purpose of this study was to assess the utility of a simple, equipment-free exercise, self-paced spot marching exercise (SME), along with the subsequent recovery BP in evaluating vascular functions.</p><p><strong>Patients and methods: </strong>A cross-sectional study was conducted with 107 participants aged 40-59 years, including those with and without hypertension. During the 6-min recovery period following SME, systolic BP (SBP) and diastolic BP (DBP) were measured every 2 min. Flow-mediated dilation (FMD) and cardio-ankle vascular index (CAVI) were used to evaluate endothelial function and arterial stiffness. Pearson's correlation and multiple linear regression analyses were performed to assess the associations between recovery BP and vascular parameters.</p><p><strong>Results: </strong>Among total participants, 4-min recovery SBP was independently associated with FMD, whereas resting BP showed no such association. CAVI was not correlated with any recovery BP. In non-hypertensive individuals, 4-min recovery SBP remained independently associated with FMD, whereas age and resting SBP were linked to CAVI.</p><p><strong>Conclusion: </strong>These findings suggest that recovery SBP following SME reflects early endothelial dysfunction and vascular impairment. Therefore, using recovery SBP after the SME demonstrates the potential to be a tool for the early detection of vascular risk in middle-aged adults.</p>","PeriodicalId":23597,"journal":{"name":"Vascular Health and Risk Management","volume":"21 ","pages":"581-592"},"PeriodicalIF":2.8000,"publicationDate":"2025-07-31","publicationTypes":"Journal Article","fieldsOfStudy":null,"isOpenAccess":false,"openAccessPdf":"https://www.ncbi.nlm.nih.gov/pmc/articles/PMC12323865/pdf/","citationCount":"0","resultStr":"{\"title\":\"Association Between Recovery Systolic Blood Pressure After Spot Marching Exercise and Vascular Function in Middle-Aged Adults.\",\"authors\":\"Teonchit Nuamchit, Weerapong Chidnok, Tomon Thongsri, Nuttanit Rodvinit, Thanaphon Chaitawong, Noppawit Rattanawan, Nisakan Juntarach, Noppakoon U-Suwan, Sorrawee Lamoonkit, Nannalat Onchaiya, Paniwara Borirakwanich, Suwiporn Kawila, Pussadee Paensuwan, Wanvisa Treebuphachatsakul, Duangduan Siriwittayawan, Piyanuch Thitiwuthikiat\",\"doi\":\"10.2147/VHRM.S533735\",\"DOIUrl\":null,\"url\":null,\"abstract\":\"<p><strong>Purpose: </strong>Blood pressure (BP) response observed during exercise stress tests has been recognized as a predictor of the onset of hypertension and arterial stiffness. However, access to such testing is often limited to specialized clinical settings. The purpose of this study was to assess the utility of a simple, equipment-free exercise, self-paced spot marching exercise (SME), along with the subsequent recovery BP in evaluating vascular functions.</p><p><strong>Patients and methods: </strong>A cross-sectional study was conducted with 107 participants aged 40-59 years, including those with and without hypertension. During the 6-min recovery period following SME, systolic BP (SBP) and diastolic BP (DBP) were measured every 2 min. Flow-mediated dilation (FMD) and cardio-ankle vascular index (CAVI) were used to evaluate endothelial function and arterial stiffness. Pearson's correlation and multiple linear regression analyses were performed to assess the associations between recovery BP and vascular parameters.</p><p><strong>Results: </strong>Among total participants, 4-min recovery SBP was independently associated with FMD, whereas resting BP showed no such association. CAVI was not correlated with any recovery BP. In non-hypertensive individuals, 4-min recovery SBP remained independently associated with FMD, whereas age and resting SBP were linked to CAVI.</p><p><strong>Conclusion: </strong>These findings suggest that recovery SBP following SME reflects early endothelial dysfunction and vascular impairment. Therefore, using recovery SBP after the SME demonstrates the potential to be a tool for the early detection of vascular risk in middle-aged adults.</p>\",\"PeriodicalId\":23597,\"journal\":{\"name\":\"Vascular Health and Risk Management\",\"volume\":\"21 \",\"pages\":\"581-592\"},\"PeriodicalIF\":2.8000,\"publicationDate\":\"2025-07-31\",\"publicationTypes\":\"Journal Article\",\"fieldsOfStudy\":null,\"isOpenAccess\":false,\"openAccessPdf\":\"https://www.ncbi.nlm.nih.gov/pmc/articles/PMC12323865/pdf/\",\"citationCount\":\"0\",\"resultStr\":null,\"platform\":\"Semanticscholar\",\"paperid\":null,\"PeriodicalName\":\"Vascular Health and Risk Management\",\"FirstCategoryId\":\"1085\",\"ListUrlMain\":\"https://doi.org/10.2147/VHRM.S533735\",\"RegionNum\":0,\"RegionCategory\":null,\"ArticlePicture\":[],\"TitleCN\":null,\"AbstractTextCN\":null,\"PMCID\":null,\"EPubDate\":\"2025/1/1 0:00:00\",\"PubModel\":\"eCollection\",\"JCR\":\"Q2\",\"JCRName\":\"PERIPHERAL VASCULAR DISEASE\",\"Score\":null,\"Total\":0}","platform":"Semanticscholar","paperid":null,"PeriodicalName":"Vascular Health and Risk Management","FirstCategoryId":"1085","ListUrlMain":"https://doi.org/10.2147/VHRM.S533735","RegionNum":0,"RegionCategory":null,"ArticlePicture":[],"TitleCN":null,"AbstractTextCN":null,"PMCID":null,"EPubDate":"2025/1/1 0:00:00","PubModel":"eCollection","JCR":"Q2","JCRName":"PERIPHERAL VASCULAR DISEASE","Score":null,"Total":0}
引用次数: 0

摘要

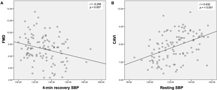
目的:在运动应激试验中观察到的血压(BP)反应已被认为是高血压和动脉僵硬发病的预测因子。然而,这种检测通常仅限于专门的临床环境。本研究的目的是评估一种简单的、无设备的运动,即自定节奏的点行军运动(SME),以及随后的恢复血压在评估血管功能方面的效用。患者和方法:对107名年龄在40-59岁之间的参与者进行了一项横断面研究,包括有和无高血压的参与者。在SME术后6分钟的恢复期,每2分钟测量一次收缩压(SBP)和舒张压(DBP)。利用血流介导的舒张(FMD)和心踝血管指数(CAVI)评估内皮功能和动脉僵硬度。采用Pearson相关分析和多元线性回归分析来评估恢复血压与血管参数之间的关系。结果:在所有参与者中,4分钟恢复收缩压与FMD独立相关,而静息血压没有这种关联。CAVI与恢复血压无相关性。在非高血压个体中,4分钟恢复期收缩压与FMD独立相关,而年龄和静息期收缩压与CAVI相关。结论:SME术后收缩压恢复反映了早期内皮功能障碍和血管损伤。因此,在SME后使用恢复性收缩压显示了作为早期检测中年人血管风险的工具的潜力。
本文章由计算机程序翻译,如有差异,请以英文原文为准。

Association Between Recovery Systolic Blood Pressure After Spot Marching Exercise and Vascular Function in Middle-Aged Adults.

Association Between Recovery Systolic Blood Pressure After Spot Marching Exercise and Vascular Function in Middle-Aged Adults.

Association Between Recovery Systolic Blood Pressure After Spot Marching Exercise and Vascular Function in Middle-Aged Adults.

Association Between Recovery Systolic Blood Pressure After Spot Marching Exercise and Vascular Function in Middle-Aged Adults.

Purpose: Blood pressure (BP) response observed during exercise stress tests has been recognized as a predictor of the onset of hypertension and arterial stiffness. However, access to such testing is often limited to specialized clinical settings. The purpose of this study was to assess the utility of a simple, equipment-free exercise, self-paced spot marching exercise (SME), along with the subsequent recovery BP in evaluating vascular functions.

Patients and methods: A cross-sectional study was conducted with 107 participants aged 40-59 years, including those with and without hypertension. During the 6-min recovery period following SME, systolic BP (SBP) and diastolic BP (DBP) were measured every 2 min. Flow-mediated dilation (FMD) and cardio-ankle vascular index (CAVI) were used to evaluate endothelial function and arterial stiffness. Pearson's correlation and multiple linear regression analyses were performed to assess the associations between recovery BP and vascular parameters.

Results: Among total participants, 4-min recovery SBP was independently associated with FMD, whereas resting BP showed no such association. CAVI was not correlated with any recovery BP. In non-hypertensive individuals, 4-min recovery SBP remained independently associated with FMD, whereas age and resting SBP were linked to CAVI.

Conclusion: These findings suggest that recovery SBP following SME reflects early endothelial dysfunction and vascular impairment. Therefore, using recovery SBP after the SME demonstrates the potential to be a tool for the early detection of vascular risk in middle-aged adults.

求助全文
通过发布文献求助,成功后即可免费获取论文全文。 去求助
来源期刊
Vascular Health and Risk Management
Vascular Health and Risk Management PERIPHERAL VASCULAR DISEASE-
CiteScore
4.20
自引率
3.40%
发文量
109
审稿时长
16 weeks
期刊介绍: An international, peer-reviewed journal of therapeutics and risk management, focusing on concise rapid reporting of clinical studies on the processes involved in the maintenance of vascular health; the monitoring, prevention, and treatment of vascular disease and its sequelae; and the involvement of metabolic disorders, particularly diabetes. In addition, the journal will also seek to define drug usage in terms of ultimate uptake and acceptance by the patient and healthcare professional.
×
引用
GB/T 7714-2015
复制
MLA
复制
APA
复制
导出至
BibTeX EndNote RefMan NoteFirst NoteExpress
×
提示
您的信息不完整,为了账户安全,请先补充。
现在去补充
×
提示
您因"违规操作"
具体请查看互助需知
我知道了
×
提示
确定
请完成安全验证×
copy
已复制链接
快去分享给好友吧!
我知道了
右上角分享
点击右上角分享
0
联系我们:info@booksci.cn Book学术提供免费学术资源搜索服务,方便国内外学者检索中英文文献。致力于提供最便捷和优质的服务体验。 Copyright © 2023 布克学术 All rights reserved.
京ICP备2023020795号-1
ghs 京公网安备 11010802042870号
Book学术文献互助
Book学术文献互助群
群 号:604180095
Book学术官方微信