口咽癌原发大体肿瘤体积的交互式三维分割。

IF 3.9 2区 综合性期刊 Q1 MULTIDISCIPLINARY SCIENCES
Mikko Saukkoriipi, Jaakko Sahlsten, Joel Jaskari, Lotta Orsmaa, Jari Kangas, Nastaran Rasouli, Roope Raisamo, Jussi Hirvonen, Helena Mehtonen, Jorma Järnstedt, Antti Mäkitie, Mohamed Naser, Clifton Fuller, Benjamin Kann, Kimmo Kaski
{"title":"口咽癌原发大体肿瘤体积的交互式三维分割。","authors":"Mikko Saukkoriipi, Jaakko Sahlsten, Joel Jaskari, Lotta Orsmaa, Jari Kangas, Nastaran Rasouli, Roope Raisamo, Jussi Hirvonen, Helena Mehtonen, Jorma Järnstedt, Antti Mäkitie, Mohamed Naser, Clifton Fuller, Benjamin Kann, Kimmo Kaski","doi":"10.1038/s41598-025-13601-3","DOIUrl":null,"url":null,"abstract":"<p><p>Radiotherapy is the main treatment modality of oropharyngeal cancer (OPC), in which an accurate segmentation of primary gross tumor volume (GTVt) is essential but also challenging due to significant interobserver variability and the time consumed in manual tumor delineation. For such a challenge an interactive deep learning (DL) based approach offers the advantage of automatic high-performance segmentation with the flexibility for user correction when necessary. In this study, we investigate an interactive DL for GTVt segmentation in OPC by introducing a novel two-stage Interactive Click Refinement (2S-ICR) framework and implementing state-of-the-art algorithms. Using the 2021 HEad and neCK TumOR dataset for development and an external dataset from The University of Texas MD Anderson Cancer Center for evaluation, the 2S-ICR framework achieves a Dice similarity coefficient of 0.722 ± 0.142 without user interaction and 0.858 ± 0.050 after ten interactions, thus outperforming existing methods in both cases.</p>","PeriodicalId":21811,"journal":{"name":"Scientific Reports","volume":"15 1","pages":"28589"},"PeriodicalIF":3.9000,"publicationDate":"2025-08-05","publicationTypes":"Journal Article","fieldsOfStudy":null,"isOpenAccess":false,"openAccessPdf":"https://www.ncbi.nlm.nih.gov/pmc/articles/PMC12325674/pdf/","citationCount":"0","resultStr":"{\"title\":\"Interactive 3D segmentation for primary gross tumor volume in oropharyngeal cancer.\",\"authors\":\"Mikko Saukkoriipi, Jaakko Sahlsten, Joel Jaskari, Lotta Orsmaa, Jari Kangas, Nastaran Rasouli, Roope Raisamo, Jussi Hirvonen, Helena Mehtonen, Jorma Järnstedt, Antti Mäkitie, Mohamed Naser, Clifton Fuller, Benjamin Kann, Kimmo Kaski\",\"doi\":\"10.1038/s41598-025-13601-3\",\"DOIUrl\":null,\"url\":null,\"abstract\":\"<p><p>Radiotherapy is the main treatment modality of oropharyngeal cancer (OPC), in which an accurate segmentation of primary gross tumor volume (GTVt) is essential but also challenging due to significant interobserver variability and the time consumed in manual tumor delineation. For such a challenge an interactive deep learning (DL) based approach offers the advantage of automatic high-performance segmentation with the flexibility for user correction when necessary. In this study, we investigate an interactive DL for GTVt segmentation in OPC by introducing a novel two-stage Interactive Click Refinement (2S-ICR) framework and implementing state-of-the-art algorithms. Using the 2021 HEad and neCK TumOR dataset for development and an external dataset from The University of Texas MD Anderson Cancer Center for evaluation, the 2S-ICR framework achieves a Dice similarity coefficient of 0.722 ± 0.142 without user interaction and 0.858 ± 0.050 after ten interactions, thus outperforming existing methods in both cases.</p>\",\"PeriodicalId\":21811,\"journal\":{\"name\":\"Scientific Reports\",\"volume\":\"15 1\",\"pages\":\"28589\"},\"PeriodicalIF\":3.9000,\"publicationDate\":\"2025-08-05\",\"publicationTypes\":\"Journal Article\",\"fieldsOfStudy\":null,\"isOpenAccess\":false,\"openAccessPdf\":\"https://www.ncbi.nlm.nih.gov/pmc/articles/PMC12325674/pdf/\",\"citationCount\":\"0\",\"resultStr\":null,\"platform\":\"Semanticscholar\",\"paperid\":null,\"PeriodicalName\":\"Scientific Reports\",\"FirstCategoryId\":\"103\",\"ListUrlMain\":\"https://doi.org/10.1038/s41598-025-13601-3\",\"RegionNum\":2,\"RegionCategory\":\"综合性期刊\",\"ArticlePicture\":[],\"TitleCN\":null,\"AbstractTextCN\":null,\"PMCID\":null,\"EPubDate\":\"\",\"PubModel\":\"\",\"JCR\":\"Q1\",\"JCRName\":\"MULTIDISCIPLINARY SCIENCES\",\"Score\":null,\"Total\":0}","platform":"Semanticscholar","paperid":null,"PeriodicalName":"Scientific Reports","FirstCategoryId":"103","ListUrlMain":"https://doi.org/10.1038/s41598-025-13601-3","RegionNum":2,"RegionCategory":"综合性期刊","ArticlePicture":[],"TitleCN":null,"AbstractTextCN":null,"PMCID":null,"EPubDate":"","PubModel":"","JCR":"Q1","JCRName":"MULTIDISCIPLINARY SCIENCES","Score":null,"Total":0}
引用次数: 0

摘要

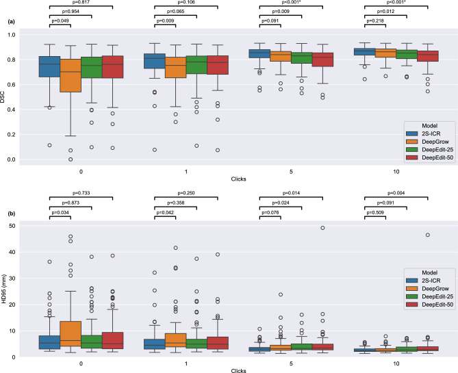
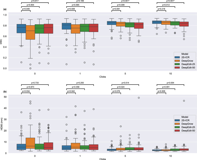
放疗是口咽癌(OPC)的主要治疗方式,其中原发肿瘤总体积(GTVt)的准确分割是必不可少的,但由于观察者之间的显著差异和人工肿瘤划定所消耗的时间,这也具有挑战性。对于这样的挑战,基于交互式深度学习(DL)的方法提供了自动高性能分割的优势,并在必要时灵活地进行用户纠正。在本研究中,我们通过引入一种新的两阶段交互式点击细化(2S-ICR)框架和实现最先进的算法,研究了OPC中用于GTVt分割的交互式深度学习。使用2021年头颈部肿瘤数据集进行开发,并使用来自德克萨斯大学MD安德森癌症中心的外部数据集进行评估,s2 - icr框架在没有用户交互的情况下获得了0.722±0.142的Dice相似系数,在10次交互后获得了0.858±0.050的Dice相似系数,从而在两种情况下都优于现有方法。
本文章由计算机程序翻译,如有差异,请以英文原文为准。

Interactive 3D segmentation for primary gross tumor volume in oropharyngeal cancer.

Interactive 3D segmentation for primary gross tumor volume in oropharyngeal cancer.

Interactive 3D segmentation for primary gross tumor volume in oropharyngeal cancer.

Interactive 3D segmentation for primary gross tumor volume in oropharyngeal cancer.

Interactive 3D segmentation for primary gross tumor volume in oropharyngeal cancer.

Interactive 3D segmentation for primary gross tumor volume in oropharyngeal cancer.

Interactive 3D segmentation for primary gross tumor volume in oropharyngeal cancer.

Radiotherapy is the main treatment modality of oropharyngeal cancer (OPC), in which an accurate segmentation of primary gross tumor volume (GTVt) is essential but also challenging due to significant interobserver variability and the time consumed in manual tumor delineation. For such a challenge an interactive deep learning (DL) based approach offers the advantage of automatic high-performance segmentation with the flexibility for user correction when necessary. In this study, we investigate an interactive DL for GTVt segmentation in OPC by introducing a novel two-stage Interactive Click Refinement (2S-ICR) framework and implementing state-of-the-art algorithms. Using the 2021 HEad and neCK TumOR dataset for development and an external dataset from The University of Texas MD Anderson Cancer Center for evaluation, the 2S-ICR framework achieves a Dice similarity coefficient of 0.722 ± 0.142 without user interaction and 0.858 ± 0.050 after ten interactions, thus outperforming existing methods in both cases.

求助全文
通过发布文献求助,成功后即可免费获取论文全文。 去求助
来源期刊
Scientific Reports
Scientific Reports Natural Science Disciplines-
CiteScore
7.50
自引率
4.30%
发文量
19567
审稿时长
3.9 months
期刊介绍: We publish original research from all areas of the natural sciences, psychology, medicine and engineering. You can learn more about what we publish by browsing our specific scientific subject areas below or explore Scientific Reports by browsing all articles and collections. Scientific Reports has a 2-year impact factor: 4.380 (2021), and is the 6th most-cited journal in the world, with more than 540,000 citations in 2020 (Clarivate Analytics, 2021). •Engineering Engineering covers all aspects of engineering, technology, and applied science. It plays a crucial role in the development of technologies to address some of the world''s biggest challenges, helping to save lives and improve the way we live. •Physical sciences Physical sciences are those academic disciplines that aim to uncover the underlying laws of nature — often written in the language of mathematics. It is a collective term for areas of study including astronomy, chemistry, materials science and physics. •Earth and environmental sciences Earth and environmental sciences cover all aspects of Earth and planetary science and broadly encompass solid Earth processes, surface and atmospheric dynamics, Earth system history, climate and climate change, marine and freshwater systems, and ecology. It also considers the interactions between humans and these systems. •Biological sciences Biological sciences encompass all the divisions of natural sciences examining various aspects of vital processes. The concept includes anatomy, physiology, cell biology, biochemistry and biophysics, and covers all organisms from microorganisms, animals to plants. •Health sciences The health sciences study health, disease and healthcare. This field of study aims to develop knowledge, interventions and technology for use in healthcare to improve the treatment of patients.
×
引用
GB/T 7714-2015
复制
MLA
复制
APA
复制
导出至
BibTeX EndNote RefMan NoteFirst NoteExpress
×
提示
您的信息不完整,为了账户安全,请先补充。
现在去补充
×
提示
您因"违规操作"
具体请查看互助需知
我知道了
×
提示
确定
请完成安全验证×
copy
已复制链接
快去分享给好友吧!
我知道了
右上角分享
点击右上角分享
0
联系我们:info@booksci.cn Book学术提供免费学术资源搜索服务,方便国内外学者检索中英文文献。致力于提供最便捷和优质的服务体验。 Copyright © 2023 布克学术 All rights reserved.
京ICP备2023020795号-1
ghs 京公网安备 11010802042870号
Book学术文献互助
Book学术文献互助群
群 号:604180095
Book学术官方微信