干旱和热胁迫对短叶紫花苜蓿的协同效应:了解其生长响应和光合机制。

IF 1.6 4区 生物学 Q2 PLANT SCIENCES
Photosynthetica Pub Date : 2025-07-02 eCollection Date: 2025-01-01 DOI:10.32615/ps.2025.008
N Ressaissi, W Mnafgui, N Maiza, F Zribi, W Zorrig, N Ludidi, M T Sanchez-Ballesta, M Badri
{"title":"干旱和热胁迫对短叶紫花苜蓿的协同效应:了解其生长响应和光合机制。","authors":"N Ressaissi, W Mnafgui, N Maiza, F Zribi, W Zorrig, N Ludidi, M T Sanchez-Ballesta, M Badri","doi":"10.32615/ps.2025.008","DOIUrl":null,"url":null,"abstract":"<p><p>Drought and heat stress significantly threaten forage crop development and photosynthetic activity in the Mediterranean region. This study investigated the physiological responses and photosynthetic activity of two <i>Medicago truncatula</i> lines TN6.18 and F83005.5 (F83), to single and combined heat and drought stress treatments. Biomass traits, leaf gas exchange, and photosystem activities were evaluated. Our findings indicate a reduction in biomass parameters under heat, drought, and combined stress on both lines, particularly in F83. The stomatal conductance and photosynthetic parameters exhibited differential responses, with F83 reducing its stomatal conductance under drought stress, while TN6.18 was adapted by opening its stomata. Moreover, in TN6.18, combined stress enhanced protection mechanisms in PSI, while F83 showed changes in PSII efficiency. These insights deepen our understanding of plant responses to abiotic stresses and offer strategies for improving tolerance and resilience in changing environmental conditions.</p>","PeriodicalId":20157,"journal":{"name":"Photosynthetica","volume":"63 2","pages":"151-161"},"PeriodicalIF":1.6000,"publicationDate":"2025-07-02","publicationTypes":"Journal Article","fieldsOfStudy":null,"isOpenAccess":false,"openAccessPdf":"https://www.ncbi.nlm.nih.gov/pmc/articles/PMC12319930/pdf/","citationCount":"0","resultStr":"{\"title\":\"Synergistic effects of drought and heat stress on <i>Medicago truncatula</i>: understanding growth response and photosynthetic mechanisms.\",\"authors\":\"N Ressaissi, W Mnafgui, N Maiza, F Zribi, W Zorrig, N Ludidi, M T Sanchez-Ballesta, M Badri\",\"doi\":\"10.32615/ps.2025.008\",\"DOIUrl\":null,\"url\":null,\"abstract\":\"<p><p>Drought and heat stress significantly threaten forage crop development and photosynthetic activity in the Mediterranean region. This study investigated the physiological responses and photosynthetic activity of two <i>Medicago truncatula</i> lines TN6.18 and F83005.5 (F83), to single and combined heat and drought stress treatments. Biomass traits, leaf gas exchange, and photosystem activities were evaluated. Our findings indicate a reduction in biomass parameters under heat, drought, and combined stress on both lines, particularly in F83. The stomatal conductance and photosynthetic parameters exhibited differential responses, with F83 reducing its stomatal conductance under drought stress, while TN6.18 was adapted by opening its stomata. Moreover, in TN6.18, combined stress enhanced protection mechanisms in PSI, while F83 showed changes in PSII efficiency. These insights deepen our understanding of plant responses to abiotic stresses and offer strategies for improving tolerance and resilience in changing environmental conditions.</p>\",\"PeriodicalId\":20157,\"journal\":{\"name\":\"Photosynthetica\",\"volume\":\"63 2\",\"pages\":\"151-161\"},\"PeriodicalIF\":1.6000,\"publicationDate\":\"2025-07-02\",\"publicationTypes\":\"Journal Article\",\"fieldsOfStudy\":null,\"isOpenAccess\":false,\"openAccessPdf\":\"https://www.ncbi.nlm.nih.gov/pmc/articles/PMC12319930/pdf/\",\"citationCount\":\"0\",\"resultStr\":null,\"platform\":\"Semanticscholar\",\"paperid\":null,\"PeriodicalName\":\"Photosynthetica\",\"FirstCategoryId\":\"99\",\"ListUrlMain\":\"https://doi.org/10.32615/ps.2025.008\",\"RegionNum\":4,\"RegionCategory\":\"生物学\",\"ArticlePicture\":[],\"TitleCN\":null,\"AbstractTextCN\":null,\"PMCID\":null,\"EPubDate\":\"2025/1/1 0:00:00\",\"PubModel\":\"eCollection\",\"JCR\":\"Q2\",\"JCRName\":\"PLANT SCIENCES\",\"Score\":null,\"Total\":0}","platform":"Semanticscholar","paperid":null,"PeriodicalName":"Photosynthetica","FirstCategoryId":"99","ListUrlMain":"https://doi.org/10.32615/ps.2025.008","RegionNum":4,"RegionCategory":"生物学","ArticlePicture":[],"TitleCN":null,"AbstractTextCN":null,"PMCID":null,"EPubDate":"2025/1/1 0:00:00","PubModel":"eCollection","JCR":"Q2","JCRName":"PLANT SCIENCES","Score":null,"Total":0}
引用次数: 0

摘要

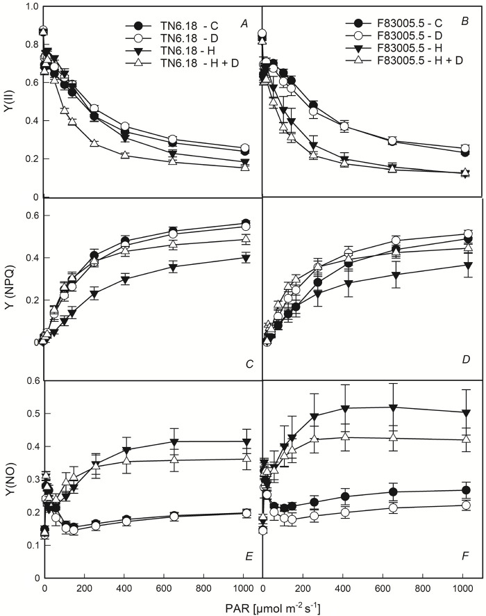
干旱和热胁迫严重威胁着地中海地区饲料作物的发育和光合活性。研究了两种苜蓿品系TN6.18和F83005.5 (F83)对单一和复合热干旱胁迫的生理响应和光合活性。对生物量性状、叶片气体交换和光系统活性进行了评价。我们的研究结果表明,在高温、干旱和综合胁迫下,两个品系的生物量参数都有所减少,尤其是F83。气孔导度和光合参数表现出不同的响应,F83在干旱胁迫下降低气孔导度,而TN6.18则通过打开气孔来适应。此外,在TN6.18中,联合应力增强了PSI的保护机制,而F83则显示了PSII效率的变化。这些见解加深了我们对植物对非生物胁迫反应的理解,并提供了在不断变化的环境条件下提高耐受性和恢复力的策略。
本文章由计算机程序翻译,如有差异,请以英文原文为准。

Synergistic effects of drought and heat stress on <i>Medicago truncatula</i>: understanding growth response and photosynthetic mechanisms.

Synergistic effects of drought and heat stress on <i>Medicago truncatula</i>: understanding growth response and photosynthetic mechanisms.

Synergistic effects of drought and heat stress on <i>Medicago truncatula</i>: understanding growth response and photosynthetic mechanisms.

Synergistic effects of drought and heat stress on Medicago truncatula: understanding growth response and photosynthetic mechanisms.

Drought and heat stress significantly threaten forage crop development and photosynthetic activity in the Mediterranean region. This study investigated the physiological responses and photosynthetic activity of two Medicago truncatula lines TN6.18 and F83005.5 (F83), to single and combined heat and drought stress treatments. Biomass traits, leaf gas exchange, and photosystem activities were evaluated. Our findings indicate a reduction in biomass parameters under heat, drought, and combined stress on both lines, particularly in F83. The stomatal conductance and photosynthetic parameters exhibited differential responses, with F83 reducing its stomatal conductance under drought stress, while TN6.18 was adapted by opening its stomata. Moreover, in TN6.18, combined stress enhanced protection mechanisms in PSI, while F83 showed changes in PSII efficiency. These insights deepen our understanding of plant responses to abiotic stresses and offer strategies for improving tolerance and resilience in changing environmental conditions.

求助全文
通过发布文献求助,成功后即可免费获取论文全文。 去求助
来源期刊
Photosynthetica
Photosynthetica 生物-植物科学
CiteScore
5.60
自引率
7.40%
发文量
55
审稿时长
3.8 months
期刊介绍: Photosynthetica publishes original scientific papers and brief communications, reviews on specialized topics, book reviews and announcements and reports covering wide range of photosynthesis research or research including photosynthetic parameters of both experimental and theoretical nature and dealing with physiology, biophysics, biochemistry, molecular biology on one side and leaf optics, stress physiology and ecology of photosynthesis on the other side. The language of journal is English (British or American). Papers should not be published or under consideration for publication elsewhere.
×
引用
GB/T 7714-2015
复制
MLA
复制
APA
复制
导出至
BibTeX EndNote RefMan NoteFirst NoteExpress
×
提示
您的信息不完整,为了账户安全,请先补充。
现在去补充
×
提示
您因"违规操作"
具体请查看互助需知
我知道了
×
提示
确定
请完成安全验证×
copy
已复制链接
快去分享给好友吧!
我知道了
右上角分享
点击右上角分享
0
联系我们:info@booksci.cn Book学术提供免费学术资源搜索服务,方便国内外学者检索中英文文献。致力于提供最便捷和优质的服务体验。 Copyright © 2023 布克学术 All rights reserved.
京ICP备2023020795号-1
ghs 京公网安备 11010802042870号
Book学术文献互助
Book学术文献互助群
群 号:604180095
Book学术官方微信