在超重或肥胖的成年人中,长时间只禁食水,然后食用全植物性食物,可以促进无脂肪量的恢复和持续的脂肪量减少。

IF 1.9 Q3 ENDOCRINOLOGY & METABOLISM
Obesity Science & Practice Pub Date : 2025-08-05 eCollection Date: 2025-08-01 DOI:10.1002/osp4.70086
Sahmla Gabriel, Mackson Ncube, David M Goldman, Eugene Scharf, Alan C Goldhamer, Toshia R Myers
{"title":"在超重或肥胖的成年人中,长时间只禁食水,然后食用全植物性食物,可以促进无脂肪量的恢复和持续的脂肪量减少。","authors":"Sahmla Gabriel, Mackson Ncube, David M Goldman, Eugene Scharf, Alan C Goldhamer, Toshia R Myers","doi":"10.1002/osp4.70086","DOIUrl":null,"url":null,"abstract":"<p><strong>Introduction: </strong>Conventional weight-loss strategies often result in inadequate fat loss, poor sustainability, and unintended lean mass loss. Prolonged water-only fasting followed by dietary change may offer an effective alternative, but its impact on body composition remains underexplored.</p><p><strong>Methods: </strong>This secondary analysis utilized dual-energy X-ray absorptiometry (DXA) to assess changes in fat-free mass (FFM), fat mass (FM), and bone mineral content (BMC) in adults [median (IQR) age: 62 (15) years with overweight or obesity. Participants underwent a median (IQR) of 14 (6) days of water-only fasting, followed by 6 (3) days of food reintroduction with a whole-plant-food diet and a subsequent maintenance period of 45 (5) days. Study visits occurred at baseline and at the end of each period.</p><p><strong>Results: </strong>At end of fasting, FFM accounted for 74% of total BW lost during fasting. However, at the follow-up visit, the median (IQR) percentage change in total BW, FFM, FM, and visceral adipose tissue (VAT) mass from baseline was -8.2 (5.2), -4.4 (5.6), -14.7 (8.9), -15.8 (12.8) %, respectively. At follow-up, FM loss accounted for 67% of the total BW lost. BMC remained unchanged across all study visits.</p><p><strong>Conclusions: </strong>This protocol produced sustained FM loss, specifically VAT mass, and FFM recovery, suggesting it may support effective weight management.</p>","PeriodicalId":19448,"journal":{"name":"Obesity Science & Practice","volume":"11 4","pages":"e70086"},"PeriodicalIF":1.9000,"publicationDate":"2025-08-05","publicationTypes":"Journal Article","fieldsOfStudy":null,"isOpenAccess":false,"openAccessPdf":"https://www.ncbi.nlm.nih.gov/pmc/articles/PMC12322586/pdf/","citationCount":"0","resultStr":"{\"title\":\"Prolonged Water-Only Fasting Followed by a Whole-Plant-Food Diet Promotes Fat-Free Mass Recovery and Continued Fat Mass Loss in Adults With Overweight or Obesity.\",\"authors\":\"Sahmla Gabriel, Mackson Ncube, David M Goldman, Eugene Scharf, Alan C Goldhamer, Toshia R Myers\",\"doi\":\"10.1002/osp4.70086\",\"DOIUrl\":null,\"url\":null,\"abstract\":\"<p><strong>Introduction: </strong>Conventional weight-loss strategies often result in inadequate fat loss, poor sustainability, and unintended lean mass loss. Prolonged water-only fasting followed by dietary change may offer an effective alternative, but its impact on body composition remains underexplored.</p><p><strong>Methods: </strong>This secondary analysis utilized dual-energy X-ray absorptiometry (DXA) to assess changes in fat-free mass (FFM), fat mass (FM), and bone mineral content (BMC) in adults [median (IQR) age: 62 (15) years with overweight or obesity. Participants underwent a median (IQR) of 14 (6) days of water-only fasting, followed by 6 (3) days of food reintroduction with a whole-plant-food diet and a subsequent maintenance period of 45 (5) days. Study visits occurred at baseline and at the end of each period.</p><p><strong>Results: </strong>At end of fasting, FFM accounted for 74% of total BW lost during fasting. However, at the follow-up visit, the median (IQR) percentage change in total BW, FFM, FM, and visceral adipose tissue (VAT) mass from baseline was -8.2 (5.2), -4.4 (5.6), -14.7 (8.9), -15.8 (12.8) %, respectively. At follow-up, FM loss accounted for 67% of the total BW lost. BMC remained unchanged across all study visits.</p><p><strong>Conclusions: </strong>This protocol produced sustained FM loss, specifically VAT mass, and FFM recovery, suggesting it may support effective weight management.</p>\",\"PeriodicalId\":19448,\"journal\":{\"name\":\"Obesity Science & Practice\",\"volume\":\"11 4\",\"pages\":\"e70086\"},\"PeriodicalIF\":1.9000,\"publicationDate\":\"2025-08-05\",\"publicationTypes\":\"Journal Article\",\"fieldsOfStudy\":null,\"isOpenAccess\":false,\"openAccessPdf\":\"https://www.ncbi.nlm.nih.gov/pmc/articles/PMC12322586/pdf/\",\"citationCount\":\"0\",\"resultStr\":null,\"platform\":\"Semanticscholar\",\"paperid\":null,\"PeriodicalName\":\"Obesity Science & Practice\",\"FirstCategoryId\":\"1085\",\"ListUrlMain\":\"https://doi.org/10.1002/osp4.70086\",\"RegionNum\":0,\"RegionCategory\":null,\"ArticlePicture\":[],\"TitleCN\":null,\"AbstractTextCN\":null,\"PMCID\":null,\"EPubDate\":\"2025/8/1 0:00:00\",\"PubModel\":\"eCollection\",\"JCR\":\"Q3\",\"JCRName\":\"ENDOCRINOLOGY & METABOLISM\",\"Score\":null,\"Total\":0}","platform":"Semanticscholar","paperid":null,"PeriodicalName":"Obesity Science & Practice","FirstCategoryId":"1085","ListUrlMain":"https://doi.org/10.1002/osp4.70086","RegionNum":0,"RegionCategory":null,"ArticlePicture":[],"TitleCN":null,"AbstractTextCN":null,"PMCID":null,"EPubDate":"2025/8/1 0:00:00","PubModel":"eCollection","JCR":"Q3","JCRName":"ENDOCRINOLOGY & METABOLISM","Score":null,"Total":0}
引用次数: 0

摘要

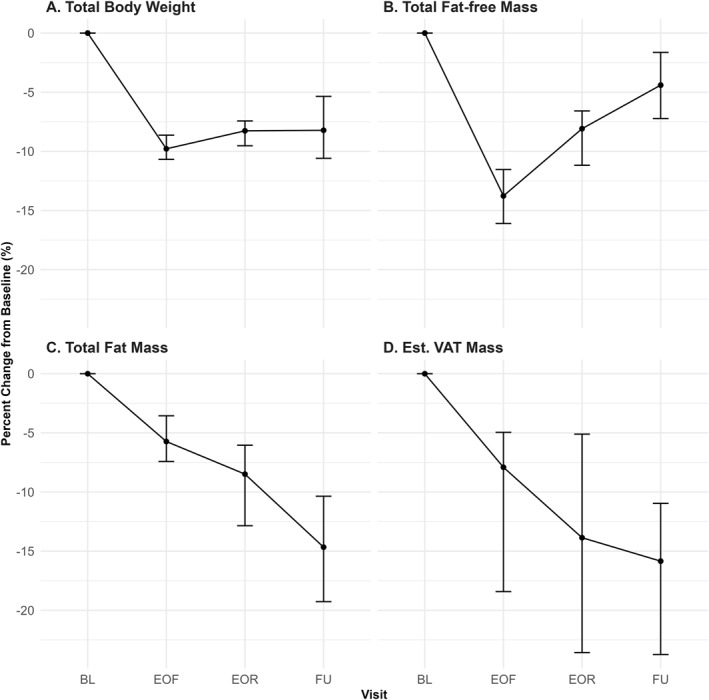
传统的减肥策略往往导致脂肪损失不足,可持续性差,和意想不到的瘦质量损失。长时间只喝水,然后改变饮食可能是一种有效的替代方法,但它对身体成分的影响仍未得到充分研究。方法:该二次分析利用双能x线吸收仪(DXA)评估超重或肥胖成人的无脂量(FFM)、脂肪量(FM)和骨矿物质含量(BMC)的变化[中位(IQR)年龄:62(15)岁]。参与者进行了中位(IQR) 14(6)天的纯水禁食,然后是6(3)天的全植物性饮食,随后的维持期为45(5)天。研究访问发生在基线和每个时期结束时。结果:禁食结束时,FFM占禁食期间总体重损失的74%。然而,在随访中,与基线相比,总体重、FFM、FM和内脏脂肪组织(VAT)质量的中位(IQR)百分比变化分别为-8.2(5.2)、-4.4(5.6)、-14.7(8.9)、-15.8(12.8)%。随访时,FM损失占总体重损失的67%。在所有的研究访问中,BMC保持不变。结论:该方案产生了持续的FM损失,特别是VAT质量和FFM恢复,表明它可能支持有效的体重管理。
本文章由计算机程序翻译,如有差异,请以英文原文为准。

Prolonged Water-Only Fasting Followed by a Whole-Plant-Food Diet Promotes Fat-Free Mass Recovery and Continued Fat Mass Loss in Adults With Overweight or Obesity.

Prolonged Water-Only Fasting Followed by a Whole-Plant-Food Diet Promotes Fat-Free Mass Recovery and Continued Fat Mass Loss in Adults With Overweight or Obesity.

Prolonged Water-Only Fasting Followed by a Whole-Plant-Food Diet Promotes Fat-Free Mass Recovery and Continued Fat Mass Loss in Adults With Overweight or Obesity.

Introduction: Conventional weight-loss strategies often result in inadequate fat loss, poor sustainability, and unintended lean mass loss. Prolonged water-only fasting followed by dietary change may offer an effective alternative, but its impact on body composition remains underexplored.

Methods: This secondary analysis utilized dual-energy X-ray absorptiometry (DXA) to assess changes in fat-free mass (FFM), fat mass (FM), and bone mineral content (BMC) in adults [median (IQR) age: 62 (15) years with overweight or obesity. Participants underwent a median (IQR) of 14 (6) days of water-only fasting, followed by 6 (3) days of food reintroduction with a whole-plant-food diet and a subsequent maintenance period of 45 (5) days. Study visits occurred at baseline and at the end of each period.

Results: At end of fasting, FFM accounted for 74% of total BW lost during fasting. However, at the follow-up visit, the median (IQR) percentage change in total BW, FFM, FM, and visceral adipose tissue (VAT) mass from baseline was -8.2 (5.2), -4.4 (5.6), -14.7 (8.9), -15.8 (12.8) %, respectively. At follow-up, FM loss accounted for 67% of the total BW lost. BMC remained unchanged across all study visits.

Conclusions: This protocol produced sustained FM loss, specifically VAT mass, and FFM recovery, suggesting it may support effective weight management.

求助全文
通过发布文献求助,成功后即可免费获取论文全文。 去求助
来源期刊
Obesity Science & Practice
Obesity Science & Practice ENDOCRINOLOGY & METABOLISM-
CiteScore
4.20
自引率
4.50%
发文量
73
审稿时长
29 weeks
×
引用
GB/T 7714-2015
复制
MLA
复制
APA
复制
导出至
BibTeX EndNote RefMan NoteFirst NoteExpress
×
提示
您的信息不完整,为了账户安全,请先补充。
现在去补充
×
提示
您因"违规操作"
具体请查看互助需知
我知道了
×
提示
确定
请完成安全验证×
copy
已复制链接
快去分享给好友吧!
我知道了
右上角分享
点击右上角分享
0
联系我们:info@booksci.cn Book学术提供免费学术资源搜索服务,方便国内外学者检索中英文文献。致力于提供最便捷和优质的服务体验。 Copyright © 2023 布克学术 All rights reserved.
京ICP备2023020795号-1
ghs 京公网安备 11010802042870号
Book学术文献互助
Book学术文献互助群
群 号:604180095
Book学术官方微信