在麻醉狗的理想和宽松袖口之间的血压一致。

IF 1.5 3区 农林科学 Q2 VETERINARY SCIENCES
Jennifer Pelchat, Anthony Carr, Shannon G Beazley
{"title":"在麻醉狗的理想和宽松袖口之间的血压一致。","authors":"Jennifer Pelchat, Anthony Carr, Shannon G Beazley","doi":"10.4142/jvs.25081","DOIUrl":null,"url":null,"abstract":"<p><strong>Importance: </strong>Indirect blood pressure monitoring is used frequently in veterinary medicine. Blood pressure cuff looseness has not been investigated as a cause of erroneous measurements.</p><p><strong>Objective: </strong>To determine if cuff looseness affects blood pressure measurements in healthy anesthetized dogs.</p><p><strong>Methods: </strong>Between December 2020 and May 2022 at an institutional practice, 62 anesthetized healthy dogs were separated into two groups: ≤ 20 kg and > 20 kg. Tail base circumference of each dog was measured, and baseline was defined as ideal (0% looseness factor). The cuff was manually loosened sequentially from 0% to 2%, 5%, 8%, 10% and 15% looseness factors. High definition oscillometry was used to measure systolic (SAP), mean (MAP) and diastolic (DAP) arterial blood pressures. Bland and Altman for repeated measures was used to analyze SAP, MAP and DAP measurements of baseline and each looseness factor. Acceptable bias and limits of agreement (LoA) were set using American College of Veterinary Internal Medicine guidelines.</p><p><strong>Results: </strong>All biases were acceptable. In dogs ≤ 20 kg, LoA for all SAP looseness factors and MAP looseness factors of 10% and 15% did not fall within the guidelines. In dogs > 20 kg, LoA for all measurements except SAP 5%, 8% and 10% looseness factors fell within the guidelines.</p><p><strong>Conclusions and relevance: </strong>Loosening a cuff up to 15% did not result in significant changes to blood pressure measurements of healthy anesthetized dogs using high definition oscillometry.</p>","PeriodicalId":17557,"journal":{"name":"Journal of Veterinary Science","volume":"26 4","pages":"e51"},"PeriodicalIF":1.5000,"publicationDate":"2025-07-01","publicationTypes":"Journal Article","fieldsOfStudy":null,"isOpenAccess":false,"openAccessPdf":"https://www.ncbi.nlm.nih.gov/pmc/articles/PMC12329061/pdf/","citationCount":"0","resultStr":"{\"title\":\"Blood pressure agreement between ideal and loose-fitting cuffs in anesthetized dogs.\",\"authors\":\"Jennifer Pelchat, Anthony Carr, Shannon G Beazley\",\"doi\":\"10.4142/jvs.25081\",\"DOIUrl\":null,\"url\":null,\"abstract\":\"<p><strong>Importance: </strong>Indirect blood pressure monitoring is used frequently in veterinary medicine. Blood pressure cuff looseness has not been investigated as a cause of erroneous measurements.</p><p><strong>Objective: </strong>To determine if cuff looseness affects blood pressure measurements in healthy anesthetized dogs.</p><p><strong>Methods: </strong>Between December 2020 and May 2022 at an institutional practice, 62 anesthetized healthy dogs were separated into two groups: ≤ 20 kg and > 20 kg. Tail base circumference of each dog was measured, and baseline was defined as ideal (0% looseness factor). The cuff was manually loosened sequentially from 0% to 2%, 5%, 8%, 10% and 15% looseness factors. High definition oscillometry was used to measure systolic (SAP), mean (MAP) and diastolic (DAP) arterial blood pressures. Bland and Altman for repeated measures was used to analyze SAP, MAP and DAP measurements of baseline and each looseness factor. Acceptable bias and limits of agreement (LoA) were set using American College of Veterinary Internal Medicine guidelines.</p><p><strong>Results: </strong>All biases were acceptable. In dogs ≤ 20 kg, LoA for all SAP looseness factors and MAP looseness factors of 10% and 15% did not fall within the guidelines. In dogs > 20 kg, LoA for all measurements except SAP 5%, 8% and 10% looseness factors fell within the guidelines.</p><p><strong>Conclusions and relevance: </strong>Loosening a cuff up to 15% did not result in significant changes to blood pressure measurements of healthy anesthetized dogs using high definition oscillometry.</p>\",\"PeriodicalId\":17557,\"journal\":{\"name\":\"Journal of Veterinary Science\",\"volume\":\"26 4\",\"pages\":\"e51\"},\"PeriodicalIF\":1.5000,\"publicationDate\":\"2025-07-01\",\"publicationTypes\":\"Journal Article\",\"fieldsOfStudy\":null,\"isOpenAccess\":false,\"openAccessPdf\":\"https://www.ncbi.nlm.nih.gov/pmc/articles/PMC12329061/pdf/\",\"citationCount\":\"0\",\"resultStr\":null,\"platform\":\"Semanticscholar\",\"paperid\":null,\"PeriodicalName\":\"Journal of Veterinary Science\",\"FirstCategoryId\":\"97\",\"ListUrlMain\":\"https://doi.org/10.4142/jvs.25081\",\"RegionNum\":3,\"RegionCategory\":\"农林科学\",\"ArticlePicture\":[],\"TitleCN\":null,\"AbstractTextCN\":null,\"PMCID\":null,\"EPubDate\":\"\",\"PubModel\":\"\",\"JCR\":\"Q2\",\"JCRName\":\"VETERINARY SCIENCES\",\"Score\":null,\"Total\":0}","platform":"Semanticscholar","paperid":null,"PeriodicalName":"Journal of Veterinary Science","FirstCategoryId":"97","ListUrlMain":"https://doi.org/10.4142/jvs.25081","RegionNum":3,"RegionCategory":"农林科学","ArticlePicture":[],"TitleCN":null,"AbstractTextCN":null,"PMCID":null,"EPubDate":"","PubModel":"","JCR":"Q2","JCRName":"VETERINARY SCIENCES","Score":null,"Total":0}
引用次数: 0

摘要

重要性:间接血压监测在兽医学中经常使用。血压袖带松动并没有作为测量错误的原因进行调查。目的:确定袖带松动是否影响健康麻醉犬的血压测量。方法:于2020年12月至2022年5月在某机构执业,将62只麻醉后的健康犬分为≤20 kg和bb0 20 kg两组。测量每只狗的尾底周长,并将基线定义为理想(0%松动因子)。手动按0% ~ 2%、5%、8%、10%、15%的松动系数依次松开袖带。采用高清晰度振荡法测量收缩压(SAP)、平均血压(MAP)和舒张压(DAP)。采用Bland和Altman重复测量法分析基线及各松弛因子的SAP、MAP和DAP测量值。可接受偏倚和一致性限制(LoA)是根据美国兽医内科学院的指南设定的。结果:所有偏倚均可接受。在≤20 kg的犬中,所有SAP松弛因子和MAP松弛因子的LoA分别为10%和15%,不属于指南范围。在体重20公斤的狗中,除了SAP 5%、8%和10%的松动因素外,所有测量的LoA都在指南范围内。结论和相关性:使用高清晰度振荡测量法,将袖带松开15%不会导致健康麻醉犬的血压测量发生显著变化。
本文章由计算机程序翻译,如有差异,请以英文原文为准。

Blood pressure agreement between ideal and loose-fitting cuffs in anesthetized dogs.

Blood pressure agreement between ideal and loose-fitting cuffs in anesthetized dogs.

Blood pressure agreement between ideal and loose-fitting cuffs in anesthetized dogs.

Blood pressure agreement between ideal and loose-fitting cuffs in anesthetized dogs.

Blood pressure agreement between ideal and loose-fitting cuffs in anesthetized dogs.

Blood pressure agreement between ideal and loose-fitting cuffs in anesthetized dogs.

Blood pressure agreement between ideal and loose-fitting cuffs in anesthetized dogs.

Importance: Indirect blood pressure monitoring is used frequently in veterinary medicine. Blood pressure cuff looseness has not been investigated as a cause of erroneous measurements.

Objective: To determine if cuff looseness affects blood pressure measurements in healthy anesthetized dogs.

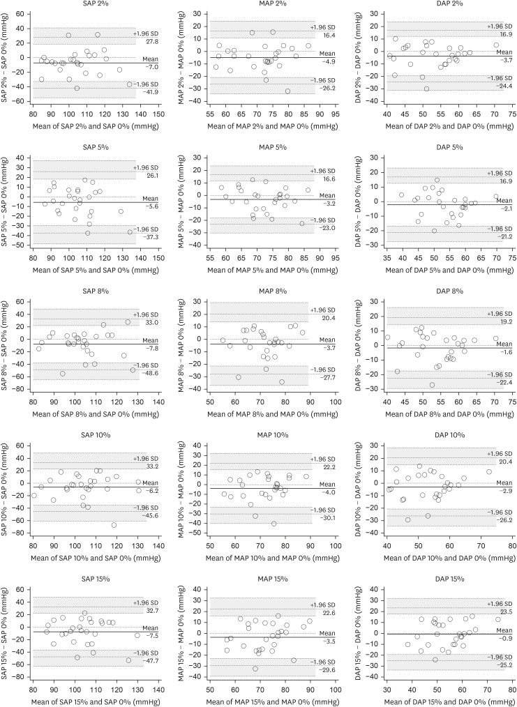
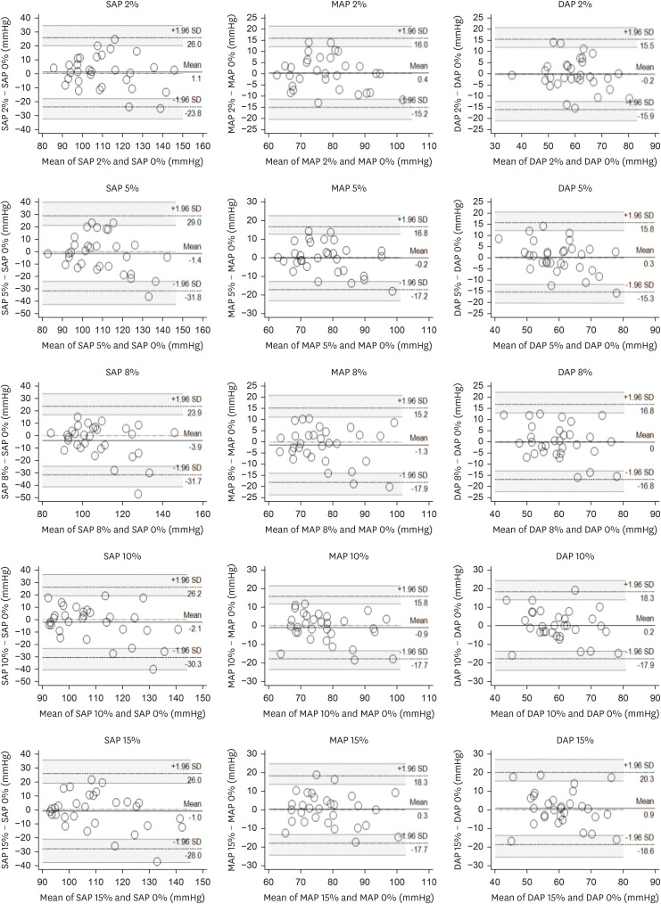
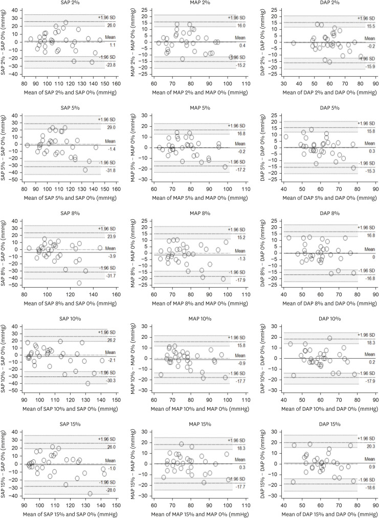
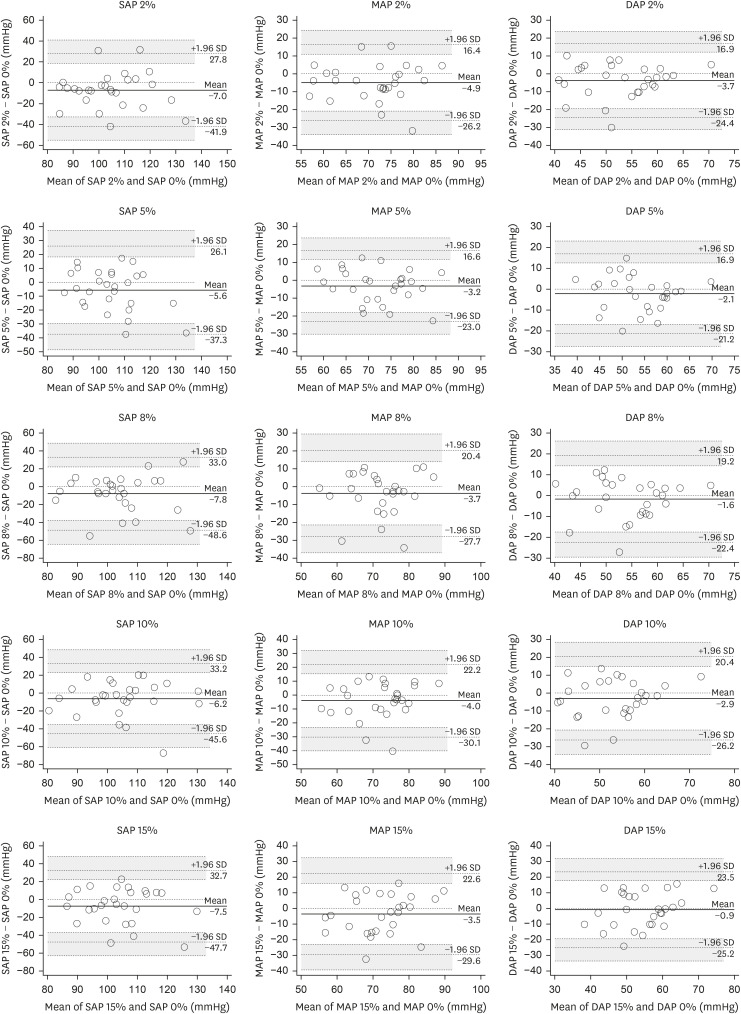
Methods: Between December 2020 and May 2022 at an institutional practice, 62 anesthetized healthy dogs were separated into two groups: ≤ 20 kg and > 20 kg. Tail base circumference of each dog was measured, and baseline was defined as ideal (0% looseness factor). The cuff was manually loosened sequentially from 0% to 2%, 5%, 8%, 10% and 15% looseness factors. High definition oscillometry was used to measure systolic (SAP), mean (MAP) and diastolic (DAP) arterial blood pressures. Bland and Altman for repeated measures was used to analyze SAP, MAP and DAP measurements of baseline and each looseness factor. Acceptable bias and limits of agreement (LoA) were set using American College of Veterinary Internal Medicine guidelines.

Results: All biases were acceptable. In dogs ≤ 20 kg, LoA for all SAP looseness factors and MAP looseness factors of 10% and 15% did not fall within the guidelines. In dogs > 20 kg, LoA for all measurements except SAP 5%, 8% and 10% looseness factors fell within the guidelines.

Conclusions and relevance: Loosening a cuff up to 15% did not result in significant changes to blood pressure measurements of healthy anesthetized dogs using high definition oscillometry.

求助全文
通过发布文献求助,成功后即可免费获取论文全文。 去求助
来源期刊
Journal of Veterinary Science
Journal of Veterinary Science 农林科学-兽医学
CiteScore
3.10
自引率
5.60%
发文量
86
审稿时长
1.3 months
期刊介绍: The Journal of Veterinary Science (J Vet Sci) is devoted to the advancement and dissemination of scientific knowledge concerning veterinary sciences and related academic disciplines. It is an international journal indexed in the Thomson Scientific Web of Science, SCI-EXPANDED, Sci Search, BIOSIS Previews, Biological Abstracts, Focus on: Veterinary Science & Medicine, Zoological Record, PubMed /MEDLINE, Index Medicus, Pubmed Central, CAB Abstracts / Index Veterinarius, EBSCO, AGRIS and AGRICOLA. This journal published in English by the Korean Society of Veterinary Science (KSVS) being distributed worldwide.
×
引用
GB/T 7714-2015
复制
MLA
复制
APA
复制
导出至
BibTeX EndNote RefMan NoteFirst NoteExpress
×
提示
您的信息不完整,为了账户安全,请先补充。
现在去补充
×
提示
您因"违规操作"
具体请查看互助需知
我知道了
×
提示
确定
请完成安全验证×
copy
已复制链接
快去分享给好友吧!
我知道了
右上角分享
点击右上角分享
0
联系我们:info@booksci.cn Book学术提供免费学术资源搜索服务,方便国内外学者检索中英文文献。致力于提供最便捷和优质的服务体验。 Copyright © 2023 布克学术 All rights reserved.
京ICP备2023020795号-1
ghs 京公网安备 11010802042870号
Book学术文献互助
Book学术文献互助群
群 号:604180095
Book学术官方微信