角膜上皮异常:圆锥角膜和结缔组织圆锥角膜的新诊断工具。

IF 4 1区 医学 Q1 OPHTHALMOLOGY
Rui Ning, Chak Seng Lei, Xinning Yang, Yue Li, Yizhou Yang, Ingemar Gustafsson, Giacomo Savini, Domenico Schiano-Lomoriello, Xingtao Zhou, Xiaoying Wang, Jinhai Huang
{"title":"角膜上皮异常:圆锥角膜和结缔组织圆锥角膜的新诊断工具。","authors":"Rui Ning, Chak Seng Lei, Xinning Yang, Yue Li, Yizhou Yang, Ingemar Gustafsson, Giacomo Savini, Domenico Schiano-Lomoriello, Xingtao Zhou, Xiaoying Wang, Jinhai Huang","doi":"10.1186/s40662-025-00449-x","DOIUrl":null,"url":null,"abstract":"<p><strong>Purpose: </strong>To assess the ability of corneal epithelial aberrations to discriminate forme fruste keratoconus (FFKC) and keratoconus (KC) from normal eyes.</p><p><strong>Methods: </strong>This prospective, case-control study enrolled 91 right eyes from 91 normal participants, 87 eyes with FFKC and 148 eyes with KC. Epithelial aberrations for the 6-mm pupil were measured using an anterior segment optical coherence tomography (MS-39, CSO). The epithelial root mean square of higher and lower-order aberrations (total RMS), root mean square of higher-order aberrations (HOAs RMS, from the 3rd to the 7th Zernike polynomials), coma, trefoil, spherical aberration, and secondary astigmatism were recorded. Stepwise logistic regression was utilized to develop the epithelial aberrations index (EAI) for obtaining the optimal discriminant function to diagnose FFKC (EAI-FFKC) and KC (EAI-KC). Area under the receiver operating characteristic curve (AUC) analysis was used to determine the diagnostic accuracy of the indices.</p><p><strong>Results: </strong>FFKC and KC eyes had significantly higher epithelial aberrations than normal eyes. Comparing FFKC with the normal group, epithelial HOAs RMS and coma attained AUC values of 0.714 and 0.788, respectively. The EAI-FFKC showed the highest discrimination ability to differentiate FFKC from normal eyes indicated by an AUC value of 0.822 with 77.0% sensitivity and 75.8% specificity. Comparing KC with the normal group, epithelial HOAs RMS attained AUC values of 0.976-0.998 with 95.2%-100% sensitivity and 92.3%-96.7% specificity, epithelial coma attained AUC values of 0.974-0.997 with 92.9%-100% sensitivity and 96.7%-98.9% specificity. The EAI-KC showed the highest discriminative ability to differentiate KC from normal eyes indicated by AUC of 0.996 with 98.6% sensitivity and 98.9% specificity.</p><p><strong>Conclusion: </strong>Epithelial wavefront analysis can identify abnormal epithelial changes across all stages of KC, from very early to severe. Epithelial aberrations can be used as a diagnostic tool for KC and FFKC.</p>","PeriodicalId":12194,"journal":{"name":"Eye and Vision","volume":"12 1","pages":"31"},"PeriodicalIF":4.0000,"publicationDate":"2025-08-06","publicationTypes":"Journal Article","fieldsOfStudy":null,"isOpenAccess":false,"openAccessPdf":"https://www.ncbi.nlm.nih.gov/pmc/articles/PMC12326862/pdf/","citationCount":"0","resultStr":"{\"title\":\"Corneal epithelial aberrations: a novel diagnostic tool for keratoconus and forme fruste keratoconus.\",\"authors\":\"Rui Ning, Chak Seng Lei, Xinning Yang, Yue Li, Yizhou Yang, Ingemar Gustafsson, Giacomo Savini, Domenico Schiano-Lomoriello, Xingtao Zhou, Xiaoying Wang, Jinhai Huang\",\"doi\":\"10.1186/s40662-025-00449-x\",\"DOIUrl\":null,\"url\":null,\"abstract\":\"<p><strong>Purpose: </strong>To assess the ability of corneal epithelial aberrations to discriminate forme fruste keratoconus (FFKC) and keratoconus (KC) from normal eyes.</p><p><strong>Methods: </strong>This prospective, case-control study enrolled 91 right eyes from 91 normal participants, 87 eyes with FFKC and 148 eyes with KC. Epithelial aberrations for the 6-mm pupil were measured using an anterior segment optical coherence tomography (MS-39, CSO). The epithelial root mean square of higher and lower-order aberrations (total RMS), root mean square of higher-order aberrations (HOAs RMS, from the 3rd to the 7th Zernike polynomials), coma, trefoil, spherical aberration, and secondary astigmatism were recorded. Stepwise logistic regression was utilized to develop the epithelial aberrations index (EAI) for obtaining the optimal discriminant function to diagnose FFKC (EAI-FFKC) and KC (EAI-KC). Area under the receiver operating characteristic curve (AUC) analysis was used to determine the diagnostic accuracy of the indices.</p><p><strong>Results: </strong>FFKC and KC eyes had significantly higher epithelial aberrations than normal eyes. Comparing FFKC with the normal group, epithelial HOAs RMS and coma attained AUC values of 0.714 and 0.788, respectively. The EAI-FFKC showed the highest discrimination ability to differentiate FFKC from normal eyes indicated by an AUC value of 0.822 with 77.0% sensitivity and 75.8% specificity. Comparing KC with the normal group, epithelial HOAs RMS attained AUC values of 0.976-0.998 with 95.2%-100% sensitivity and 92.3%-96.7% specificity, epithelial coma attained AUC values of 0.974-0.997 with 92.9%-100% sensitivity and 96.7%-98.9% specificity. The EAI-KC showed the highest discriminative ability to differentiate KC from normal eyes indicated by AUC of 0.996 with 98.6% sensitivity and 98.9% specificity.</p><p><strong>Conclusion: </strong>Epithelial wavefront analysis can identify abnormal epithelial changes across all stages of KC, from very early to severe. Epithelial aberrations can be used as a diagnostic tool for KC and FFKC.</p>\",\"PeriodicalId\":12194,\"journal\":{\"name\":\"Eye and Vision\",\"volume\":\"12 1\",\"pages\":\"31\"},\"PeriodicalIF\":4.0000,\"publicationDate\":\"2025-08-06\",\"publicationTypes\":\"Journal Article\",\"fieldsOfStudy\":null,\"isOpenAccess\":false,\"openAccessPdf\":\"https://www.ncbi.nlm.nih.gov/pmc/articles/PMC12326862/pdf/\",\"citationCount\":\"0\",\"resultStr\":null,\"platform\":\"Semanticscholar\",\"paperid\":null,\"PeriodicalName\":\"Eye and Vision\",\"FirstCategoryId\":\"3\",\"ListUrlMain\":\"https://doi.org/10.1186/s40662-025-00449-x\",\"RegionNum\":1,\"RegionCategory\":\"医学\",\"ArticlePicture\":[],\"TitleCN\":null,\"AbstractTextCN\":null,\"PMCID\":null,\"EPubDate\":\"\",\"PubModel\":\"\",\"JCR\":\"Q1\",\"JCRName\":\"OPHTHALMOLOGY\",\"Score\":null,\"Total\":0}","platform":"Semanticscholar","paperid":null,"PeriodicalName":"Eye and Vision","FirstCategoryId":"3","ListUrlMain":"https://doi.org/10.1186/s40662-025-00449-x","RegionNum":1,"RegionCategory":"医学","ArticlePicture":[],"TitleCN":null,"AbstractTextCN":null,"PMCID":null,"EPubDate":"","PubModel":"","JCR":"Q1","JCRName":"OPHTHALMOLOGY","Score":null,"Total":0}
引用次数: 0

摘要

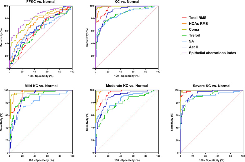
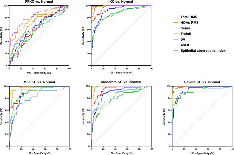
目的:评价角膜上皮畸变对结痂性圆锥角膜(FFKC)和圆锥角膜(KC)与正常眼的区分能力。方法:本前瞻性病例对照研究纳入91只正常受试者的91只右眼,87只FFKC眼和148只KC眼,使用前段光学相干断层扫描(MS-39, CSO)测量6mm瞳孔的上皮像差。记录上皮高阶像差和低阶像差的均方根(总RMS)、高阶像差的均方根(HOAs RMS,第3 ~ 7次泽尼克多项式)、彗差、三叶草差、球差和次生像散。利用逐步逻辑回归建立上皮畸变指数(EAI),获得诊断FFKC (EAI-FFKC)和KC (EAI-KC)的最佳判别函数。采用受试者工作特征曲线下面积(AUC)分析确定各指标的诊断准确性。结果:FFKC和KC眼上皮畸变明显高于正常眼。FFKC与正常组比较,上皮HOAs RMS和昏迷的AUC值分别为0.714和0.788。EAI-FFKC对FFKC与正常眼的鉴别能力最高,AUC值为0.822,敏感性77.0%,特异性75.8%。KC组与正常组比较,上皮HOAs RMS的AUC值为0.976 ~ 0.998,敏感性95.2% ~ 100%,特异性92.3% ~ 96.7%;上皮昏迷的AUC值为0.974 ~ 0.997,敏感性92.9% ~ 100%,特异性96.7% ~ 98.9%。EAI-KC对KC与正常眼的鉴别能力最高,AUC为0.996,灵敏度为98.6%,特异性为98.9%。结论:上皮波前分析可以识别KC从早期到严重各个阶段的异常上皮变化。上皮畸变可作为KC和FFKC的诊断工具。
本文章由计算机程序翻译,如有差异,请以英文原文为准。

Corneal epithelial aberrations: a novel diagnostic tool for keratoconus and forme fruste keratoconus.

Corneal epithelial aberrations: a novel diagnostic tool for keratoconus and forme fruste keratoconus.

Corneal epithelial aberrations: a novel diagnostic tool for keratoconus and forme fruste keratoconus.

Corneal epithelial aberrations: a novel diagnostic tool for keratoconus and forme fruste keratoconus.

Corneal epithelial aberrations: a novel diagnostic tool for keratoconus and forme fruste keratoconus.

Corneal epithelial aberrations: a novel diagnostic tool for keratoconus and forme fruste keratoconus.

Corneal epithelial aberrations: a novel diagnostic tool for keratoconus and forme fruste keratoconus.

Purpose: To assess the ability of corneal epithelial aberrations to discriminate forme fruste keratoconus (FFKC) and keratoconus (KC) from normal eyes.

Methods: This prospective, case-control study enrolled 91 right eyes from 91 normal participants, 87 eyes with FFKC and 148 eyes with KC. Epithelial aberrations for the 6-mm pupil were measured using an anterior segment optical coherence tomography (MS-39, CSO). The epithelial root mean square of higher and lower-order aberrations (total RMS), root mean square of higher-order aberrations (HOAs RMS, from the 3rd to the 7th Zernike polynomials), coma, trefoil, spherical aberration, and secondary astigmatism were recorded. Stepwise logistic regression was utilized to develop the epithelial aberrations index (EAI) for obtaining the optimal discriminant function to diagnose FFKC (EAI-FFKC) and KC (EAI-KC). Area under the receiver operating characteristic curve (AUC) analysis was used to determine the diagnostic accuracy of the indices.

Results: FFKC and KC eyes had significantly higher epithelial aberrations than normal eyes. Comparing FFKC with the normal group, epithelial HOAs RMS and coma attained AUC values of 0.714 and 0.788, respectively. The EAI-FFKC showed the highest discrimination ability to differentiate FFKC from normal eyes indicated by an AUC value of 0.822 with 77.0% sensitivity and 75.8% specificity. Comparing KC with the normal group, epithelial HOAs RMS attained AUC values of 0.976-0.998 with 95.2%-100% sensitivity and 92.3%-96.7% specificity, epithelial coma attained AUC values of 0.974-0.997 with 92.9%-100% sensitivity and 96.7%-98.9% specificity. The EAI-KC showed the highest discriminative ability to differentiate KC from normal eyes indicated by AUC of 0.996 with 98.6% sensitivity and 98.9% specificity.

Conclusion: Epithelial wavefront analysis can identify abnormal epithelial changes across all stages of KC, from very early to severe. Epithelial aberrations can be used as a diagnostic tool for KC and FFKC.

求助全文
通过发布文献求助,成功后即可免费获取论文全文。 去求助
来源期刊
Eye and Vision
Eye and Vision OPHTHALMOLOGY-
CiteScore
8.60
自引率
2.40%
发文量
89
审稿时长
15 weeks
期刊介绍: Eye and Vision is an open access, peer-reviewed journal for ophthalmologists and visual science specialists. It welcomes research articles, reviews, methodologies, commentaries, case reports, perspectives and short reports encompassing all aspects of eye and vision. Topics of interest include but are not limited to: current developments of theoretical, experimental and clinical investigations in ophthalmology, optometry and vision science which focus on novel and high-impact findings on central issues pertaining to biology, pathophysiology and etiology of eye diseases as well as advances in diagnostic techniques, surgical treatment, instrument updates, the latest drug findings, results of clinical trials and research findings. It aims to provide ophthalmologists and visual science specialists with the latest developments in theoretical, experimental and clinical investigations in eye and vision.
×
引用
GB/T 7714-2015
复制
MLA
复制
APA
复制
导出至
BibTeX EndNote RefMan NoteFirst NoteExpress
×
提示
您的信息不完整,为了账户安全,请先补充。
现在去补充
×
提示
您因"违规操作"
具体请查看互助需知
我知道了
×
提示
确定
请完成安全验证×
copy
已复制链接
快去分享给好友吧!
我知道了
右上角分享
点击右上角分享
0
联系我们:info@booksci.cn Book学术提供免费学术资源搜索服务,方便国内外学者检索中英文文献。致力于提供最便捷和优质的服务体验。 Copyright © 2023 布克学术 All rights reserved.
京ICP备2023020795号-1
ghs 京公网安备 11010802042870号
Book学术文献互助
Book学术文献互助群
群 号:604180095
Book学术官方微信