中国人群血糖指标与代谢性疾病的关系:一项全国性横断面研究

IF 7.3 3区 医学 Q1 MEDICINE, GENERAL & INTERNAL
Chinese Medical Journal Pub Date : 2025-09-05 Epub Date: 2025-08-05 DOI:10.1097/CM9.0000000000003701
Lijun Tian, Cihang Lu, Di Teng, Weiping Teng
{"title":"中国人群血糖指标与代谢性疾病的关系:一项全国性横断面研究","authors":"Lijun Tian, Cihang Lu, Di Teng, Weiping Teng","doi":"10.1097/CM9.0000000000003701","DOIUrl":null,"url":null,"abstract":"<p><strong>Background: </strong>Studies on the impact of blood glucose indicators on metabolism remain relatively scarce. The aim of this study was to investigate the associations between blood glucose indicators and metabolic disorders in China.</p><p><strong>Methods: </strong>Data were from the Thyroid disorders, Iodine status and Diabetes Epidemiological survey (TIDE survey), which randomly selected 31 cities from 31 provinces in the Chinese mainland. A total of 68,383 participants without preexisting diabetes and have complete data on blood glucose, lipids, and blood pressure were included in the analysis. The diabetic population was divided into seven groups based on different types of elevated blood glucose levels, including fasting plasma glucose (FPG), postprandial glucose (PPG), and hemoglobin A1c (HbA1c): FPG ≥7 mmol/L; PPG ≥11.1 mmol/L; HbA1c ≥6.5%; FPG ≥7 mmol/L and PPG ≥11.1 mmol/L; FPG ≥7 mmol/L and HbA1c ≥6.5%; PPG ≥11.1 mmol/L and HbA1c ≥6.5%; FPG ≥7 mmol/L, PPG ≥11.1 mmol/L, and HbA1c ≥6.5%. The effects of each blood glucose indicator on metabolism were investigated separately. Weighted calculation was applied during the analysis, with the weighting coefficient based on the number of people corresponding to the population characteristics of each sample in the 2010 Chinese Census. A logistic regression model with restricted cubic splines (RCS) was employed to characterize the nonlinear associations of age and body mass index (BMI) with the risk of diabetes subtypes defined by distinct blood glucose indicators elevations, as well as the relationships between different blood glucose indicators (FPG, PPG, HbA1c) and the risk of metabolic disorders such as hypertension, hypertriglyceridemia, hypercholesterolemia, high low-density lipoprotein cholesterol (high LDL-C) and low high-density lipoprotein cholesterol (low HDL-C).</p><p><strong>Results: </strong>Among individuals with diabetes, elevated PPG alone was the most common abnormality, affecting 26.96% (1382/5127) of the population. Among the seven groups with only one elevated blood glucose indicator, individuals with elevated PPG alone exhibited the highest mean levels of triglycerides (TG) at 2.11 mmol/L (95% confidence interval [CI]: 1.97-2.25 mmol/L, P = 0.004), total cholesterol (TC) at 5.26 mmol/L (95% CI: 5.18-5.33 mmol/L, P <0.001), and low-density lipoprotein cholesterol (LDL-C) at 3.12 mmol/L, (95% CI: 3.06-3.19 mmol/L, P = 0.001). Individuals with elevated PPG alone showed a high prevalence of hypertension (806/1382, 58.32%), hypertriglyceridemia (676/1382, 48.91%), hypercholesterolemia (694/1382, 50.22%), High LDL-C (525/1382, 37.94%), and Low HDL-C (364/1382, 26.34%). The association of age and BMI with the risk of diabetes revealed that the older the patient, the steeper the RCS curve for the odds ratio (OR) of diabetes with elevated PPG alone (age = 60, OR = 2.79, 95% CI [2.49-3.12], P <0.01). Similarly, as BMI increased, the RCS curve for the OR of diabetes with elevated HbA1c alone also steepened (BMI = 35, OR = 3.75, 95% CI [3.23-4.35], P <0.001). Additionally, the RCS yielded a positive association between blood glucose indicators and metabolic diseases risk. In individuals with diabetes, RCS for both the ORs of metabolic diseases (hypertension, hypertriglyceridemia, hypercholesterolemia, high LDL-C, low HDL-C) and the levels of metabolic indicators (TG, TC, LDL-C, HDL-C) revealed some inflection points within the ranges of FPG 5-6 mmol/L, PPG 6-8 mmol/L, and HbA1c 5.5-6.0%.</p><p><strong>Conclusions: </strong>PPG is more closely related to metabolic disorders than FPG and HbA1c in people with diabetes. For patients with diabetes and metabolic disorders, it may be necessary to monitor blood glucose fluctuations within specific ranges (FPG 5-6 mmol/L, PPG 6-8 mmol/L, and HbA1c 5.5-6.0%).</p>","PeriodicalId":10183,"journal":{"name":"Chinese Medical Journal","volume":" ","pages":"2159-2169"},"PeriodicalIF":7.3000,"publicationDate":"2025-09-05","publicationTypes":"Journal Article","fieldsOfStudy":null,"isOpenAccess":false,"openAccessPdf":"https://www.ncbi.nlm.nih.gov/pmc/articles/PMC12407167/pdf/","citationCount":"0","resultStr":"{\"title\":\"Association between blood glucose indicators and metabolic diseases in the Chinese population: A national cross-sectional study.\",\"authors\":\"Lijun Tian, Cihang Lu, Di Teng, Weiping Teng\",\"doi\":\"10.1097/CM9.0000000000003701\",\"DOIUrl\":null,\"url\":null,\"abstract\":\"<p><strong>Background: </strong>Studies on the impact of blood glucose indicators on metabolism remain relatively scarce. The aim of this study was to investigate the associations between blood glucose indicators and metabolic disorders in China.</p><p><strong>Methods: </strong>Data were from the Thyroid disorders, Iodine status and Diabetes Epidemiological survey (TIDE survey), which randomly selected 31 cities from 31 provinces in the Chinese mainland. A total of 68,383 participants without preexisting diabetes and have complete data on blood glucose, lipids, and blood pressure were included in the analysis. The diabetic population was divided into seven groups based on different types of elevated blood glucose levels, including fasting plasma glucose (FPG), postprandial glucose (PPG), and hemoglobin A1c (HbA1c): FPG ≥7 mmol/L; PPG ≥11.1 mmol/L; HbA1c ≥6.5%; FPG ≥7 mmol/L and PPG ≥11.1 mmol/L; FPG ≥7 mmol/L and HbA1c ≥6.5%; PPG ≥11.1 mmol/L and HbA1c ≥6.5%; FPG ≥7 mmol/L, PPG ≥11.1 mmol/L, and HbA1c ≥6.5%. The effects of each blood glucose indicator on metabolism were investigated separately. Weighted calculation was applied during the analysis, with the weighting coefficient based on the number of people corresponding to the population characteristics of each sample in the 2010 Chinese Census. A logistic regression model with restricted cubic splines (RCS) was employed to characterize the nonlinear associations of age and body mass index (BMI) with the risk of diabetes subtypes defined by distinct blood glucose indicators elevations, as well as the relationships between different blood glucose indicators (FPG, PPG, HbA1c) and the risk of metabolic disorders such as hypertension, hypertriglyceridemia, hypercholesterolemia, high low-density lipoprotein cholesterol (high LDL-C) and low high-density lipoprotein cholesterol (low HDL-C).</p><p><strong>Results: </strong>Among individuals with diabetes, elevated PPG alone was the most common abnormality, affecting 26.96% (1382/5127) of the population. Among the seven groups with only one elevated blood glucose indicator, individuals with elevated PPG alone exhibited the highest mean levels of triglycerides (TG) at 2.11 mmol/L (95% confidence interval [CI]: 1.97-2.25 mmol/L, P = 0.004), total cholesterol (TC) at 5.26 mmol/L (95% CI: 5.18-5.33 mmol/L, P <0.001), and low-density lipoprotein cholesterol (LDL-C) at 3.12 mmol/L, (95% CI: 3.06-3.19 mmol/L, P = 0.001). Individuals with elevated PPG alone showed a high prevalence of hypertension (806/1382, 58.32%), hypertriglyceridemia (676/1382, 48.91%), hypercholesterolemia (694/1382, 50.22%), High LDL-C (525/1382, 37.94%), and Low HDL-C (364/1382, 26.34%). The association of age and BMI with the risk of diabetes revealed that the older the patient, the steeper the RCS curve for the odds ratio (OR) of diabetes with elevated PPG alone (age = 60, OR = 2.79, 95% CI [2.49-3.12], P <0.01). Similarly, as BMI increased, the RCS curve for the OR of diabetes with elevated HbA1c alone also steepened (BMI = 35, OR = 3.75, 95% CI [3.23-4.35], P <0.001). Additionally, the RCS yielded a positive association between blood glucose indicators and metabolic diseases risk. In individuals with diabetes, RCS for both the ORs of metabolic diseases (hypertension, hypertriglyceridemia, hypercholesterolemia, high LDL-C, low HDL-C) and the levels of metabolic indicators (TG, TC, LDL-C, HDL-C) revealed some inflection points within the ranges of FPG 5-6 mmol/L, PPG 6-8 mmol/L, and HbA1c 5.5-6.0%.</p><p><strong>Conclusions: </strong>PPG is more closely related to metabolic disorders than FPG and HbA1c in people with diabetes. For patients with diabetes and metabolic disorders, it may be necessary to monitor blood glucose fluctuations within specific ranges (FPG 5-6 mmol/L, PPG 6-8 mmol/L, and HbA1c 5.5-6.0%).</p>\",\"PeriodicalId\":10183,\"journal\":{\"name\":\"Chinese Medical Journal\",\"volume\":\" \",\"pages\":\"2159-2169\"},\"PeriodicalIF\":7.3000,\"publicationDate\":\"2025-09-05\",\"publicationTypes\":\"Journal Article\",\"fieldsOfStudy\":null,\"isOpenAccess\":false,\"openAccessPdf\":\"https://www.ncbi.nlm.nih.gov/pmc/articles/PMC12407167/pdf/\",\"citationCount\":\"0\",\"resultStr\":null,\"platform\":\"Semanticscholar\",\"paperid\":null,\"PeriodicalName\":\"Chinese Medical Journal\",\"FirstCategoryId\":\"3\",\"ListUrlMain\":\"https://doi.org/10.1097/CM9.0000000000003701\",\"RegionNum\":3,\"RegionCategory\":\"医学\",\"ArticlePicture\":[],\"TitleCN\":null,\"AbstractTextCN\":null,\"PMCID\":null,\"EPubDate\":\"2025/8/5 0:00:00\",\"PubModel\":\"Epub\",\"JCR\":\"Q1\",\"JCRName\":\"MEDICINE, GENERAL & INTERNAL\",\"Score\":null,\"Total\":0}","platform":"Semanticscholar","paperid":null,"PeriodicalName":"Chinese Medical Journal","FirstCategoryId":"3","ListUrlMain":"https://doi.org/10.1097/CM9.0000000000003701","RegionNum":3,"RegionCategory":"医学","ArticlePicture":[],"TitleCN":null,"AbstractTextCN":null,"PMCID":null,"EPubDate":"2025/8/5 0:00:00","PubModel":"Epub","JCR":"Q1","JCRName":"MEDICINE, GENERAL & INTERNAL","Score":null,"Total":0}
引用次数: 0

摘要

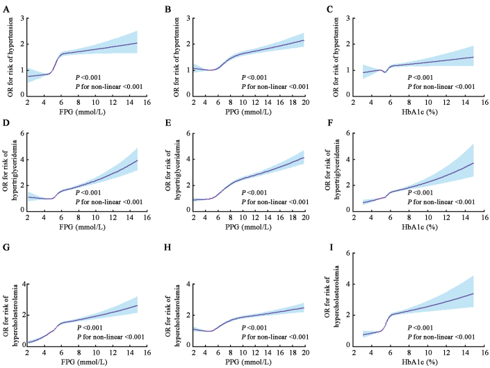
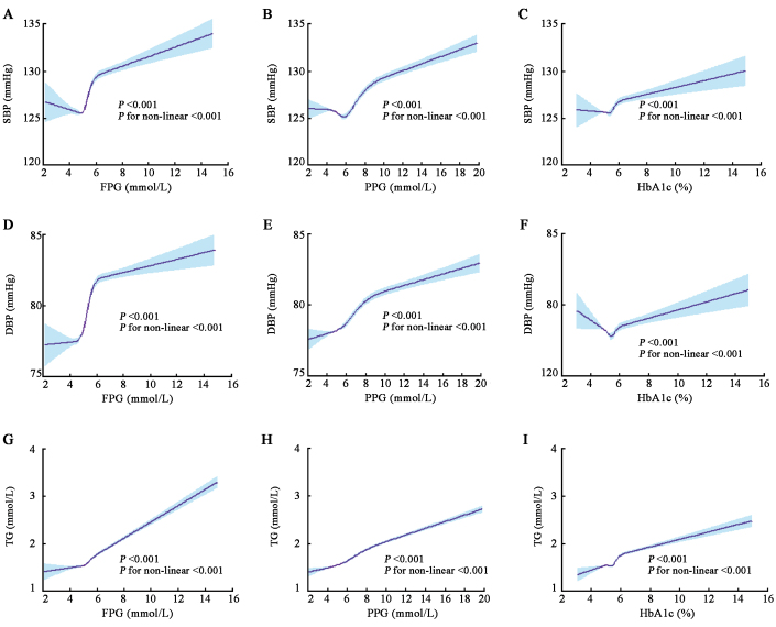
背景:关于血糖指标对代谢影响的研究相对较少。本研究的目的是探讨中国血糖指标与代谢紊乱之间的关系。方法:数据来源于中国大陆31个省31个城市的甲状腺疾病、碘状况及糖尿病流行病学调查(TIDE)。共有68,383名参与者没有先前存在的糖尿病,并有完整的血糖,血脂和血压数据被纳入分析。根据空腹血糖(FPG)、餐后血糖(PPG)、血红蛋白A1c (HbA1c)升高的不同类型将糖尿病人群分为7组:FPG≥7 mmol/L;PPG≥11.1 mmol/L;糖化血红蛋白≥6.5%;FPG≥7 mmol/L, PPG≥11.1 mmol/L;FPG≥7 mmol/L, HbA1c≥6.5%;PPG≥11.1 mmol/L, HbA1c≥6.5%;FPG≥7 mmol/L, PPG≥11.1 mmol/L, HbA1c≥6.5%。分别考察各血糖指标对代谢的影响。分析时采用加权计算,加权系数以2010年中国人口普查各样本人口特征所对应的人口数为依据。采用限制三次样条logistic回归模型(RCS)表征年龄和体重指数(BMI)与不同血糖指标升高所定义的糖尿病亚型风险的非线性关联,以及不同血糖指标(FPG、PPG、HbA1c)与高血压、高甘油三酯血症、高胆固醇血症、高脂血症等代谢性疾病风险的关系。高低密度脂蛋白胆固醇(高LDL-C)和低高密度脂蛋白胆固醇(低HDL-C)。结果:在糖尿病患者中,仅PPG升高是最常见的异常,影响26.96%(1382/5127)的人群。在仅有一项血糖指标升高的7组中,单独PPG升高个体的甘油三酯(TG)平均水平最高,为2.11 mmol/L(95%可信区间[CI]: 1.97-2.25 mmol/L, P = 0.004),总胆固醇(TC)平均水平最高,为5.26 mmol/L (95% CI: 5.18-5.33 mmol/L, P)结论:糖尿病患者PPG与代谢紊乱的关系比FPG和HbA1c更密切。对于糖尿病合并代谢紊乱的患者,可能需要监测特定范围内的血糖波动(FPG 5-6 mmol/L, PPG 6-8 mmol/L, HbA1c 5.5-6.0%)。
本文章由计算机程序翻译,如有差异,请以英文原文为准。

Association between blood glucose indicators and metabolic diseases in the Chinese population: A national cross-sectional study.

Association between blood glucose indicators and metabolic diseases in the Chinese population: A national cross-sectional study.

Association between blood glucose indicators and metabolic diseases in the Chinese population: A national cross-sectional study.

Association between blood glucose indicators and metabolic diseases in the Chinese population: A national cross-sectional study.

Background: Studies on the impact of blood glucose indicators on metabolism remain relatively scarce. The aim of this study was to investigate the associations between blood glucose indicators and metabolic disorders in China.

Methods: Data were from the Thyroid disorders, Iodine status and Diabetes Epidemiological survey (TIDE survey), which randomly selected 31 cities from 31 provinces in the Chinese mainland. A total of 68,383 participants without preexisting diabetes and have complete data on blood glucose, lipids, and blood pressure were included in the analysis. The diabetic population was divided into seven groups based on different types of elevated blood glucose levels, including fasting plasma glucose (FPG), postprandial glucose (PPG), and hemoglobin A1c (HbA1c): FPG ≥7 mmol/L; PPG ≥11.1 mmol/L; HbA1c ≥6.5%; FPG ≥7 mmol/L and PPG ≥11.1 mmol/L; FPG ≥7 mmol/L and HbA1c ≥6.5%; PPG ≥11.1 mmol/L and HbA1c ≥6.5%; FPG ≥7 mmol/L, PPG ≥11.1 mmol/L, and HbA1c ≥6.5%. The effects of each blood glucose indicator on metabolism were investigated separately. Weighted calculation was applied during the analysis, with the weighting coefficient based on the number of people corresponding to the population characteristics of each sample in the 2010 Chinese Census. A logistic regression model with restricted cubic splines (RCS) was employed to characterize the nonlinear associations of age and body mass index (BMI) with the risk of diabetes subtypes defined by distinct blood glucose indicators elevations, as well as the relationships between different blood glucose indicators (FPG, PPG, HbA1c) and the risk of metabolic disorders such as hypertension, hypertriglyceridemia, hypercholesterolemia, high low-density lipoprotein cholesterol (high LDL-C) and low high-density lipoprotein cholesterol (low HDL-C).

Results: Among individuals with diabetes, elevated PPG alone was the most common abnormality, affecting 26.96% (1382/5127) of the population. Among the seven groups with only one elevated blood glucose indicator, individuals with elevated PPG alone exhibited the highest mean levels of triglycerides (TG) at 2.11 mmol/L (95% confidence interval [CI]: 1.97-2.25 mmol/L, P = 0.004), total cholesterol (TC) at 5.26 mmol/L (95% CI: 5.18-5.33 mmol/L, P <0.001), and low-density lipoprotein cholesterol (LDL-C) at 3.12 mmol/L, (95% CI: 3.06-3.19 mmol/L, P = 0.001). Individuals with elevated PPG alone showed a high prevalence of hypertension (806/1382, 58.32%), hypertriglyceridemia (676/1382, 48.91%), hypercholesterolemia (694/1382, 50.22%), High LDL-C (525/1382, 37.94%), and Low HDL-C (364/1382, 26.34%). The association of age and BMI with the risk of diabetes revealed that the older the patient, the steeper the RCS curve for the odds ratio (OR) of diabetes with elevated PPG alone (age = 60, OR = 2.79, 95% CI [2.49-3.12], P <0.01). Similarly, as BMI increased, the RCS curve for the OR of diabetes with elevated HbA1c alone also steepened (BMI = 35, OR = 3.75, 95% CI [3.23-4.35], P <0.001). Additionally, the RCS yielded a positive association between blood glucose indicators and metabolic diseases risk. In individuals with diabetes, RCS for both the ORs of metabolic diseases (hypertension, hypertriglyceridemia, hypercholesterolemia, high LDL-C, low HDL-C) and the levels of metabolic indicators (TG, TC, LDL-C, HDL-C) revealed some inflection points within the ranges of FPG 5-6 mmol/L, PPG 6-8 mmol/L, and HbA1c 5.5-6.0%.

Conclusions: PPG is more closely related to metabolic disorders than FPG and HbA1c in people with diabetes. For patients with diabetes and metabolic disorders, it may be necessary to monitor blood glucose fluctuations within specific ranges (FPG 5-6 mmol/L, PPG 6-8 mmol/L, and HbA1c 5.5-6.0%).

求助全文
通过发布文献求助,成功后即可免费获取论文全文。 去求助
来源期刊
Chinese Medical Journal
Chinese Medical Journal 医学-医学:内科
CiteScore
9.80
自引率
4.90%
发文量
19245
审稿时长
6 months
期刊介绍: The Chinese Medical Journal (CMJ) is published semimonthly in English by the Chinese Medical Association, and is a peer reviewed general medical journal for all doctors, researchers, and health workers regardless of their medical specialty or type of employment. Established in 1887, it is the oldest medical periodical in China and is distributed worldwide. The journal functions as a window into China’s medical sciences and reflects the advances and progress in China’s medical sciences and technology. It serves the objective of international academic exchange. The journal includes Original Articles, Editorial, Review Articles, Medical Progress, Brief Reports, Case Reports, Viewpoint, Clinical Exchange, Letter,and News,etc. CMJ is abstracted or indexed in many databases including Biological Abstracts, Chemical Abstracts, Index Medicus/Medline, Science Citation Index (SCI), Current Contents, Cancerlit, Health Plan & Administration, Embase, Social Scisearch, Aidsline, Toxline, Biocommercial Abstracts, Arts and Humanities Search, Nuclear Science Abstracts, Water Resources Abstracts, Cab Abstracts, Occupation Safety & Health, etc. In 2007, the impact factor of the journal by SCI is 0.636, and the total citation is 2315.
×
引用
GB/T 7714-2015
复制
MLA
复制
APA
复制
导出至
BibTeX EndNote RefMan NoteFirst NoteExpress
×
提示
您的信息不完整,为了账户安全,请先补充。
现在去补充
×
提示
您因"违规操作"
具体请查看互助需知
我知道了
×
提示
确定
请完成安全验证×
copy
已复制链接
快去分享给好友吧!
我知道了
右上角分享
点击右上角分享
0
联系我们:info@booksci.cn Book学术提供免费学术资源搜索服务,方便国内外学者检索中英文文献。致力于提供最便捷和优质的服务体验。 Copyright © 2023 布克学术 All rights reserved.
京ICP备2023020795号-1
ghs 京公网安备 11010802042870号
Book学术文献互助
Book学术文献互助群
群 号:604180095
Book学术官方微信