人类阴道细菌crispatus乳杆菌的化学定义培养基对宿主依赖性的见解。

IF 2.6 3区 生物学 Q3 MICROBIOLOGY
P. Achterberg, N. J. K. van Geenen, R. Y. Hertzberger, D. Molenaar, M. C. M. van Loosdrecht, R. Kort
{"title":"人类阴道细菌crispatus乳杆菌的化学定义培养基对宿主依赖性的见解。","authors":"P. Achterberg,&nbsp;N. J. K. van Geenen,&nbsp;R. Y. Hertzberger,&nbsp;D. Molenaar,&nbsp;M. C. M. van Loosdrecht,&nbsp;R. Kort","doi":"10.1007/s00203-025-04406-z","DOIUrl":null,"url":null,"abstract":"<div><p>A <i>Lactobacillus</i>-rich vaginal microbiome is associated with a reduced risk for sexually transmitted diseases and adverse reproductive health outcomes, with <i>Lactobacillus crispatus</i> identified as particularly beneficial. This study investigated the nutritional requirements of two vaginal isolates, <i>L. crispatus</i> RL09 and RL10, and presents a chemically defined medium (CDM) that supports their growth. This study experimentally validated that <i>L. crispatus</i> relies on exogenous fatty acids, essential B vitamins, including riboflavin (B2), niacin (B3) and pantothenate (B5), and all eighteen amino acids for sustained growth. On one hand, this body of work adds to the physiological understanding of <i>Lactobacilliaceae</i> and lays the groundwork for future quantitative studies on <i>L. crispatus</i>. On the other hand, we have shown that <i>L. crispatus</i> exhibits a high metabolic dependency on its environment. These dependencies underscore the potential sensitivity of <i>L. crispatus</i> to nutrient variations, which may influence its ability to dominate and maintain a healthy vaginal ecosystem.</p></div>","PeriodicalId":8279,"journal":{"name":"Archives of Microbiology","volume":"207 9","pages":""},"PeriodicalIF":2.6000,"publicationDate":"2025-08-06","publicationTypes":"Journal Article","fieldsOfStudy":null,"isOpenAccess":false,"openAccessPdf":"https://www.ncbi.nlm.nih.gov/pmc/articles/PMC12328491/pdf/","citationCount":"0","resultStr":"{\"title\":\"Insights into host dependency from a chemically defined medium for the human vaginal bacterium Lactobacillus crispatus\",\"authors\":\"P. Achterberg,&nbsp;N. J. K. van Geenen,&nbsp;R. Y. Hertzberger,&nbsp;D. Molenaar,&nbsp;M. C. M. van Loosdrecht,&nbsp;R. Kort\",\"doi\":\"10.1007/s00203-025-04406-z\",\"DOIUrl\":null,\"url\":null,\"abstract\":\"<div><p>A <i>Lactobacillus</i>-rich vaginal microbiome is associated with a reduced risk for sexually transmitted diseases and adverse reproductive health outcomes, with <i>Lactobacillus crispatus</i> identified as particularly beneficial. This study investigated the nutritional requirements of two vaginal isolates, <i>L. crispatus</i> RL09 and RL10, and presents a chemically defined medium (CDM) that supports their growth. This study experimentally validated that <i>L. crispatus</i> relies on exogenous fatty acids, essential B vitamins, including riboflavin (B2), niacin (B3) and pantothenate (B5), and all eighteen amino acids for sustained growth. On one hand, this body of work adds to the physiological understanding of <i>Lactobacilliaceae</i> and lays the groundwork for future quantitative studies on <i>L. crispatus</i>. On the other hand, we have shown that <i>L. crispatus</i> exhibits a high metabolic dependency on its environment. These dependencies underscore the potential sensitivity of <i>L. crispatus</i> to nutrient variations, which may influence its ability to dominate and maintain a healthy vaginal ecosystem.</p></div>\",\"PeriodicalId\":8279,\"journal\":{\"name\":\"Archives of Microbiology\",\"volume\":\"207 9\",\"pages\":\"\"},\"PeriodicalIF\":2.6000,\"publicationDate\":\"2025-08-06\",\"publicationTypes\":\"Journal Article\",\"fieldsOfStudy\":null,\"isOpenAccess\":false,\"openAccessPdf\":\"https://www.ncbi.nlm.nih.gov/pmc/articles/PMC12328491/pdf/\",\"citationCount\":\"0\",\"resultStr\":null,\"platform\":\"Semanticscholar\",\"paperid\":null,\"PeriodicalName\":\"Archives of Microbiology\",\"FirstCategoryId\":\"99\",\"ListUrlMain\":\"https://link.springer.com/article/10.1007/s00203-025-04406-z\",\"RegionNum\":3,\"RegionCategory\":\"生物学\",\"ArticlePicture\":[],\"TitleCN\":null,\"AbstractTextCN\":null,\"PMCID\":null,\"EPubDate\":\"\",\"PubModel\":\"\",\"JCR\":\"Q3\",\"JCRName\":\"MICROBIOLOGY\",\"Score\":null,\"Total\":0}","platform":"Semanticscholar","paperid":null,"PeriodicalName":"Archives of Microbiology","FirstCategoryId":"99","ListUrlMain":"https://link.springer.com/article/10.1007/s00203-025-04406-z","RegionNum":3,"RegionCategory":"生物学","ArticlePicture":[],"TitleCN":null,"AbstractTextCN":null,"PMCID":null,"EPubDate":"","PubModel":"","JCR":"Q3","JCRName":"MICROBIOLOGY","Score":null,"Total":0}
引用次数: 0

摘要

富含乳酸杆菌的阴道微生物群与性传播疾病和不良生殖健康结果的风险降低有关,其中crispatus乳杆菌被认为特别有益。本研究研究了两种阴道分离菌株crispatus RL09和RL10的营养需求,并提出了一种支持其生长的化学定义培养基(CDM)。本研究通过实验验证了L. crispatus的持续生长依赖于外源脂肪酸、必需B族维生素(核黄素(B2)、烟酸(B3)和pantothenate (B5))以及所有18种氨基酸。一方面,这项工作增加了对乳杆菌科的生理认识,为今后对crispatus的定量研究奠定了基础。另一方面,我们已经证明了L. crispatus对其环境表现出高度的代谢依赖性。这些依赖性强调了L. crispatus对营养变化的潜在敏感性,这可能影响其主导和维持健康阴道生态系统的能力。
本文章由计算机程序翻译,如有差异,请以英文原文为准。

Insights into host dependency from a chemically defined medium for the human vaginal bacterium Lactobacillus crispatus

Insights into host dependency from a chemically defined medium for the human vaginal bacterium Lactobacillus crispatus

Insights into host dependency from a chemically defined medium for the human vaginal bacterium Lactobacillus crispatus

Insights into host dependency from a chemically defined medium for the human vaginal bacterium Lactobacillus crispatus

Insights into host dependency from a chemically defined medium for the human vaginal bacterium Lactobacillus crispatus

Insights into host dependency from a chemically defined medium for the human vaginal bacterium Lactobacillus crispatus

Insights into host dependency from a chemically defined medium for the human vaginal bacterium Lactobacillus crispatus

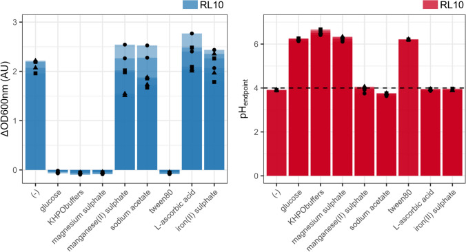
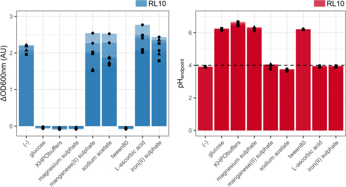
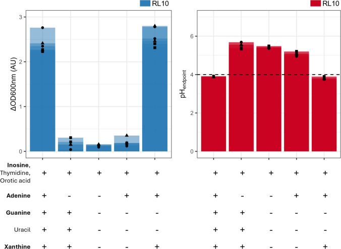
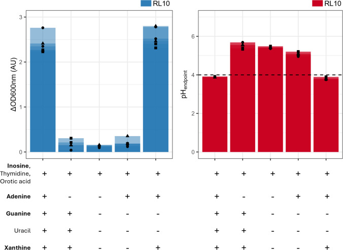
A Lactobacillus-rich vaginal microbiome is associated with a reduced risk for sexually transmitted diseases and adverse reproductive health outcomes, with Lactobacillus crispatus identified as particularly beneficial. This study investigated the nutritional requirements of two vaginal isolates, L. crispatus RL09 and RL10, and presents a chemically defined medium (CDM) that supports their growth. This study experimentally validated that L. crispatus relies on exogenous fatty acids, essential B vitamins, including riboflavin (B2), niacin (B3) and pantothenate (B5), and all eighteen amino acids for sustained growth. On one hand, this body of work adds to the physiological understanding of Lactobacilliaceae and lays the groundwork for future quantitative studies on L. crispatus. On the other hand, we have shown that L. crispatus exhibits a high metabolic dependency on its environment. These dependencies underscore the potential sensitivity of L. crispatus to nutrient variations, which may influence its ability to dominate and maintain a healthy vaginal ecosystem.

求助全文
通过发布文献求助,成功后即可免费获取论文全文。 去求助
来源期刊
Archives of Microbiology
Archives of Microbiology 生物-微生物学
CiteScore
4.90
自引率
3.60%
发文量
601
审稿时长
3 months
期刊介绍: Research papers must make a significant and original contribution to microbiology and be of interest to a broad readership. The results of any experimental approach that meets these objectives are welcome, particularly biochemical, molecular genetic, physiological, and/or physical investigations into microbial cells and their interactions with their environments, including their eukaryotic hosts. Mini-reviews in areas of special topical interest and papers on medical microbiology, ecology and systematics, including description of novel taxa, are also published. Theoretical papers and those that report on the analysis or ''mining'' of data are acceptable in principle if new information, interpretations, or hypotheses emerge.
×
引用
GB/T 7714-2015
复制
MLA
复制
APA
复制
导出至
BibTeX EndNote RefMan NoteFirst NoteExpress
×
提示
您的信息不完整,为了账户安全,请先补充。
现在去补充
×
提示
您因"违规操作"
具体请查看互助需知
我知道了
×
提示
确定
请完成安全验证×
copy
已复制链接
快去分享给好友吧!
我知道了
右上角分享
点击右上角分享
0
联系我们:info@booksci.cn Book学术提供免费学术资源搜索服务,方便国内外学者检索中英文文献。致力于提供最便捷和优质的服务体验。 Copyright © 2023 布克学术 All rights reserved.
京ICP备2023020795号-1
ghs 京公网安备 11010802042870号
Book学术文献互助
Book学术文献互助群
群 号:604180095
Book学术官方微信