当代单一机构组蛋白突变弥漫性半球胶质瘤队列的结果:一种罕见的侵袭性儿科型高级别原发性脑肿瘤。

Meenakshi Jeeva, Mamta Gurav, Abhishek Chatterjee, Omshree Shetty, Prachi Bapat, Archya Dasgupta, Girish Chinnaswamy, Maya Prasad, Aliasgar Moiyadi, Prakash Shetty, Ayushi Sahay, Aekta Shah, Arpita Sahu, Amit Choudhari, Kajari Bhattacharya, Sridhar Epari, Tejpal Gupta
{"title":"当代单一机构组蛋白突变弥漫性半球胶质瘤队列的结果:一种罕见的侵袭性儿科型高级别原发性脑肿瘤。","authors":"Meenakshi Jeeva, Mamta Gurav, Abhishek Chatterjee, Omshree Shetty, Prachi Bapat, Archya Dasgupta, Girish Chinnaswamy, Maya Prasad, Aliasgar Moiyadi, Prakash Shetty, Ayushi Sahay, Aekta Shah, Arpita Sahu, Amit Choudhari, Kajari Bhattacharya, Sridhar Epari, Tejpal Gupta","doi":"10.14791/btrt.2025.0013","DOIUrl":null,"url":null,"abstract":"<p><strong>Background: </strong>The discovery of histone alterations has changed fundamental understanding of pediatric-type diffuse high-grade gliomas (HGG). The glycine-to-arginine (or valine) substitution at position 34 of histone H3.3 (H3 G34) is found exclusively in diffuse hemispheric glioma (DHG). This report summarizes clinical outcomes of a contemporary mono-institutional cohort of H3 G34-mutant DHG treated in low- and middle-income country setting.</p><p><strong>Methods: </strong>Patients with biopsy-proven, molecularly-confirmed H3 G34-mutant DHG registered at a tertiary-care comprehensive cancer center between 2015 and 2023 were identified from a neuro-oncology database. Clinico-demographic characteristics, histo-molecular features, treatment details, and outcomes were retrospectively extracted from electronic medical records. Progression-free survival (PFS) and overall survival (OS) were calculated using Kaplan-Meier methods and expressed as point estimates with 95% confidence intervals (CI).</p><p><strong>Results: </strong>Twenty-five patients with H3 G34-mutant DHG, with a median age of 19 years (interquartile range [IQR] of 14-24 years), constituted the study cohort. Sixteen patients received postoperative radiotherapy (RT) while 13 patients also received temozolomide chemotherapy. At a median follow-up of 14 months, the 1-year Kaplan-Meier estimates of PFS and OS were 47% (95% CI: 30%-75%) and 63% (95% CI: 45%-87%) yielding median PFS and OS of 12 months (IQR: 6-22 months) and 15 months (IQR: 9-31 months), respectively. Older age at diagnosis (≥18 years) and administration of RT emerged as significant prognostic factors for survival.</p><p><strong>Conclusion: </strong>H3 G34-mutant DHG is a rare, aggressive pediatric-type HGG with notable differences from adult counterparts. Recent biological insights implicating key signaling pathways provide unique opportunities to target therapeutic vulnerabilities in this enigmatic disease with universally poor prognosis.</p>","PeriodicalId":72453,"journal":{"name":"Brain tumor research and treatment","volume":"13 3","pages":"95-105"},"PeriodicalIF":0.0000,"publicationDate":"2025-07-01","publicationTypes":"Journal Article","fieldsOfStudy":null,"isOpenAccess":false,"openAccessPdf":"https://www.ncbi.nlm.nih.gov/pmc/articles/PMC12329234/pdf/","citationCount":"0","resultStr":"{\"title\":\"Outcomes From a Contemporary Mono-Institutional Cohort of Histone-Mutant Diffuse Hemispheric Glioma: A Rare and Aggressive Pediatric-Type High-Grade Primary Brain Tumor.\",\"authors\":\"Meenakshi Jeeva, Mamta Gurav, Abhishek Chatterjee, Omshree Shetty, Prachi Bapat, Archya Dasgupta, Girish Chinnaswamy, Maya Prasad, Aliasgar Moiyadi, Prakash Shetty, Ayushi Sahay, Aekta Shah, Arpita Sahu, Amit Choudhari, Kajari Bhattacharya, Sridhar Epari, Tejpal Gupta\",\"doi\":\"10.14791/btrt.2025.0013\",\"DOIUrl\":null,\"url\":null,\"abstract\":\"<p><strong>Background: </strong>The discovery of histone alterations has changed fundamental understanding of pediatric-type diffuse high-grade gliomas (HGG). The glycine-to-arginine (or valine) substitution at position 34 of histone H3.3 (H3 G34) is found exclusively in diffuse hemispheric glioma (DHG). This report summarizes clinical outcomes of a contemporary mono-institutional cohort of H3 G34-mutant DHG treated in low- and middle-income country setting.</p><p><strong>Methods: </strong>Patients with biopsy-proven, molecularly-confirmed H3 G34-mutant DHG registered at a tertiary-care comprehensive cancer center between 2015 and 2023 were identified from a neuro-oncology database. Clinico-demographic characteristics, histo-molecular features, treatment details, and outcomes were retrospectively extracted from electronic medical records. Progression-free survival (PFS) and overall survival (OS) were calculated using Kaplan-Meier methods and expressed as point estimates with 95% confidence intervals (CI).</p><p><strong>Results: </strong>Twenty-five patients with H3 G34-mutant DHG, with a median age of 19 years (interquartile range [IQR] of 14-24 years), constituted the study cohort. Sixteen patients received postoperative radiotherapy (RT) while 13 patients also received temozolomide chemotherapy. At a median follow-up of 14 months, the 1-year Kaplan-Meier estimates of PFS and OS were 47% (95% CI: 30%-75%) and 63% (95% CI: 45%-87%) yielding median PFS and OS of 12 months (IQR: 6-22 months) and 15 months (IQR: 9-31 months), respectively. Older age at diagnosis (≥18 years) and administration of RT emerged as significant prognostic factors for survival.</p><p><strong>Conclusion: </strong>H3 G34-mutant DHG is a rare, aggressive pediatric-type HGG with notable differences from adult counterparts. Recent biological insights implicating key signaling pathways provide unique opportunities to target therapeutic vulnerabilities in this enigmatic disease with universally poor prognosis.</p>\",\"PeriodicalId\":72453,\"journal\":{\"name\":\"Brain tumor research and treatment\",\"volume\":\"13 3\",\"pages\":\"95-105\"},\"PeriodicalIF\":0.0000,\"publicationDate\":\"2025-07-01\",\"publicationTypes\":\"Journal Article\",\"fieldsOfStudy\":null,\"isOpenAccess\":false,\"openAccessPdf\":\"https://www.ncbi.nlm.nih.gov/pmc/articles/PMC12329234/pdf/\",\"citationCount\":\"0\",\"resultStr\":null,\"platform\":\"Semanticscholar\",\"paperid\":null,\"PeriodicalName\":\"Brain tumor research and treatment\",\"FirstCategoryId\":\"1085\",\"ListUrlMain\":\"https://doi.org/10.14791/btrt.2025.0013\",\"RegionNum\":0,\"RegionCategory\":null,\"ArticlePicture\":[],\"TitleCN\":null,\"AbstractTextCN\":null,\"PMCID\":null,\"EPubDate\":\"\",\"PubModel\":\"\",\"JCR\":\"\",\"JCRName\":\"\",\"Score\":null,\"Total\":0}","platform":"Semanticscholar","paperid":null,"PeriodicalName":"Brain tumor research and treatment","FirstCategoryId":"1085","ListUrlMain":"https://doi.org/10.14791/btrt.2025.0013","RegionNum":0,"RegionCategory":null,"ArticlePicture":[],"TitleCN":null,"AbstractTextCN":null,"PMCID":null,"EPubDate":"","PubModel":"","JCR":"","JCRName":"","Score":null,"Total":0}
引用次数: 0

摘要

背景:组蛋白改变的发现改变了对儿科型弥漫性高级别胶质瘤(HGG)的基本认识。组蛋白H3.3 (H3 G34) 34位的甘氨酸-精氨酸(或缬氨酸)置换仅在弥漫性半球胶质瘤(DHG)中发现。本报告总结了在低收入和中等收入国家治疗的H3 g34突变DHG的当代单机构队列的临床结果。方法:从神经肿瘤学数据库中识别2015年至2023年间在三级保健综合癌症中心登记的经活检证实、分子证实的H3 g34突变DHG患者。回顾性地从电子病历中提取临床人口学特征、组织分子特征、治疗细节和结果。使用Kaplan-Meier方法计算无进展生存期(PFS)和总生存期(OS),并以95%置信区间(CI)的点估计表示。结果:25例H3 g34突变DHG患者构成研究队列,中位年龄19岁(四分位数间距[IQR] 14-24岁)。术后放疗16例,替莫唑胺化疗13例。在中位随访14个月时,1年Kaplan-Meier估计PFS和OS分别为47% (95% CI: 30%-75%)和63% (95% CI: 45%-87%),中位PFS和OS分别为12个月(IQR: 6-22个月)和15个月(IQR: 9-31个月)。诊断年龄较大(≥18岁)和给予放疗成为影响生存的重要预后因素。结论:H3 g34突变DHG是一种罕见的、侵袭性的儿科型HGG,与成人HGG有显著差异。最近的生物学见解暗示了关键信号通路,为这种普遍预后不良的神秘疾病的治疗脆弱性提供了独特的机会。
本文章由计算机程序翻译,如有差异,请以英文原文为准。

Outcomes From a Contemporary Mono-Institutional Cohort of Histone-Mutant Diffuse Hemispheric Glioma: A Rare and Aggressive Pediatric-Type High-Grade Primary Brain Tumor.

Outcomes From a Contemporary Mono-Institutional Cohort of Histone-Mutant Diffuse Hemispheric Glioma: A Rare and Aggressive Pediatric-Type High-Grade Primary Brain Tumor.

Outcomes From a Contemporary Mono-Institutional Cohort of Histone-Mutant Diffuse Hemispheric Glioma: A Rare and Aggressive Pediatric-Type High-Grade Primary Brain Tumor.

Outcomes From a Contemporary Mono-Institutional Cohort of Histone-Mutant Diffuse Hemispheric Glioma: A Rare and Aggressive Pediatric-Type High-Grade Primary Brain Tumor.

Outcomes From a Contemporary Mono-Institutional Cohort of Histone-Mutant Diffuse Hemispheric Glioma: A Rare and Aggressive Pediatric-Type High-Grade Primary Brain Tumor.

Outcomes From a Contemporary Mono-Institutional Cohort of Histone-Mutant Diffuse Hemispheric Glioma: A Rare and Aggressive Pediatric-Type High-Grade Primary Brain Tumor.

Outcomes From a Contemporary Mono-Institutional Cohort of Histone-Mutant Diffuse Hemispheric Glioma: A Rare and Aggressive Pediatric-Type High-Grade Primary Brain Tumor.

Background: The discovery of histone alterations has changed fundamental understanding of pediatric-type diffuse high-grade gliomas (HGG). The glycine-to-arginine (or valine) substitution at position 34 of histone H3.3 (H3 G34) is found exclusively in diffuse hemispheric glioma (DHG). This report summarizes clinical outcomes of a contemporary mono-institutional cohort of H3 G34-mutant DHG treated in low- and middle-income country setting.

Methods: Patients with biopsy-proven, molecularly-confirmed H3 G34-mutant DHG registered at a tertiary-care comprehensive cancer center between 2015 and 2023 were identified from a neuro-oncology database. Clinico-demographic characteristics, histo-molecular features, treatment details, and outcomes were retrospectively extracted from electronic medical records. Progression-free survival (PFS) and overall survival (OS) were calculated using Kaplan-Meier methods and expressed as point estimates with 95% confidence intervals (CI).

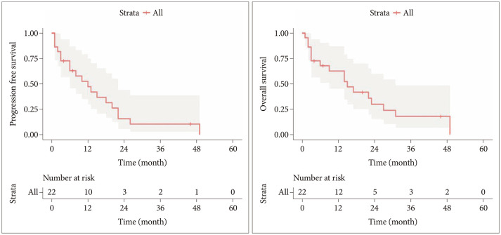
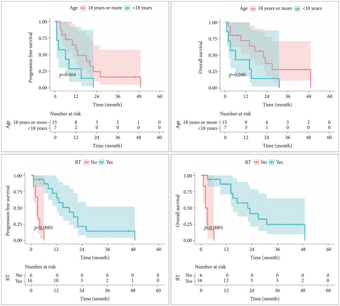
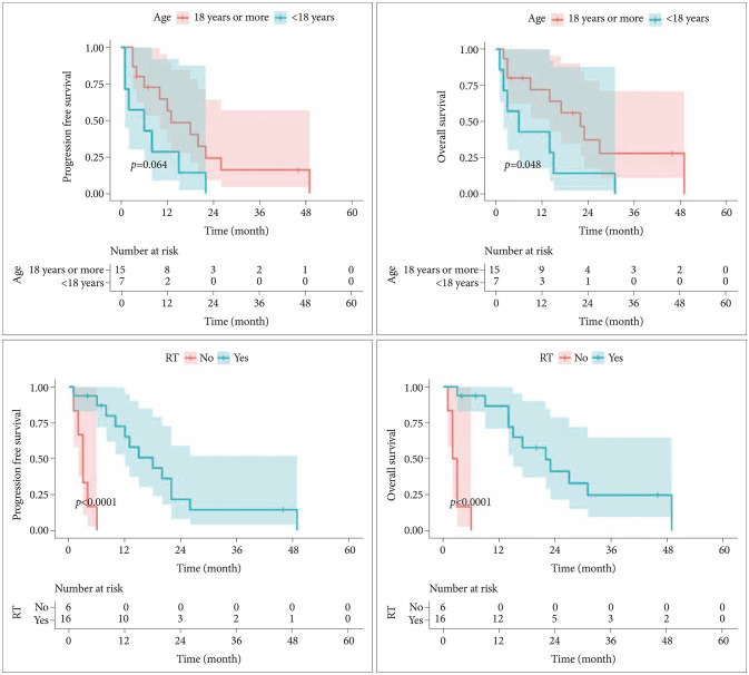
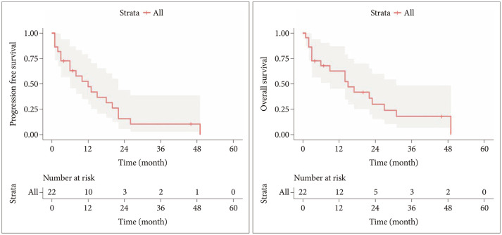
Results: Twenty-five patients with H3 G34-mutant DHG, with a median age of 19 years (interquartile range [IQR] of 14-24 years), constituted the study cohort. Sixteen patients received postoperative radiotherapy (RT) while 13 patients also received temozolomide chemotherapy. At a median follow-up of 14 months, the 1-year Kaplan-Meier estimates of PFS and OS were 47% (95% CI: 30%-75%) and 63% (95% CI: 45%-87%) yielding median PFS and OS of 12 months (IQR: 6-22 months) and 15 months (IQR: 9-31 months), respectively. Older age at diagnosis (≥18 years) and administration of RT emerged as significant prognostic factors for survival.

Conclusion: H3 G34-mutant DHG is a rare, aggressive pediatric-type HGG with notable differences from adult counterparts. Recent biological insights implicating key signaling pathways provide unique opportunities to target therapeutic vulnerabilities in this enigmatic disease with universally poor prognosis.

求助全文
通过发布文献求助,成功后即可免费获取论文全文。 去求助
来源期刊
自引率
0.00%
发文量
0
×
引用
GB/T 7714-2015
复制
MLA
复制
APA
复制
导出至
BibTeX EndNote RefMan NoteFirst NoteExpress
×
提示
您的信息不完整,为了账户安全,请先补充。
现在去补充
×
提示
您因"违规操作"
具体请查看互助需知
我知道了
×
提示
确定
请完成安全验证×
copy
已复制链接
快去分享给好友吧!
我知道了
右上角分享
点击右上角分享
0
联系我们:info@booksci.cn Book学术提供免费学术资源搜索服务,方便国内外学者检索中英文文献。致力于提供最便捷和优质的服务体验。 Copyright © 2023 布克学术 All rights reserved.
京ICP备2023020795号-1
ghs 京公网安备 11010802042870号
Book学术文献互助
Book学术文献互助群
群 号:604180095
Book学术官方微信