节段性无脂质量与瘦软质量:双x线吸收测量(DXA)、生物电阻抗分析(BIA)和人体测量的比较研究及人体测量预测模型的建立。

IF 3.9 2区 医学 Q1 NUTRITION & DIETETICS
Nicolás Baglietto, Mario Albaladejo-Saura, Francisco Esparza-Ros, Malek Mecherques-Carini, Raquel Vaquero-Cristóbal
{"title":"节段性无脂质量与瘦软质量:双x线吸收测量(DXA)、生物电阻抗分析(BIA)和人体测量的比较研究及人体测量预测模型的建立。","authors":"Nicolás Baglietto, Mario Albaladejo-Saura, Francisco Esparza-Ros, Malek Mecherques-Carini, Raquel Vaquero-Cristóbal","doi":"10.1080/15502783.2025.2542368","DOIUrl":null,"url":null,"abstract":"<p><strong>Background: </strong>Although dual X-ray absorptiometry (DXA), bioelectrical impedance analysis (BIA), and anthropometry (ANT) are commonly used to evaluate body composition, evidence on their agreement at the segmental level remains limited. This study aimed to compare intra-subject differences in DXA, BIA, and ANT for estimating segmental weight (SW), fat-free mass (FFM), and lean soft mass (LSM) and to examines sex-related influences, and to develop anthropometric prediction equations using DXA as the reference.</p><p><strong>Methods: </strong>A cross-sectional study was conducted on 258 young adults (157 males, 101 females). Participants were assessed using DXA, BIA, and ANT. SW, FFM, and LSM were estimated in kilograms and percentages for the upper limbs, trunk, and lower limbs using DXA and BIA. FFM was also estimated using anthropometry (ANT).</p><p><strong>Results: </strong>Significant intra-subject differences were observed between methods across most body segments (<i>p</i> ≤ 0.049), except for SW in the right upper limb (<i>p</i> = 0.328) and LSM in the trunk (<i>p</i> = 0.186) for females. Sex covariable showed a significant influence on the differences found in these comparisons (<i>p</i> ≤ 0.032). Females exhibited lower values of SW, FFM, and LSM in the upper limbs, while males showed higher values of FFM and LSM specifically in the trunk and lower limbs. Bland - Altman analysis revealed a general lack of agreement between DXA and both BIA and ANT, except for BIA when estimating SW in the right upper limb in females (<i>p</i> = 0.167). The new anthropometric equations demonstrated high predictive accuracy (R<sup>2</sup> > 0.750), with slightly lower values in the upper limbs of females for FFM and LSM (R<sup>2</sup>  = 0.688-0.723). Key predictors included body mass, corrected girths, and segmental lengths.</p><p><strong>Conclusions: </strong>DXA, BIA, and ANT showed significant differences in estimating SW, FFM, and LSM, highlighting their lack of interchangeability. Sex was a significant factor, indicating its importance in body composition estimation. The new anthropometric equations showed good comparability with DXA, although their predictive performance was slightly lower in the upper limbs of females for FFM and LSM.</p>","PeriodicalId":17400,"journal":{"name":"Journal of the International Society of Sports Nutrition","volume":"22 1","pages":"2542368"},"PeriodicalIF":3.9000,"publicationDate":"2025-12-01","publicationTypes":"Journal Article","fieldsOfStudy":null,"isOpenAccess":false,"openAccessPdf":"https://www.ncbi.nlm.nih.gov/pmc/articles/PMC12326386/pdf/","citationCount":"0","resultStr":"{\"title\":\"Segmental fat-free mass and lean soft mass: a comparative study with dual X-ray absorptiometry (DXA), bioelectrical impedance analysis (BIA) and anthropometry and development of anthropometric prediction models.\",\"authors\":\"Nicolás Baglietto, Mario Albaladejo-Saura, Francisco Esparza-Ros, Malek Mecherques-Carini, Raquel Vaquero-Cristóbal\",\"doi\":\"10.1080/15502783.2025.2542368\",\"DOIUrl\":null,\"url\":null,\"abstract\":\"<p><strong>Background: </strong>Although dual X-ray absorptiometry (DXA), bioelectrical impedance analysis (BIA), and anthropometry (ANT) are commonly used to evaluate body composition, evidence on their agreement at the segmental level remains limited. This study aimed to compare intra-subject differences in DXA, BIA, and ANT for estimating segmental weight (SW), fat-free mass (FFM), and lean soft mass (LSM) and to examines sex-related influences, and to develop anthropometric prediction equations using DXA as the reference.</p><p><strong>Methods: </strong>A cross-sectional study was conducted on 258 young adults (157 males, 101 females). Participants were assessed using DXA, BIA, and ANT. SW, FFM, and LSM were estimated in kilograms and percentages for the upper limbs, trunk, and lower limbs using DXA and BIA. FFM was also estimated using anthropometry (ANT).</p><p><strong>Results: </strong>Significant intra-subject differences were observed between methods across most body segments (<i>p</i> ≤ 0.049), except for SW in the right upper limb (<i>p</i> = 0.328) and LSM in the trunk (<i>p</i> = 0.186) for females. Sex covariable showed a significant influence on the differences found in these comparisons (<i>p</i> ≤ 0.032). Females exhibited lower values of SW, FFM, and LSM in the upper limbs, while males showed higher values of FFM and LSM specifically in the trunk and lower limbs. Bland - Altman analysis revealed a general lack of agreement between DXA and both BIA and ANT, except for BIA when estimating SW in the right upper limb in females (<i>p</i> = 0.167). The new anthropometric equations demonstrated high predictive accuracy (R<sup>2</sup> > 0.750), with slightly lower values in the upper limbs of females for FFM and LSM (R<sup>2</sup>  = 0.688-0.723). Key predictors included body mass, corrected girths, and segmental lengths.</p><p><strong>Conclusions: </strong>DXA, BIA, and ANT showed significant differences in estimating SW, FFM, and LSM, highlighting their lack of interchangeability. Sex was a significant factor, indicating its importance in body composition estimation. The new anthropometric equations showed good comparability with DXA, although their predictive performance was slightly lower in the upper limbs of females for FFM and LSM.</p>\",\"PeriodicalId\":17400,\"journal\":{\"name\":\"Journal of the International Society of Sports Nutrition\",\"volume\":\"22 1\",\"pages\":\"2542368\"},\"PeriodicalIF\":3.9000,\"publicationDate\":\"2025-12-01\",\"publicationTypes\":\"Journal Article\",\"fieldsOfStudy\":null,\"isOpenAccess\":false,\"openAccessPdf\":\"https://www.ncbi.nlm.nih.gov/pmc/articles/PMC12326386/pdf/\",\"citationCount\":\"0\",\"resultStr\":null,\"platform\":\"Semanticscholar\",\"paperid\":null,\"PeriodicalName\":\"Journal of the International Society of Sports Nutrition\",\"FirstCategoryId\":\"3\",\"ListUrlMain\":\"https://doi.org/10.1080/15502783.2025.2542368\",\"RegionNum\":2,\"RegionCategory\":\"医学\",\"ArticlePicture\":[],\"TitleCN\":null,\"AbstractTextCN\":null,\"PMCID\":null,\"EPubDate\":\"2025/8/5 0:00:00\",\"PubModel\":\"Epub\",\"JCR\":\"Q1\",\"JCRName\":\"NUTRITION & DIETETICS\",\"Score\":null,\"Total\":0}","platform":"Semanticscholar","paperid":null,"PeriodicalName":"Journal of the International Society of Sports Nutrition","FirstCategoryId":"3","ListUrlMain":"https://doi.org/10.1080/15502783.2025.2542368","RegionNum":2,"RegionCategory":"医学","ArticlePicture":[],"TitleCN":null,"AbstractTextCN":null,"PMCID":null,"EPubDate":"2025/8/5 0:00:00","PubModel":"Epub","JCR":"Q1","JCRName":"NUTRITION & DIETETICS","Score":null,"Total":0}
引用次数: 0

摘要

背景:虽然双x线吸收测定法(DXA)、生物电阻抗分析(BIA)和人体测量法(ANT)通常用于评估身体成分,但它们在节段水平上的一致性证据仍然有限。本研究旨在比较DXA、BIA和ANT在估计节段体重(SW)、无脂质量(FFM)和瘦软质量(LSM)方面的受试者内部差异,并研究性别相关的影响,并以DXA为参考建立人体测量预测方程。方法:对258名青壮年(男性157人,女性101人)进行横断面研究。使用DXA、BIA和ANT对参与者进行评估。采用DXA和BIA计算上肢、躯干和下肢的SW、FFM和LSM的公斤数和百分比。FFM也使用人体测量法(ANT)进行估计。结果:除女性右上肢SW (p = 0.328)和躯干LSM (p = 0.186)外,大多数身体部位的方法之间存在显著差异(p≤0.049)。性别协变量对这些比较的差异有显著影响(p≤0.032)。雌性上肢的SW、FFM和LSM值较低,雄性躯干和下肢的FFM和LSM值较高。Bland - Altman分析显示,DXA与BIA和ANT之间普遍缺乏一致性,除了BIA在估计女性右上肢SW时(p = 0.167)。新的人体测量方程具有较高的预测精度(R2 = 0.750),而女性上肢对FFM和LSM的预测精度略低(R2 = 0.688-0.723)。关键的预测因素包括体重、校正后的腰围和节段长度。结论:DXA、BIA和ANT在估计SW、FFM和LSM方面存在显著差异,突出了它们缺乏互换性。性别是显著因素,表明其在身体成分估计中的重要性。新的人体测量方程与DXA具有良好的可比性,尽管它们对女性上肢FFM和LSM的预测性能略低。
本文章由计算机程序翻译,如有差异,请以英文原文为准。

Segmental fat-free mass and lean soft mass: a comparative study with dual X-ray absorptiometry (DXA), bioelectrical impedance analysis (BIA) and anthropometry and development of anthropometric prediction models.

Segmental fat-free mass and lean soft mass: a comparative study with dual X-ray absorptiometry (DXA), bioelectrical impedance analysis (BIA) and anthropometry and development of anthropometric prediction models.

Segmental fat-free mass and lean soft mass: a comparative study with dual X-ray absorptiometry (DXA), bioelectrical impedance analysis (BIA) and anthropometry and development of anthropometric prediction models.

Background: Although dual X-ray absorptiometry (DXA), bioelectrical impedance analysis (BIA), and anthropometry (ANT) are commonly used to evaluate body composition, evidence on their agreement at the segmental level remains limited. This study aimed to compare intra-subject differences in DXA, BIA, and ANT for estimating segmental weight (SW), fat-free mass (FFM), and lean soft mass (LSM) and to examines sex-related influences, and to develop anthropometric prediction equations using DXA as the reference.

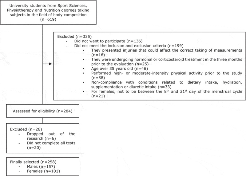
Methods: A cross-sectional study was conducted on 258 young adults (157 males, 101 females). Participants were assessed using DXA, BIA, and ANT. SW, FFM, and LSM were estimated in kilograms and percentages for the upper limbs, trunk, and lower limbs using DXA and BIA. FFM was also estimated using anthropometry (ANT).

Results: Significant intra-subject differences were observed between methods across most body segments (p ≤ 0.049), except for SW in the right upper limb (p = 0.328) and LSM in the trunk (p = 0.186) for females. Sex covariable showed a significant influence on the differences found in these comparisons (p ≤ 0.032). Females exhibited lower values of SW, FFM, and LSM in the upper limbs, while males showed higher values of FFM and LSM specifically in the trunk and lower limbs. Bland - Altman analysis revealed a general lack of agreement between DXA and both BIA and ANT, except for BIA when estimating SW in the right upper limb in females (p = 0.167). The new anthropometric equations demonstrated high predictive accuracy (R2 > 0.750), with slightly lower values in the upper limbs of females for FFM and LSM (R2  = 0.688-0.723). Key predictors included body mass, corrected girths, and segmental lengths.

Conclusions: DXA, BIA, and ANT showed significant differences in estimating SW, FFM, and LSM, highlighting their lack of interchangeability. Sex was a significant factor, indicating its importance in body composition estimation. The new anthropometric equations showed good comparability with DXA, although their predictive performance was slightly lower in the upper limbs of females for FFM and LSM.

求助全文
通过发布文献求助,成功后即可免费获取论文全文。 去求助
来源期刊
Journal of the International Society of Sports Nutrition
Journal of the International Society of Sports Nutrition NUTRITION & DIETETICS-SPORT SCIENCES
CiteScore
8.80
自引率
3.90%
发文量
34
审稿时长
6-12 weeks
期刊介绍: Journal of the International Society of Sports Nutrition (JISSN) focuses on the acute and chronic effects of sports nutrition and supplementation strategies on body composition, physical performance and metabolism. JISSN is aimed at researchers and sport enthusiasts focused on delivering knowledge on exercise and nutrition on health, disease, rehabilitation, training, and performance. The journal provides a platform on which readers can determine nutritional strategies that may enhance exercise and/or training adaptations leading to improved health and performance.
×
引用
GB/T 7714-2015
复制
MLA
复制
APA
复制
导出至
BibTeX EndNote RefMan NoteFirst NoteExpress
×
提示
您的信息不完整,为了账户安全,请先补充。
现在去补充
×
提示
您因"违规操作"
具体请查看互助需知
我知道了
×
提示
确定
请完成安全验证×
copy
已复制链接
快去分享给好友吧!
我知道了
右上角分享
点击右上角分享
0
联系我们:info@booksci.cn Book学术提供免费学术资源搜索服务,方便国内外学者检索中英文文献。致力于提供最便捷和优质的服务体验。 Copyright © 2023 布克学术 All rights reserved.
京ICP备2023020795号-1
ghs 京公网安备 11010802042870号
Book学术文献互助
Book学术文献互助群
群 号:604180095
Book学术官方微信