晚期早产双胞胎产前皮质类固醇治疗后的长期神经发育结局:一项全国回顾性队列研究。

IF 2.3 3区 医学 Q1 MEDICINE, GENERAL & INTERNAL
Jeesun Lee, Young Mi Jung, Won Young Wi, Jihye Bae, Joong Shin Park, Jong Kwan Jun, Min-Jeong Oh, Seung Mi Lee, Geum Joon Cho
{"title":"晚期早产双胞胎产前皮质类固醇治疗后的长期神经发育结局:一项全国回顾性队列研究。","authors":"Jeesun Lee, Young Mi Jung, Won Young Wi, Jihye Bae, Joong Shin Park, Jong Kwan Jun, Min-Jeong Oh, Seung Mi Lee, Geum Joon Cho","doi":"10.3346/jkms.2025.40.e174","DOIUrl":null,"url":null,"abstract":"<p><strong>Background: </strong>In women with singleton pregnancy who are at risk of late preterm delivery, administration of antenatal corticosteroids is recommended to reduce neonatal respiratory complications. However, the adoption of this practice is not widely accepted in twin pregnancies because of a lack of evidence regarding both the effectiveness and long-term safety of corticosteroids. This study was conducted to evaluate the long-term neurodevelopmental outcomes of twins according to the administration of antenatal corticosteroid in late preterm.</p><p><strong>Methods: </strong>This nationwide population based retrospective cohort study included twins who were delivered late preterm (34+0-36+6 weeks) between 2007 and 2010. The study population were divided into 2 groups according to the administration of preterm antenatal corticosteroids. Group 1 included twins from mothers who were administered antenatal corticosteroids in late preterm (with late preterm corticosteroids), and group 2 included twins whose mothers were not administered antenatal corticosteroid (without corticosteroids). The risk of long-term adverse neurodevelopmental outcomes was compared between the 2 groups. The composite adverse neurodevelopmental outcome was defined as the occurrence of at least one of the following: autism, cerebral palsy, speech articulation disorder, developmental disorders of scholastic skills, or developmental disorders of motor function.</p><p><strong>Results: </strong>During the study period, 9,450 children met the inclusion criteria: 1,476 children in group 1 (with late preterm corticosteroids) and 7,974 children in group 2 (without corticosteroids). There was no statistically significant difference in the long-term adverse neurodevelopmental outcomes between the 2 groups. This result was consistent even after adjusting for covariates (adjusted hazard ratio 0.973 [95% confidence interval, 0.811-1.166]).</p><p><strong>Conclusion: </strong>The risk of long-term adverse neurodevelopmental outcomes did not increase after antenatal corticosteroid administration in twin children who were born in late preterm.</p>","PeriodicalId":16249,"journal":{"name":"Journal of Korean Medical Science","volume":"40 30","pages":"e174"},"PeriodicalIF":2.3000,"publicationDate":"2025-08-04","publicationTypes":"Journal Article","fieldsOfStudy":null,"isOpenAccess":false,"openAccessPdf":"https://www.ncbi.nlm.nih.gov/pmc/articles/PMC12322589/pdf/","citationCount":"0","resultStr":"{\"title\":\"Long-Term Neurodevelopmental Outcomes After Antenatal Corticosteroid Therapy in Late Preterm Twins: A Nationwide Retrospective Cohort Study.\",\"authors\":\"Jeesun Lee, Young Mi Jung, Won Young Wi, Jihye Bae, Joong Shin Park, Jong Kwan Jun, Min-Jeong Oh, Seung Mi Lee, Geum Joon Cho\",\"doi\":\"10.3346/jkms.2025.40.e174\",\"DOIUrl\":null,\"url\":null,\"abstract\":\"<p><strong>Background: </strong>In women with singleton pregnancy who are at risk of late preterm delivery, administration of antenatal corticosteroids is recommended to reduce neonatal respiratory complications. However, the adoption of this practice is not widely accepted in twin pregnancies because of a lack of evidence regarding both the effectiveness and long-term safety of corticosteroids. This study was conducted to evaluate the long-term neurodevelopmental outcomes of twins according to the administration of antenatal corticosteroid in late preterm.</p><p><strong>Methods: </strong>This nationwide population based retrospective cohort study included twins who were delivered late preterm (34+0-36+6 weeks) between 2007 and 2010. The study population were divided into 2 groups according to the administration of preterm antenatal corticosteroids. Group 1 included twins from mothers who were administered antenatal corticosteroids in late preterm (with late preterm corticosteroids), and group 2 included twins whose mothers were not administered antenatal corticosteroid (without corticosteroids). The risk of long-term adverse neurodevelopmental outcomes was compared between the 2 groups. The composite adverse neurodevelopmental outcome was defined as the occurrence of at least one of the following: autism, cerebral palsy, speech articulation disorder, developmental disorders of scholastic skills, or developmental disorders of motor function.</p><p><strong>Results: </strong>During the study period, 9,450 children met the inclusion criteria: 1,476 children in group 1 (with late preterm corticosteroids) and 7,974 children in group 2 (without corticosteroids). There was no statistically significant difference in the long-term adverse neurodevelopmental outcomes between the 2 groups. This result was consistent even after adjusting for covariates (adjusted hazard ratio 0.973 [95% confidence interval, 0.811-1.166]).</p><p><strong>Conclusion: </strong>The risk of long-term adverse neurodevelopmental outcomes did not increase after antenatal corticosteroid administration in twin children who were born in late preterm.</p>\",\"PeriodicalId\":16249,\"journal\":{\"name\":\"Journal of Korean Medical Science\",\"volume\":\"40 30\",\"pages\":\"e174\"},\"PeriodicalIF\":2.3000,\"publicationDate\":\"2025-08-04\",\"publicationTypes\":\"Journal Article\",\"fieldsOfStudy\":null,\"isOpenAccess\":false,\"openAccessPdf\":\"https://www.ncbi.nlm.nih.gov/pmc/articles/PMC12322589/pdf/\",\"citationCount\":\"0\",\"resultStr\":null,\"platform\":\"Semanticscholar\",\"paperid\":null,\"PeriodicalName\":\"Journal of Korean Medical Science\",\"FirstCategoryId\":\"3\",\"ListUrlMain\":\"https://doi.org/10.3346/jkms.2025.40.e174\",\"RegionNum\":3,\"RegionCategory\":\"医学\",\"ArticlePicture\":[],\"TitleCN\":null,\"AbstractTextCN\":null,\"PMCID\":null,\"EPubDate\":\"\",\"PubModel\":\"\",\"JCR\":\"Q1\",\"JCRName\":\"MEDICINE, GENERAL & INTERNAL\",\"Score\":null,\"Total\":0}","platform":"Semanticscholar","paperid":null,"PeriodicalName":"Journal of Korean Medical Science","FirstCategoryId":"3","ListUrlMain":"https://doi.org/10.3346/jkms.2025.40.e174","RegionNum":3,"RegionCategory":"医学","ArticlePicture":[],"TitleCN":null,"AbstractTextCN":null,"PMCID":null,"EPubDate":"","PubModel":"","JCR":"Q1","JCRName":"MEDICINE, GENERAL & INTERNAL","Score":null,"Total":0}
引用次数: 0

摘要

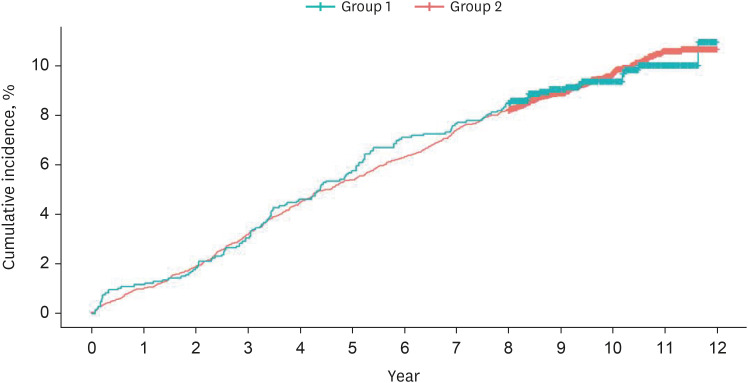
背景:对于有晚期早产风险的单胎妊娠妇女,建议在产前使用皮质类固醇以减少新生儿呼吸系统并发症。然而,由于缺乏关于皮质类固醇的有效性和长期安全性的证据,这种做法在双胎妊娠中并未被广泛接受。本研究的目的是根据晚期早产儿在产前使用皮质类固醇来评估双胞胎的长期神经发育结果。方法:这项以全国人口为基础的回顾性队列研究包括2007年至2010年间晚期早产(34+0-36+6周)的双胞胎。根据早产儿皮质类固醇的使用情况将研究人群分为两组。第1组包括母亲在产前晚期使用皮质类固醇(晚期使用皮质类固醇)的双胞胎,第2组包括母亲在产前未使用皮质类固醇(不使用皮质类固醇)的双胞胎。比较两组长期不良神经发育结局的风险。复合不良神经发育结局被定义为至少出现以下一种情况:自闭症、脑瘫、言语表达障碍、学习技能发育障碍或运动功能发育障碍。结果:在研究期间,9450名儿童符合纳入标准:1组1476名儿童(晚期早产儿使用皮质激素),2组7974名儿童(未使用皮质激素)。两组患者长期神经发育不良结局比较,差异无统计学意义。即使校正协变量(校正风险比0.973[95%置信区间,0.811-1.166])后,这一结果仍然一致。结论:晚期早产的双胞胎在产前给予皮质类固醇后,长期不良神经发育结局的风险没有增加。
本文章由计算机程序翻译,如有差异,请以英文原文为准。

Long-Term Neurodevelopmental Outcomes After Antenatal Corticosteroid Therapy in Late Preterm Twins: A Nationwide Retrospective Cohort Study.

Long-Term Neurodevelopmental Outcomes After Antenatal Corticosteroid Therapy in Late Preterm Twins: A Nationwide Retrospective Cohort Study.

Long-Term Neurodevelopmental Outcomes After Antenatal Corticosteroid Therapy in Late Preterm Twins: A Nationwide Retrospective Cohort Study.

Long-Term Neurodevelopmental Outcomes After Antenatal Corticosteroid Therapy in Late Preterm Twins: A Nationwide Retrospective Cohort Study.

Background: In women with singleton pregnancy who are at risk of late preterm delivery, administration of antenatal corticosteroids is recommended to reduce neonatal respiratory complications. However, the adoption of this practice is not widely accepted in twin pregnancies because of a lack of evidence regarding both the effectiveness and long-term safety of corticosteroids. This study was conducted to evaluate the long-term neurodevelopmental outcomes of twins according to the administration of antenatal corticosteroid in late preterm.

Methods: This nationwide population based retrospective cohort study included twins who were delivered late preterm (34+0-36+6 weeks) between 2007 and 2010. The study population were divided into 2 groups according to the administration of preterm antenatal corticosteroids. Group 1 included twins from mothers who were administered antenatal corticosteroids in late preterm (with late preterm corticosteroids), and group 2 included twins whose mothers were not administered antenatal corticosteroid (without corticosteroids). The risk of long-term adverse neurodevelopmental outcomes was compared between the 2 groups. The composite adverse neurodevelopmental outcome was defined as the occurrence of at least one of the following: autism, cerebral palsy, speech articulation disorder, developmental disorders of scholastic skills, or developmental disorders of motor function.

Results: During the study period, 9,450 children met the inclusion criteria: 1,476 children in group 1 (with late preterm corticosteroids) and 7,974 children in group 2 (without corticosteroids). There was no statistically significant difference in the long-term adverse neurodevelopmental outcomes between the 2 groups. This result was consistent even after adjusting for covariates (adjusted hazard ratio 0.973 [95% confidence interval, 0.811-1.166]).

Conclusion: The risk of long-term adverse neurodevelopmental outcomes did not increase after antenatal corticosteroid administration in twin children who were born in late preterm.

求助全文
通过发布文献求助,成功后即可免费获取论文全文。 去求助
来源期刊
Journal of Korean Medical Science
Journal of Korean Medical Science 医学-医学:内科
CiteScore
7.80
自引率
8.90%
发文量
320
审稿时长
3-6 weeks
期刊介绍: The Journal of Korean Medical Science (JKMS) is an international, peer-reviewed Open Access journal of medicine published weekly in English. The Journal’s publisher is the Korean Academy of Medical Sciences (KAMS), Korean Medical Association (KMA). JKMS aims to publish evidence-based, scientific research articles from various disciplines of the medical sciences. The Journal welcomes articles of general interest to medical researchers especially when they contain original information. Articles on the clinical evaluation of drugs and other therapies, epidemiologic studies of the general population, studies on pathogenic organisms and toxic materials, and the toxicities and adverse effects of therapeutics are welcome.
×
引用
GB/T 7714-2015
复制
MLA
复制
APA
复制
导出至
BibTeX EndNote RefMan NoteFirst NoteExpress
×
提示
您的信息不完整,为了账户安全,请先补充。
现在去补充
×
提示
您因"违规操作"
具体请查看互助需知
我知道了
×
提示
确定
请完成安全验证×
copy
已复制链接
快去分享给好友吧!
我知道了
右上角分享
点击右上角分享
0
联系我们:info@booksci.cn Book学术提供免费学术资源搜索服务,方便国内外学者检索中英文文献。致力于提供最便捷和优质的服务体验。 Copyright © 2023 布克学术 All rights reserved.
京ICP备2023020795号-1
ghs 京公网安备 11010802042870号
Book学术文献互助
Book学术文献互助群
群 号:604180095
Book学术官方微信