nb掺杂CsV3Sb5从手性荷序到时间反转对称破缺超导态的压力诱导转变。

IF 5.8 1区 物理与天体物理 Q1 PHYSICS, MULTIDISCIPLINARY
Communications Physics Pub Date : 2025-01-01 Epub Date: 2025-08-02 DOI:10.1038/s42005-025-02235-6
Jennifer N Graham, Shams Sohel Islam, Vahid Sazgari, Yongka Li, Hanbin Deng, Gianluca Janka, Yigui Zhong, Orion Gerguri, Petr Král, Andrin Doll, Izabela Biało, Johan Chang, Zaher Salman, Andreas Suter, Thomas Prokscha, Yugui Yao, Kozo Okazaki, Hubertus Luetkens, Rustem Khasanov, Zhiwei Wang, Jia-Xin Yin, Zurab Guguchia
{"title":"nb掺杂CsV3Sb5从手性荷序到时间反转对称破缺超导态的压力诱导转变。","authors":"Jennifer N Graham, Shams Sohel Islam, Vahid Sazgari, Yongka Li, Hanbin Deng, Gianluca Janka, Yigui Zhong, Orion Gerguri, Petr Král, Andrin Doll, Izabela Biało, Johan Chang, Zaher Salman, Andreas Suter, Thomas Prokscha, Yugui Yao, Kozo Okazaki, Hubertus Luetkens, Rustem Khasanov, Zhiwei Wang, Jia-Xin Yin, Zurab Guguchia","doi":"10.1038/s42005-025-02235-6","DOIUrl":null,"url":null,"abstract":"<p><p>Understanding how time-reversal symmetry (TRS) breaks in quantum materials is key to uncovering new states of matter and advancing quantum technologies. However, unraveling the interplay between TRS breaking, charge order, and superconductivity in kagome metals continues to be a compelling challenge. Here, we investigate the kagome metal Cs(V<sub>1-<i>x</i></sub> Nb <sub><i>x</i></sub> )<sub>3</sub>Sb<sub>5</sub> with <i>x</i> = 0.07 using muon spin rotation (<i>μ</i>SR), alternating current (AC) magnetic susceptibility, and scanning tunneling microscopy (STM), under combined tuning by chemical doping, hydrostatic pressure, magnetic field, and depth from the surface. We find that TRS breaking in the bulk emerges below 40 K-lower than the charge order onset at 58 K-while near the surface, TRS breaking onsets at 58 K and is twice as strong. Niobium doping raises the superconducting critical temperature from 2.5 K to 4.4 K. Under pressure, both the critical temperature and superfluid density double, with TRS-breaking superconductivity appearing above 0.85 GPa. These findings reveal a depth-tunable TRS-breaking state and unconventional superconducting behavior in kagome systems.</p>","PeriodicalId":10540,"journal":{"name":"Communications Physics","volume":"8 1","pages":"318"},"PeriodicalIF":5.8000,"publicationDate":"2025-01-01","publicationTypes":"Journal Article","fieldsOfStudy":null,"isOpenAccess":false,"openAccessPdf":"https://www.ncbi.nlm.nih.gov/pmc/articles/PMC12317846/pdf/","citationCount":"0","resultStr":"{\"title\":\"Pressure induced transition from chiral charge order to time-reversal symmetry-breaking superconducting state in Nb-doped CsV<sub>3</sub>Sb<sub>5</sub>.\",\"authors\":\"Jennifer N Graham, Shams Sohel Islam, Vahid Sazgari, Yongka Li, Hanbin Deng, Gianluca Janka, Yigui Zhong, Orion Gerguri, Petr Král, Andrin Doll, Izabela Biało, Johan Chang, Zaher Salman, Andreas Suter, Thomas Prokscha, Yugui Yao, Kozo Okazaki, Hubertus Luetkens, Rustem Khasanov, Zhiwei Wang, Jia-Xin Yin, Zurab Guguchia\",\"doi\":\"10.1038/s42005-025-02235-6\",\"DOIUrl\":null,\"url\":null,\"abstract\":\"<p><p>Understanding how time-reversal symmetry (TRS) breaks in quantum materials is key to uncovering new states of matter and advancing quantum technologies. However, unraveling the interplay between TRS breaking, charge order, and superconductivity in kagome metals continues to be a compelling challenge. Here, we investigate the kagome metal Cs(V<sub>1-<i>x</i></sub> Nb <sub><i>x</i></sub> )<sub>3</sub>Sb<sub>5</sub> with <i>x</i> = 0.07 using muon spin rotation (<i>μ</i>SR), alternating current (AC) magnetic susceptibility, and scanning tunneling microscopy (STM), under combined tuning by chemical doping, hydrostatic pressure, magnetic field, and depth from the surface. We find that TRS breaking in the bulk emerges below 40 K-lower than the charge order onset at 58 K-while near the surface, TRS breaking onsets at 58 K and is twice as strong. Niobium doping raises the superconducting critical temperature from 2.5 K to 4.4 K. Under pressure, both the critical temperature and superfluid density double, with TRS-breaking superconductivity appearing above 0.85 GPa. These findings reveal a depth-tunable TRS-breaking state and unconventional superconducting behavior in kagome systems.</p>\",\"PeriodicalId\":10540,\"journal\":{\"name\":\"Communications Physics\",\"volume\":\"8 1\",\"pages\":\"318\"},\"PeriodicalIF\":5.8000,\"publicationDate\":\"2025-01-01\",\"publicationTypes\":\"Journal Article\",\"fieldsOfStudy\":null,\"isOpenAccess\":false,\"openAccessPdf\":\"https://www.ncbi.nlm.nih.gov/pmc/articles/PMC12317846/pdf/\",\"citationCount\":\"0\",\"resultStr\":null,\"platform\":\"Semanticscholar\",\"paperid\":null,\"PeriodicalName\":\"Communications Physics\",\"FirstCategoryId\":\"101\",\"ListUrlMain\":\"https://doi.org/10.1038/s42005-025-02235-6\",\"RegionNum\":1,\"RegionCategory\":\"物理与天体物理\",\"ArticlePicture\":[],\"TitleCN\":null,\"AbstractTextCN\":null,\"PMCID\":null,\"EPubDate\":\"2025/8/2 0:00:00\",\"PubModel\":\"Epub\",\"JCR\":\"Q1\",\"JCRName\":\"PHYSICS, MULTIDISCIPLINARY\",\"Score\":null,\"Total\":0}","platform":"Semanticscholar","paperid":null,"PeriodicalName":"Communications Physics","FirstCategoryId":"101","ListUrlMain":"https://doi.org/10.1038/s42005-025-02235-6","RegionNum":1,"RegionCategory":"物理与天体物理","ArticlePicture":[],"TitleCN":null,"AbstractTextCN":null,"PMCID":null,"EPubDate":"2025/8/2 0:00:00","PubModel":"Epub","JCR":"Q1","JCRName":"PHYSICS, MULTIDISCIPLINARY","Score":null,"Total":0}
引用次数: 0

摘要

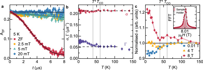
了解量子材料中的时间反转对称(TRS)如何断裂是揭示物质新状态和推进量子技术的关键。然而,解开TRS断裂、电荷顺序和kagome金属超导性之间的相互作用仍然是一个引人注目的挑战。本文利用μSR、交流磁化率和扫描隧道显微镜(STM),在化学掺杂、静水压力、磁场和表面深度联合调谐的条件下,研究了x = 0.07的kagome金属Cs(V1-x Nb x)3Sb5。我们发现,在块体中,TRS断裂在40 K以下出现,低于58 K时的电荷顺序,而在表面附近,TRS断裂在58 K时开始,强度是58 K的两倍。铌的掺杂使超导临界温度由2.5 K提高到4.4 K。在压力作用下,临界温度和超流体密度加倍,在0.85 GPa以上出现破trs超导电性。这些发现揭示了kagome系统的深度可调trs破断状态和非常规超导行为。
本文章由计算机程序翻译,如有差异,请以英文原文为准。

Pressure induced transition from chiral charge order to time-reversal symmetry-breaking superconducting state in Nb-doped CsV<sub>3</sub>Sb<sub>5</sub>.

Pressure induced transition from chiral charge order to time-reversal symmetry-breaking superconducting state in Nb-doped CsV<sub>3</sub>Sb<sub>5</sub>.

Pressure induced transition from chiral charge order to time-reversal symmetry-breaking superconducting state in Nb-doped CsV<sub>3</sub>Sb<sub>5</sub>.

Pressure induced transition from chiral charge order to time-reversal symmetry-breaking superconducting state in Nb-doped CsV3Sb5.

Understanding how time-reversal symmetry (TRS) breaks in quantum materials is key to uncovering new states of matter and advancing quantum technologies. However, unraveling the interplay between TRS breaking, charge order, and superconductivity in kagome metals continues to be a compelling challenge. Here, we investigate the kagome metal Cs(V1-x Nb x )3Sb5 with x = 0.07 using muon spin rotation (μSR), alternating current (AC) magnetic susceptibility, and scanning tunneling microscopy (STM), under combined tuning by chemical doping, hydrostatic pressure, magnetic field, and depth from the surface. We find that TRS breaking in the bulk emerges below 40 K-lower than the charge order onset at 58 K-while near the surface, TRS breaking onsets at 58 K and is twice as strong. Niobium doping raises the superconducting critical temperature from 2.5 K to 4.4 K. Under pressure, both the critical temperature and superfluid density double, with TRS-breaking superconductivity appearing above 0.85 GPa. These findings reveal a depth-tunable TRS-breaking state and unconventional superconducting behavior in kagome systems.

求助全文
通过发布文献求助,成功后即可免费获取论文全文。 去求助
来源期刊
Communications Physics
Communications Physics Physics and Astronomy-General Physics and Astronomy
CiteScore
8.40
自引率
3.60%
发文量
276
审稿时长
13 weeks
期刊介绍: Communications Physics is an open access journal from Nature Research publishing high-quality research, reviews and commentary in all areas of the physical sciences. Research papers published by the journal represent significant advances bringing new insight to a specialized area of research in physics. We also aim to provide a community forum for issues of importance to all physicists, regardless of sub-discipline. The scope of the journal covers all areas of experimental, applied, fundamental, and interdisciplinary physical sciences. Primary research published in Communications Physics includes novel experimental results, new techniques or computational methods that may influence the work of others in the sub-discipline. We also consider submissions from adjacent research fields where the central advance of the study is of interest to physicists, for example material sciences, physical chemistry and technologies.
×
引用
GB/T 7714-2015
复制
MLA
复制
APA
复制
导出至
BibTeX EndNote RefMan NoteFirst NoteExpress
×
提示
您的信息不完整,为了账户安全,请先补充。
现在去补充
×
提示
您因"违规操作"
具体请查看互助需知
我知道了
×
提示
确定
请完成安全验证×
copy
已复制链接
快去分享给好友吧!
我知道了
右上角分享
点击右上角分享
0
联系我们:info@booksci.cn Book学术提供免费学术资源搜索服务,方便国内外学者检索中英文文献。致力于提供最便捷和优质的服务体验。 Copyright © 2023 布克学术 All rights reserved.
京ICP备2023020795号-1
ghs 京公网安备 11010802042870号
Book学术文献互助
Book学术文献互助群
群 号:604180095
Book学术官方微信