在肾移植受者中,单独医疗管理与冠状动脉造影后血运重建的死亡率和移植物衰竭:一项基于人群的研究。

IF 1.5 Q3 UROLOGY & NEPHROLOGY
Canadian Journal of Kidney Health and Disease Pub Date : 2025-08-01 eCollection Date: 2025-01-01 DOI:10.1177/20543581251358143
Labib I Faruque, Robert R Quinn, Pietro Ravani, Tyrone G Harrison, Brenda Hemmelgarn, Stephen Wilton, Alix Clarke, Matthew T James, Ngan N Lam
{"title":"在肾移植受者中,单独医疗管理与冠状动脉造影后血运重建的死亡率和移植物衰竭:一项基于人群的研究。","authors":"Labib I Faruque, Robert R Quinn, Pietro Ravani, Tyrone G Harrison, Brenda Hemmelgarn, Stephen Wilton, Alix Clarke, Matthew T James, Ngan N Lam","doi":"10.1177/20543581251358143","DOIUrl":null,"url":null,"abstract":"<p><strong>Background: </strong>There are limited data on the outcomes following medical management alone versus revascularization (percutaneous coronary intervention [PCI] or coronary artery bypass grafting [CABG]) after coronary angiography in kidney transplant recipients.</p><p><strong>Objective: </strong>The objective was to compare survival and graft loss in kidney transplant recipients treated with medical therapy alone versus coronary revascularization following coronary angiography.</p><p><strong>Design: </strong>We conducted a retrospective, population-based cohort study using linked health care databases.</p><p><strong>Setting: </strong>This study was conducted in Alberta, Canada.</p><p><strong>Patients: </strong>We included adult, kidney-only transplant recipients between January 1997 and March 2015 who survived at least 1-year post-transplant with a functioning graft and had a coronary angiography during follow-up.</p><p><strong>Measurements: </strong>The outcomes were all-cause mortality, death-censored graft failure, death with a functioning graft, and all-cause graft failure.</p><p><strong>Methods: </strong>We ascertained baseline characteristics, covariate information, and outcome data from the Alberta Kidney Disease Network (AKDN) and Alberta Provincial Project for Outcome Assessment in Coronary Heart Disease (APPROACH) databases. We used Cox proportional hazards models to compare mortality and graft loss between recipients treated with medical management versus revascularization (PCI or CABG) following angiography.</p><p><strong>Results: </strong>We identified 142 kidney transplant recipients who received a coronary angiography: 69 (49%) were treated with medical management, and 73 (51%) were treated with revascularization (PCI n = 52, CABG n = 21). The median age was 60 years (interquartile range [IQR] 50-66), 76% were male, the median baseline estimated glomerular filtration rate (eGFR) was 54 mL/min/1.73 m<sup>2</sup> (IQR 41-69), and the median follow-up was 5 years (IQR 2-8). Compared to medical management, recipients treated with revascularization did not have statistically higher risk of all-cause mortality (55% vs 62%; 80 vs 102 events/1000 person-years; adjusted hazard ratio [aHR] 1.32, 95% CI 0.86-2.02; <i>P</i> = .21). There was no significant difference in death-censored graft failure between the two treatment groups (20% vs 22%; 33 vs 40 events/1000 person-years; aHR 1.22, 95% CI 0.58-2.58; <i>P</i> = .60).</p><p><strong>Limitations: </strong>The clinical indications for medical management alone versus revascularization might influence the choice of these interventions. Due to the smaller sample size, we could not present the outcomes by PCI versus CABG. We also did not have complete data on blood pressure, body mass index, or medication usage which might have influenced our outcomes.</p><p><strong>Conclusions: </strong>In kidney transplant recipients undergoing coronary angiography, the rate of mortality was more than double that of graft failure, regardless of post-angiography management of coronary artery disease. The high overall risk for both groups requires further exploration in larger cohorts with longer follow-up.</p>","PeriodicalId":9426,"journal":{"name":"Canadian Journal of Kidney Health and Disease","volume":"12 ","pages":"20543581251358143"},"PeriodicalIF":1.5000,"publicationDate":"2025-08-01","publicationTypes":"Journal Article","fieldsOfStudy":null,"isOpenAccess":false,"openAccessPdf":"https://www.ncbi.nlm.nih.gov/pmc/articles/PMC12319199/pdf/","citationCount":"0","resultStr":"{\"title\":\"Mortality and Graft Failure With Medical Management Alone Versus Revascularization After Coronary Angiography Among Kidney Transplant Recipients: A Population-Based Study.\",\"authors\":\"Labib I Faruque, Robert R Quinn, Pietro Ravani, Tyrone G Harrison, Brenda Hemmelgarn, Stephen Wilton, Alix Clarke, Matthew T James, Ngan N Lam\",\"doi\":\"10.1177/20543581251358143\",\"DOIUrl\":null,\"url\":null,\"abstract\":\"<p><strong>Background: </strong>There are limited data on the outcomes following medical management alone versus revascularization (percutaneous coronary intervention [PCI] or coronary artery bypass grafting [CABG]) after coronary angiography in kidney transplant recipients.</p><p><strong>Objective: </strong>The objective was to compare survival and graft loss in kidney transplant recipients treated with medical therapy alone versus coronary revascularization following coronary angiography.</p><p><strong>Design: </strong>We conducted a retrospective, population-based cohort study using linked health care databases.</p><p><strong>Setting: </strong>This study was conducted in Alberta, Canada.</p><p><strong>Patients: </strong>We included adult, kidney-only transplant recipients between January 1997 and March 2015 who survived at least 1-year post-transplant with a functioning graft and had a coronary angiography during follow-up.</p><p><strong>Measurements: </strong>The outcomes were all-cause mortality, death-censored graft failure, death with a functioning graft, and all-cause graft failure.</p><p><strong>Methods: </strong>We ascertained baseline characteristics, covariate information, and outcome data from the Alberta Kidney Disease Network (AKDN) and Alberta Provincial Project for Outcome Assessment in Coronary Heart Disease (APPROACH) databases. We used Cox proportional hazards models to compare mortality and graft loss between recipients treated with medical management versus revascularization (PCI or CABG) following angiography.</p><p><strong>Results: </strong>We identified 142 kidney transplant recipients who received a coronary angiography: 69 (49%) were treated with medical management, and 73 (51%) were treated with revascularization (PCI n = 52, CABG n = 21). The median age was 60 years (interquartile range [IQR] 50-66), 76% were male, the median baseline estimated glomerular filtration rate (eGFR) was 54 mL/min/1.73 m<sup>2</sup> (IQR 41-69), and the median follow-up was 5 years (IQR 2-8). Compared to medical management, recipients treated with revascularization did not have statistically higher risk of all-cause mortality (55% vs 62%; 80 vs 102 events/1000 person-years; adjusted hazard ratio [aHR] 1.32, 95% CI 0.86-2.02; <i>P</i> = .21). There was no significant difference in death-censored graft failure between the two treatment groups (20% vs 22%; 33 vs 40 events/1000 person-years; aHR 1.22, 95% CI 0.58-2.58; <i>P</i> = .60).</p><p><strong>Limitations: </strong>The clinical indications for medical management alone versus revascularization might influence the choice of these interventions. Due to the smaller sample size, we could not present the outcomes by PCI versus CABG. We also did not have complete data on blood pressure, body mass index, or medication usage which might have influenced our outcomes.</p><p><strong>Conclusions: </strong>In kidney transplant recipients undergoing coronary angiography, the rate of mortality was more than double that of graft failure, regardless of post-angiography management of coronary artery disease. The high overall risk for both groups requires further exploration in larger cohorts with longer follow-up.</p>\",\"PeriodicalId\":9426,\"journal\":{\"name\":\"Canadian Journal of Kidney Health and Disease\",\"volume\":\"12 \",\"pages\":\"20543581251358143\"},\"PeriodicalIF\":1.5000,\"publicationDate\":\"2025-08-01\",\"publicationTypes\":\"Journal Article\",\"fieldsOfStudy\":null,\"isOpenAccess\":false,\"openAccessPdf\":\"https://www.ncbi.nlm.nih.gov/pmc/articles/PMC12319199/pdf/\",\"citationCount\":\"0\",\"resultStr\":null,\"platform\":\"Semanticscholar\",\"paperid\":null,\"PeriodicalName\":\"Canadian Journal of Kidney Health and Disease\",\"FirstCategoryId\":\"1085\",\"ListUrlMain\":\"https://doi.org/10.1177/20543581251358143\",\"RegionNum\":0,\"RegionCategory\":null,\"ArticlePicture\":[],\"TitleCN\":null,\"AbstractTextCN\":null,\"PMCID\":null,\"EPubDate\":\"2025/1/1 0:00:00\",\"PubModel\":\"eCollection\",\"JCR\":\"Q3\",\"JCRName\":\"UROLOGY & NEPHROLOGY\",\"Score\":null,\"Total\":0}","platform":"Semanticscholar","paperid":null,"PeriodicalName":"Canadian Journal of Kidney Health and Disease","FirstCategoryId":"1085","ListUrlMain":"https://doi.org/10.1177/20543581251358143","RegionNum":0,"RegionCategory":null,"ArticlePicture":[],"TitleCN":null,"AbstractTextCN":null,"PMCID":null,"EPubDate":"2025/1/1 0:00:00","PubModel":"eCollection","JCR":"Q3","JCRName":"UROLOGY & NEPHROLOGY","Score":null,"Total":0}
引用次数: 0

摘要

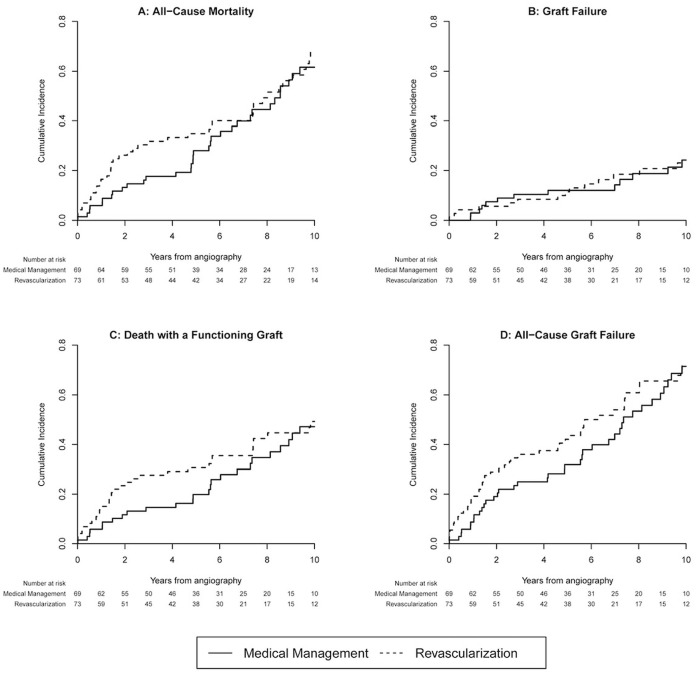
背景:关于肾移植受者冠状动脉造影后单纯药物治疗与血管重建术(经皮冠状动脉介入治疗[PCI]或冠状动脉旁路移植术[CABG])的结果的数据有限。目的:目的是比较单纯药物治疗与冠脉造影后冠脉重建术的肾移植受者的生存和移植物损失。设计:我们使用关联的卫生保健数据库进行了一项回顾性的、基于人群的队列研究。背景:本研究在加拿大艾伯塔省进行。患者:我们纳入了1997年1月至2015年3月期间的成人纯肾移植受者,他们在移植后存活至少1年,移植物功能正常,并在随访期间进行了冠状动脉造影。测量:结果为全因死亡率、死亡审查的移植物衰竭、功能正常的移植物死亡和全因移植物衰竭。方法:我们从阿尔伯塔肾脏疾病网络(AKDN)和阿尔伯塔省冠心病结局评估项目(APPROACH)数据库中确定基线特征、协变量信息和结局数据。我们使用Cox比例风险模型来比较接受医疗管理与血管重建(PCI或CABG)后受者的死亡率和移植物损失。结果:我们确定了142例接受冠状动脉造影的肾移植受者:69例(49%)接受了医疗管理,73例(51%)接受了血运重建术(PCI = 52, CABG = 21)。中位年龄为60岁(四分位数范围[IQR] 50-66), 76%为男性,基线估计肾小球滤过率(eGFR)中位为54 mL/min/1.73 m2 (IQR 41-69),中位随访时间为5年(IQR 2-8)。与医疗管理相比,接受血运重建术治疗的受者没有统计学上更高的全因死亡率风险(55% vs 62%;80 vs 102事件/1000人年;校正风险比[aHR] 1.32, 95% CI 0.86-2.02;P = .21)。两个治疗组在死亡审查移植失败方面无显著差异(20% vs 22%;33 vs 40事件/1000人年;aHR 1.22, 95% CI 0.58-2.58;P = 0.60)。局限性:单纯医学治疗与血运重建的临床适应症可能会影响这些干预措施的选择。由于样本量较小,我们无法给出PCI与CABG的结果。我们也没有关于血压、体重指数或药物使用的完整数据,这些数据可能会影响我们的结果。结论:在接受冠状动脉造影的肾移植受者中,无论冠状动脉疾病的血管造影后处理如何,死亡率是移植失败的两倍以上。这两组的总体风险较高,需要在更大的队列中进行进一步的研究,随访时间更长。
本文章由计算机程序翻译,如有差异,请以英文原文为准。

Mortality and Graft Failure With Medical Management Alone Versus Revascularization After Coronary Angiography Among Kidney Transplant Recipients: A Population-Based Study.

Mortality and Graft Failure With Medical Management Alone Versus Revascularization After Coronary Angiography Among Kidney Transplant Recipients: A Population-Based Study.

Mortality and Graft Failure With Medical Management Alone Versus Revascularization After Coronary Angiography Among Kidney Transplant Recipients: A Population-Based Study.

Mortality and Graft Failure With Medical Management Alone Versus Revascularization After Coronary Angiography Among Kidney Transplant Recipients: A Population-Based Study.

Background: There are limited data on the outcomes following medical management alone versus revascularization (percutaneous coronary intervention [PCI] or coronary artery bypass grafting [CABG]) after coronary angiography in kidney transplant recipients.

Objective: The objective was to compare survival and graft loss in kidney transplant recipients treated with medical therapy alone versus coronary revascularization following coronary angiography.

Design: We conducted a retrospective, population-based cohort study using linked health care databases.

Setting: This study was conducted in Alberta, Canada.

Patients: We included adult, kidney-only transplant recipients between January 1997 and March 2015 who survived at least 1-year post-transplant with a functioning graft and had a coronary angiography during follow-up.

Measurements: The outcomes were all-cause mortality, death-censored graft failure, death with a functioning graft, and all-cause graft failure.

Methods: We ascertained baseline characteristics, covariate information, and outcome data from the Alberta Kidney Disease Network (AKDN) and Alberta Provincial Project for Outcome Assessment in Coronary Heart Disease (APPROACH) databases. We used Cox proportional hazards models to compare mortality and graft loss between recipients treated with medical management versus revascularization (PCI or CABG) following angiography.

Results: We identified 142 kidney transplant recipients who received a coronary angiography: 69 (49%) were treated with medical management, and 73 (51%) were treated with revascularization (PCI n = 52, CABG n = 21). The median age was 60 years (interquartile range [IQR] 50-66), 76% were male, the median baseline estimated glomerular filtration rate (eGFR) was 54 mL/min/1.73 m2 (IQR 41-69), and the median follow-up was 5 years (IQR 2-8). Compared to medical management, recipients treated with revascularization did not have statistically higher risk of all-cause mortality (55% vs 62%; 80 vs 102 events/1000 person-years; adjusted hazard ratio [aHR] 1.32, 95% CI 0.86-2.02; P = .21). There was no significant difference in death-censored graft failure between the two treatment groups (20% vs 22%; 33 vs 40 events/1000 person-years; aHR 1.22, 95% CI 0.58-2.58; P = .60).

Limitations: The clinical indications for medical management alone versus revascularization might influence the choice of these interventions. Due to the smaller sample size, we could not present the outcomes by PCI versus CABG. We also did not have complete data on blood pressure, body mass index, or medication usage which might have influenced our outcomes.

Conclusions: In kidney transplant recipients undergoing coronary angiography, the rate of mortality was more than double that of graft failure, regardless of post-angiography management of coronary artery disease. The high overall risk for both groups requires further exploration in larger cohorts with longer follow-up.

求助全文
通过发布文献求助,成功后即可免费获取论文全文。 去求助
来源期刊
CiteScore
3.00
自引率
5.90%
发文量
84
审稿时长
12 weeks
期刊介绍: Canadian Journal of Kidney Health and Disease, the official journal of the Canadian Society of Nephrology, is an open access, peer-reviewed online journal that encourages high quality submissions focused on clinical, translational and health services delivery research in the field of chronic kidney disease, dialysis, kidney transplantation and organ donation. Our mandate is to promote and advocate for kidney health as it impacts national and international communities. Basic science, translational studies and clinical studies will be peer reviewed and processed by an Editorial Board comprised of geographically diverse Canadian and international nephrologists, internists and allied health professionals; this Editorial Board is mandated to ensure highest quality publications.
×
引用
GB/T 7714-2015
复制
MLA
复制
APA
复制
导出至
BibTeX EndNote RefMan NoteFirst NoteExpress
×
提示
您的信息不完整,为了账户安全,请先补充。
现在去补充
×
提示
您因"违规操作"
具体请查看互助需知
我知道了
×
提示
确定
请完成安全验证×
copy
已复制链接
快去分享给好友吧!
我知道了
右上角分享
点击右上角分享
0
联系我们:info@booksci.cn Book学术提供免费学术资源搜索服务,方便国内外学者检索中英文文献。致力于提供最便捷和优质的服务体验。 Copyright © 2023 布克学术 All rights reserved.
京ICP备2023020795号-1
ghs 京公网安备 11010802042870号
Book学术文献互助
Book学术文献互助群
群 号:604180095
Book学术官方微信