为什么优断试验很重要:提高双眼竞争意象启动分数以评估幻觉。

IF 3.9 2区 心理学 Q1 PSYCHOLOGY, EXPERIMENTAL
Merlin Monzel, Christian O Scholz, Joel Pearson, Martin Reuter
{"title":"为什么优断试验很重要:提高双眼竞争意象启动分数以评估幻觉。","authors":"Merlin Monzel, Christian O Scholz, Joel Pearson, Martin Reuter","doi":"10.3758/s13428-025-02780-6","DOIUrl":null,"url":null,"abstract":"<p><p>Since mental imagery cannot be observed from the outside, it is all the more important to make it measurable. Yet, many so-called mental imagery tasks confuse object and spatial imagery or can be solved entirely without mental imagery, making them inappropriate for the assessment of mental imagery strength. One promising measurement method is the binocular rivalry task by Pearson et al. (Current Biology 18(13):982-986, 2008), which uses mental imagery priming to quantify mental imagery strength. Here, we propose an improved equation for the binocular rivalry priming score to significantly increase its predictive validity. In a sample of 38 aphantasics and 73 controls, we demonstrate that the binocular rivalry priming score calculated by the new equation explains more variance in the self-reported mental imagery capacity than the original equation. The improved binocular rivalry priming score is particularly beneficial when only a few trials are recorded (e.g., due to time or attention constraints) or when people with low mental imagery (i.e., aphantasics) have to be identified. The improved binocular rivalry priming score is advantageous in many situations, making it the preferred measure for future research.</p>","PeriodicalId":8717,"journal":{"name":"Behavior Research Methods","volume":"57 9","pages":"248"},"PeriodicalIF":3.9000,"publicationDate":"2025-08-04","publicationTypes":"Journal Article","fieldsOfStudy":null,"isOpenAccess":false,"openAccessPdf":"https://www.ncbi.nlm.nih.gov/pmc/articles/PMC12321684/pdf/","citationCount":"0","resultStr":"{\"title\":\"Why indecisive trials matter: Improving the binocular rivalry imagery priming score for the assessment of aphantasia.\",\"authors\":\"Merlin Monzel, Christian O Scholz, Joel Pearson, Martin Reuter\",\"doi\":\"10.3758/s13428-025-02780-6\",\"DOIUrl\":null,\"url\":null,\"abstract\":\"<p><p>Since mental imagery cannot be observed from the outside, it is all the more important to make it measurable. Yet, many so-called mental imagery tasks confuse object and spatial imagery or can be solved entirely without mental imagery, making them inappropriate for the assessment of mental imagery strength. One promising measurement method is the binocular rivalry task by Pearson et al. (Current Biology 18(13):982-986, 2008), which uses mental imagery priming to quantify mental imagery strength. Here, we propose an improved equation for the binocular rivalry priming score to significantly increase its predictive validity. In a sample of 38 aphantasics and 73 controls, we demonstrate that the binocular rivalry priming score calculated by the new equation explains more variance in the self-reported mental imagery capacity than the original equation. The improved binocular rivalry priming score is particularly beneficial when only a few trials are recorded (e.g., due to time or attention constraints) or when people with low mental imagery (i.e., aphantasics) have to be identified. The improved binocular rivalry priming score is advantageous in many situations, making it the preferred measure for future research.</p>\",\"PeriodicalId\":8717,\"journal\":{\"name\":\"Behavior Research Methods\",\"volume\":\"57 9\",\"pages\":\"248\"},\"PeriodicalIF\":3.9000,\"publicationDate\":\"2025-08-04\",\"publicationTypes\":\"Journal Article\",\"fieldsOfStudy\":null,\"isOpenAccess\":false,\"openAccessPdf\":\"https://www.ncbi.nlm.nih.gov/pmc/articles/PMC12321684/pdf/\",\"citationCount\":\"0\",\"resultStr\":null,\"platform\":\"Semanticscholar\",\"paperid\":null,\"PeriodicalName\":\"Behavior Research Methods\",\"FirstCategoryId\":\"102\",\"ListUrlMain\":\"https://doi.org/10.3758/s13428-025-02780-6\",\"RegionNum\":2,\"RegionCategory\":\"心理学\",\"ArticlePicture\":[],\"TitleCN\":null,\"AbstractTextCN\":null,\"PMCID\":null,\"EPubDate\":\"\",\"PubModel\":\"\",\"JCR\":\"Q1\",\"JCRName\":\"PSYCHOLOGY, EXPERIMENTAL\",\"Score\":null,\"Total\":0}","platform":"Semanticscholar","paperid":null,"PeriodicalName":"Behavior Research Methods","FirstCategoryId":"102","ListUrlMain":"https://doi.org/10.3758/s13428-025-02780-6","RegionNum":2,"RegionCategory":"心理学","ArticlePicture":[],"TitleCN":null,"AbstractTextCN":null,"PMCID":null,"EPubDate":"","PubModel":"","JCR":"Q1","JCRName":"PSYCHOLOGY, EXPERIMENTAL","Score":null,"Total":0}
引用次数: 0

摘要

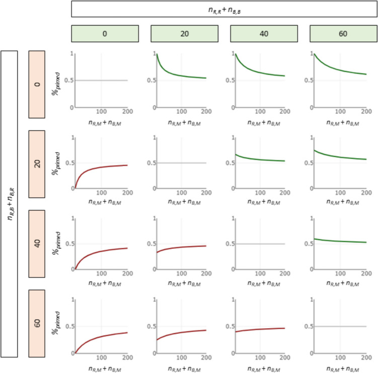
由于心理意象无法从外部观察到,因此使其可测量就显得尤为重要。然而,许多所谓的心理意象任务混淆了物体和空间意象,或者完全不需要心理意象就能解决,这使得它们不适合评估心理意象的强度。一种很有前景的测量方法是Pearson等人的双目竞争任务(Current Biology 18(13):982-986, 2008),它使用心理意象启动来量化心理意象强度。在此,我们提出了一个改进的双目竞争启动分数方程,以显著提高其预测效度。在38名被试和73名对照组的样本中,我们证明了由新方程计算的双眼竞争启动分数比原始方程解释了自我报告的心理意象能力的更多差异。当只记录少量试验时(例如,由于时间或注意力的限制),或者当必须识别具有低心理意象的人(例如,幻觉)时,双眼竞争启动分数的提高尤其有益。改进后的双眼竞争启动分数在许多情况下是有利的,使其成为未来研究的首选测量方法。
本文章由计算机程序翻译,如有差异,请以英文原文为准。

Why indecisive trials matter: Improving the binocular rivalry imagery priming score for the assessment of aphantasia.

Why indecisive trials matter: Improving the binocular rivalry imagery priming score for the assessment of aphantasia.

Why indecisive trials matter: Improving the binocular rivalry imagery priming score for the assessment of aphantasia.

Why indecisive trials matter: Improving the binocular rivalry imagery priming score for the assessment of aphantasia.

Since mental imagery cannot be observed from the outside, it is all the more important to make it measurable. Yet, many so-called mental imagery tasks confuse object and spatial imagery or can be solved entirely without mental imagery, making them inappropriate for the assessment of mental imagery strength. One promising measurement method is the binocular rivalry task by Pearson et al. (Current Biology 18(13):982-986, 2008), which uses mental imagery priming to quantify mental imagery strength. Here, we propose an improved equation for the binocular rivalry priming score to significantly increase its predictive validity. In a sample of 38 aphantasics and 73 controls, we demonstrate that the binocular rivalry priming score calculated by the new equation explains more variance in the self-reported mental imagery capacity than the original equation. The improved binocular rivalry priming score is particularly beneficial when only a few trials are recorded (e.g., due to time or attention constraints) or when people with low mental imagery (i.e., aphantasics) have to be identified. The improved binocular rivalry priming score is advantageous in many situations, making it the preferred measure for future research.

求助全文
通过发布文献求助,成功后即可免费获取论文全文。 去求助
来源期刊
CiteScore
10.30
自引率
9.30%
发文量
266
期刊介绍: Behavior Research Methods publishes articles concerned with the methods, techniques, and instrumentation of research in experimental psychology. The journal focuses particularly on the use of computer technology in psychological research. An annual special issue is devoted to this field.
×
引用
GB/T 7714-2015
复制
MLA
复制
APA
复制
导出至
BibTeX EndNote RefMan NoteFirst NoteExpress
×
提示
您的信息不完整,为了账户安全,请先补充。
现在去补充
×
提示
您因"违规操作"
具体请查看互助需知
我知道了
×
提示
确定
请完成安全验证×
copy
已复制链接
快去分享给好友吧!
我知道了
右上角分享
点击右上角分享
0
联系我们:info@booksci.cn Book学术提供免费学术资源搜索服务,方便国内外学者检索中英文文献。致力于提供最便捷和优质的服务体验。 Copyright © 2023 布克学术 All rights reserved.
京ICP备2023020795号-1
ghs 京公网安备 11010802042870号
Book学术文献互助
Book学术文献互助群
群 号:604180095
Book学术官方微信