炎症性肌肉减少症,慢性肝病的新概念:磁共振成像生物标志物的见解。

IF 2.5 Q2 GASTROENTEROLOGY & HEPATOLOGY
Translational gastroenterology and hepatology Pub Date : 2025-04-23 eCollection Date: 2025-01-01 DOI:10.21037/tgh-24-120
Atsushi Nakamura, Kazuki Watanabe, Tsubasa Yoshimura, Takeshi Ichikawa, Keiji Okuyama
{"title":"炎症性肌肉减少症,慢性肝病的新概念:磁共振成像生物标志物的见解。","authors":"Atsushi Nakamura, Kazuki Watanabe, Tsubasa Yoshimura, Takeshi Ichikawa, Keiji Okuyama","doi":"10.21037/tgh-24-120","DOIUrl":null,"url":null,"abstract":"<p><strong>Background: </strong>Sarcopenia is an important prognostic factor for chronic liver disease (CLD), and systemic inflammation, which contributes to sarcopenia, is also a potent exacerbator of cirrhosis. This study introduces the novel concept of inflammatory sarcopenia (I-SP) and clarifies its clinical profile.</p><p><strong>Methods: </strong>This single-center retrospective study included 762 CLD patients with liver stiffness (LS) measured by magnetic resonance elastography (MRE). I-SP was defined as patients with C-reactive protein (CRP) ≥0.5 mg/dL and low muscle mass assessed by magnetic resonance imaging (MRI), compared with non-sarcopenia (non-SP) and non-I-SP (NI-SP). Prognostic analysis for advanced CLD (ACLD) was conducted using a Cox proportional hazards model, with ACLD defined as LS ≥3 kPa.</p><p><strong>Results: </strong>In CLD, 534, 168, and 60 patients had non-SP, NI-SP, and I-SP, respectively. I-SP patients had a higher complication rate of hepatocellular carcinoma (HCC), which correlated with increased LS and worsening albumin-bilirubin (ALBI) scores (P<0.01 for each). Multivariate logistic regression identified LS (≥3 kPa), ALBI score, alcohol-related liver disease (ALD), and HCC as associated with I-SP (P<0.05 for each). In the follow-up of NI-SP patients (median 36 months), 13% progressed to I-SP and none of the patients had LS <3 kPa. In the ACLD study (n=306), patient survival was stratified into non-SP, NI-SP, and I-SP groups [hazard ratio (HR) reference, 3.4, 15.0, P<0.01 for each]. Multivariate analysis identified ALBI score, HCC, and I-SP as independent prognostic factors (P<0.05 for each).</p><p><strong>Conclusions: </strong>Our study provides a novel perspective on sarcopenia in CLD and advocates a two-step treatment strategy focused on preventing sarcopenia in ACLD and controlling its progression to I-SP.</p>","PeriodicalId":94362,"journal":{"name":"Translational gastroenterology and hepatology","volume":"10 ","pages":"50"},"PeriodicalIF":2.5000,"publicationDate":"2025-04-23","publicationTypes":"Journal Article","fieldsOfStudy":null,"isOpenAccess":false,"openAccessPdf":"https://www.ncbi.nlm.nih.gov/pmc/articles/PMC12314703/pdf/","citationCount":"0","resultStr":"{\"title\":\"Inflammatory sarcopenia, a novel concept in chronic liver disease: insights from magnetic resonance imaging biomarkers.\",\"authors\":\"Atsushi Nakamura, Kazuki Watanabe, Tsubasa Yoshimura, Takeshi Ichikawa, Keiji Okuyama\",\"doi\":\"10.21037/tgh-24-120\",\"DOIUrl\":null,\"url\":null,\"abstract\":\"<p><strong>Background: </strong>Sarcopenia is an important prognostic factor for chronic liver disease (CLD), and systemic inflammation, which contributes to sarcopenia, is also a potent exacerbator of cirrhosis. This study introduces the novel concept of inflammatory sarcopenia (I-SP) and clarifies its clinical profile.</p><p><strong>Methods: </strong>This single-center retrospective study included 762 CLD patients with liver stiffness (LS) measured by magnetic resonance elastography (MRE). I-SP was defined as patients with C-reactive protein (CRP) ≥0.5 mg/dL and low muscle mass assessed by magnetic resonance imaging (MRI), compared with non-sarcopenia (non-SP) and non-I-SP (NI-SP). Prognostic analysis for advanced CLD (ACLD) was conducted using a Cox proportional hazards model, with ACLD defined as LS ≥3 kPa.</p><p><strong>Results: </strong>In CLD, 534, 168, and 60 patients had non-SP, NI-SP, and I-SP, respectively. I-SP patients had a higher complication rate of hepatocellular carcinoma (HCC), which correlated with increased LS and worsening albumin-bilirubin (ALBI) scores (P<0.01 for each). Multivariate logistic regression identified LS (≥3 kPa), ALBI score, alcohol-related liver disease (ALD), and HCC as associated with I-SP (P<0.05 for each). In the follow-up of NI-SP patients (median 36 months), 13% progressed to I-SP and none of the patients had LS <3 kPa. In the ACLD study (n=306), patient survival was stratified into non-SP, NI-SP, and I-SP groups [hazard ratio (HR) reference, 3.4, 15.0, P<0.01 for each]. Multivariate analysis identified ALBI score, HCC, and I-SP as independent prognostic factors (P<0.05 for each).</p><p><strong>Conclusions: </strong>Our study provides a novel perspective on sarcopenia in CLD and advocates a two-step treatment strategy focused on preventing sarcopenia in ACLD and controlling its progression to I-SP.</p>\",\"PeriodicalId\":94362,\"journal\":{\"name\":\"Translational gastroenterology and hepatology\",\"volume\":\"10 \",\"pages\":\"50\"},\"PeriodicalIF\":2.5000,\"publicationDate\":\"2025-04-23\",\"publicationTypes\":\"Journal Article\",\"fieldsOfStudy\":null,\"isOpenAccess\":false,\"openAccessPdf\":\"https://www.ncbi.nlm.nih.gov/pmc/articles/PMC12314703/pdf/\",\"citationCount\":\"0\",\"resultStr\":null,\"platform\":\"Semanticscholar\",\"paperid\":null,\"PeriodicalName\":\"Translational gastroenterology and hepatology\",\"FirstCategoryId\":\"1085\",\"ListUrlMain\":\"https://doi.org/10.21037/tgh-24-120\",\"RegionNum\":0,\"RegionCategory\":null,\"ArticlePicture\":[],\"TitleCN\":null,\"AbstractTextCN\":null,\"PMCID\":null,\"EPubDate\":\"2025/1/1 0:00:00\",\"PubModel\":\"eCollection\",\"JCR\":\"Q2\",\"JCRName\":\"GASTROENTEROLOGY & HEPATOLOGY\",\"Score\":null,\"Total\":0}","platform":"Semanticscholar","paperid":null,"PeriodicalName":"Translational gastroenterology and hepatology","FirstCategoryId":"1085","ListUrlMain":"https://doi.org/10.21037/tgh-24-120","RegionNum":0,"RegionCategory":null,"ArticlePicture":[],"TitleCN":null,"AbstractTextCN":null,"PMCID":null,"EPubDate":"2025/1/1 0:00:00","PubModel":"eCollection","JCR":"Q2","JCRName":"GASTROENTEROLOGY & HEPATOLOGY","Score":null,"Total":0}
引用次数: 0

摘要

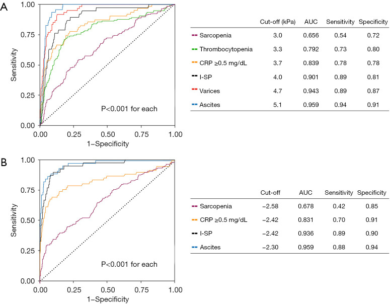
背景:肌肉减少症是慢性肝病(CLD)的一个重要预后因素,而导致肌肉减少症的全身性炎症也是肝硬化的一个强有力的加剧因素。本研究介绍了炎症性肌肉减少症(I-SP)的新概念,并阐明了其临床特征。方法:本单中心回顾性研究纳入762例CLD患者,采用磁共振弹性成像(MRE)测量肝脏硬度(LS)。I-SP定义为与非肌少症(non-SP)和非I-SP (NI-SP)相比,磁共振成像(MRI)评估的c反应蛋白(CRP)≥0.5 mg/dL和低肌肉质量的患者。采用Cox比例风险模型对晚期CLD (ACLD)进行预后分析,将ACLD定义为LS≥3kpa。结果:CLD中,非sp、NI-SP和I-SP患者分别为534例、168例和60例。I-SP患者的肝细胞癌(HCC)并发症发生率较高,与LS升高和白蛋白-胆红素(ALBI)评分恶化相关(p)。结论:本研究为CLD中肌少症提供了新的视角,提倡以预防ACLD中肌少症和控制其向I-SP发展为重点的两步走治疗策略。
本文章由计算机程序翻译,如有差异,请以英文原文为准。

Inflammatory sarcopenia, a novel concept in chronic liver disease: insights from magnetic resonance imaging biomarkers.

Inflammatory sarcopenia, a novel concept in chronic liver disease: insights from magnetic resonance imaging biomarkers.

Inflammatory sarcopenia, a novel concept in chronic liver disease: insights from magnetic resonance imaging biomarkers.

Inflammatory sarcopenia, a novel concept in chronic liver disease: insights from magnetic resonance imaging biomarkers.

Background: Sarcopenia is an important prognostic factor for chronic liver disease (CLD), and systemic inflammation, which contributes to sarcopenia, is also a potent exacerbator of cirrhosis. This study introduces the novel concept of inflammatory sarcopenia (I-SP) and clarifies its clinical profile.

Methods: This single-center retrospective study included 762 CLD patients with liver stiffness (LS) measured by magnetic resonance elastography (MRE). I-SP was defined as patients with C-reactive protein (CRP) ≥0.5 mg/dL and low muscle mass assessed by magnetic resonance imaging (MRI), compared with non-sarcopenia (non-SP) and non-I-SP (NI-SP). Prognostic analysis for advanced CLD (ACLD) was conducted using a Cox proportional hazards model, with ACLD defined as LS ≥3 kPa.

Results: In CLD, 534, 168, and 60 patients had non-SP, NI-SP, and I-SP, respectively. I-SP patients had a higher complication rate of hepatocellular carcinoma (HCC), which correlated with increased LS and worsening albumin-bilirubin (ALBI) scores (P<0.01 for each). Multivariate logistic regression identified LS (≥3 kPa), ALBI score, alcohol-related liver disease (ALD), and HCC as associated with I-SP (P<0.05 for each). In the follow-up of NI-SP patients (median 36 months), 13% progressed to I-SP and none of the patients had LS <3 kPa. In the ACLD study (n=306), patient survival was stratified into non-SP, NI-SP, and I-SP groups [hazard ratio (HR) reference, 3.4, 15.0, P<0.01 for each]. Multivariate analysis identified ALBI score, HCC, and I-SP as independent prognostic factors (P<0.05 for each).

Conclusions: Our study provides a novel perspective on sarcopenia in CLD and advocates a two-step treatment strategy focused on preventing sarcopenia in ACLD and controlling its progression to I-SP.

求助全文
通过发布文献求助,成功后即可免费获取论文全文。 去求助
来源期刊
自引率
0.00%
发文量
0
×
引用
GB/T 7714-2015
复制
MLA
复制
APA
复制
导出至
BibTeX EndNote RefMan NoteFirst NoteExpress
×
提示
您的信息不完整,为了账户安全,请先补充。
现在去补充
×
提示
您因"违规操作"
具体请查看互助需知
我知道了
×
提示
确定
请完成安全验证×
copy
已复制链接
快去分享给好友吧!
我知道了
右上角分享
点击右上角分享
0
联系我们:info@booksci.cn Book学术提供免费学术资源搜索服务,方便国内外学者检索中英文文献。致力于提供最便捷和优质的服务体验。 Copyright © 2023 布克学术 All rights reserved.
京ICP备2023020795号-1
ghs 京公网安备 11010802042870号
Book学术文献互助
Book学术文献互助群
群 号:604180095
Book学术官方微信