学业压力和月经不调对上海地区初中女生痛经、缺课和求医的影响:一项横断面研究。

IF 2.9 Q2 PUBLIC, ENVIRONMENTAL & OCCUPATIONAL HEALTH
Frontiers in reproductive health Pub Date : 2025-07-18 eCollection Date: 2025-01-01 DOI:10.3389/frph.2025.1574195
Tiantian Liu, Deyun Qi, Li Zhang, Jun Hou, Jing Zhao, Yuan Zhou, Bingbing Sun, Fei Wang, Hui Tan, Ruiping Wang
{"title":"学业压力和月经不调对上海地区初中女生痛经、缺课和求医的影响:一项横断面研究。","authors":"Tiantian Liu, Deyun Qi, Li Zhang, Jun Hou, Jing Zhao, Yuan Zhou, Bingbing Sun, Fei Wang, Hui Tan, Ruiping Wang","doi":"10.3389/frph.2025.1574195","DOIUrl":null,"url":null,"abstract":"<p><strong>Background: </strong>Dysmenorrhea is a cramping pain during menstrual period and the leading cause for recurrent short-term school absenteeism among adolescent girls. However, evidence on the factors associated with the occurrence of dysmenorrhea, school absenteeism and health care seeking behavior among adolescent girls is still limited, especially in China. This study aim to understand the prevalence of dysmenorrhea and to explore factors associated with the school absenteeism and healthcare seeking habit among adolescent girls with dysmenorrhea.</p><p><strong>Methods: </strong>This cross-sectional,questionnaire-based study included 1,243 participants recruited from five junior high schools using cluster sampling method. Data were collected through a structured questionnaire interviews and SPSS 22.0 was used for data analysis.</p><p><strong>Results: </strong>The prevalence of dysmenorrhea was 67.2%. Logistic regression analysis indicated that adolescent girls in grade 8 (OR = 1.98, 95% CI: 1.32-2.97) and grade 9 (OR = 2.32, 95% CI: 1.54-3.48), whose mothers had a college and above education (OR = 1.85; 95% CI: 1.12-3.07), those with controllable learning burden (OR = 1.69, 95% CI: 1.10-2.60) and uncontrollable learning burden (OR = 2.04, 95% CI: 1.10-3.80) had higher prevalence of dysmenorrhea. Logistic regression indicated that adolescent girls with normal weight (OR = 0.60, 95% CI: 0.43-0.83) had lower proportion of school absenteeism, and adolescent girls with uncontrollable learning burden (OR = 2.73, 95% CI: 1.29-5.75) and with irregular menstruation (OR = 1.74, 95% CI: 1.26-2.39) had higher proportion of school absenteeism. Moreover, underweight adolescent girls, adolescent girls whose mother had senior high education and those with irregular menstruation had a higher proportion of healthcare seeking experience.</p><p><strong>Conclusions: </strong>Dysmenorrhea was common among adolescent girls in junior high schools in Shanghai, and academic stress as well as irregular menstruation was positively associated with dysmenorrhea and school absenteeism. More attention and intervention measures focusing on menstrual health problems should be implemented directly among adolescent girls in junior high school, especially among those with low body weight, irregular menstruation, and academic stress. Most importantly, this study provides scientific evidence on adolescent dysmenorrhea issues, offering targeted recommendations for policymakers to advance the refinement and implementation of public health policies.</p>","PeriodicalId":73103,"journal":{"name":"Frontiers in reproductive health","volume":"7 ","pages":"1574195"},"PeriodicalIF":2.9000,"publicationDate":"2025-07-18","publicationTypes":"Journal Article","fieldsOfStudy":null,"isOpenAccess":false,"openAccessPdf":"https://www.ncbi.nlm.nih.gov/pmc/articles/PMC12313701/pdf/","citationCount":"0","resultStr":"{\"title\":\"Academic stress and irregular menstruation influence the dysmenorrhea, school absenteeism and healthcare seeking among adolescent girls in junior high school in Shanghai: a cross-sectional study.\",\"authors\":\"Tiantian Liu, Deyun Qi, Li Zhang, Jun Hou, Jing Zhao, Yuan Zhou, Bingbing Sun, Fei Wang, Hui Tan, Ruiping Wang\",\"doi\":\"10.3389/frph.2025.1574195\",\"DOIUrl\":null,\"url\":null,\"abstract\":\"<p><strong>Background: </strong>Dysmenorrhea is a cramping pain during menstrual period and the leading cause for recurrent short-term school absenteeism among adolescent girls. However, evidence on the factors associated with the occurrence of dysmenorrhea, school absenteeism and health care seeking behavior among adolescent girls is still limited, especially in China. This study aim to understand the prevalence of dysmenorrhea and to explore factors associated with the school absenteeism and healthcare seeking habit among adolescent girls with dysmenorrhea.</p><p><strong>Methods: </strong>This cross-sectional,questionnaire-based study included 1,243 participants recruited from five junior high schools using cluster sampling method. Data were collected through a structured questionnaire interviews and SPSS 22.0 was used for data analysis.</p><p><strong>Results: </strong>The prevalence of dysmenorrhea was 67.2%. Logistic regression analysis indicated that adolescent girls in grade 8 (OR = 1.98, 95% CI: 1.32-2.97) and grade 9 (OR = 2.32, 95% CI: 1.54-3.48), whose mothers had a college and above education (OR = 1.85; 95% CI: 1.12-3.07), those with controllable learning burden (OR = 1.69, 95% CI: 1.10-2.60) and uncontrollable learning burden (OR = 2.04, 95% CI: 1.10-3.80) had higher prevalence of dysmenorrhea. Logistic regression indicated that adolescent girls with normal weight (OR = 0.60, 95% CI: 0.43-0.83) had lower proportion of school absenteeism, and adolescent girls with uncontrollable learning burden (OR = 2.73, 95% CI: 1.29-5.75) and with irregular menstruation (OR = 1.74, 95% CI: 1.26-2.39) had higher proportion of school absenteeism. Moreover, underweight adolescent girls, adolescent girls whose mother had senior high education and those with irregular menstruation had a higher proportion of healthcare seeking experience.</p><p><strong>Conclusions: </strong>Dysmenorrhea was common among adolescent girls in junior high schools in Shanghai, and academic stress as well as irregular menstruation was positively associated with dysmenorrhea and school absenteeism. More attention and intervention measures focusing on menstrual health problems should be implemented directly among adolescent girls in junior high school, especially among those with low body weight, irregular menstruation, and academic stress. Most importantly, this study provides scientific evidence on adolescent dysmenorrhea issues, offering targeted recommendations for policymakers to advance the refinement and implementation of public health policies.</p>\",\"PeriodicalId\":73103,\"journal\":{\"name\":\"Frontiers in reproductive health\",\"volume\":\"7 \",\"pages\":\"1574195\"},\"PeriodicalIF\":2.9000,\"publicationDate\":\"2025-07-18\",\"publicationTypes\":\"Journal Article\",\"fieldsOfStudy\":null,\"isOpenAccess\":false,\"openAccessPdf\":\"https://www.ncbi.nlm.nih.gov/pmc/articles/PMC12313701/pdf/\",\"citationCount\":\"0\",\"resultStr\":null,\"platform\":\"Semanticscholar\",\"paperid\":null,\"PeriodicalName\":\"Frontiers in reproductive health\",\"FirstCategoryId\":\"1085\",\"ListUrlMain\":\"https://doi.org/10.3389/frph.2025.1574195\",\"RegionNum\":0,\"RegionCategory\":null,\"ArticlePicture\":[],\"TitleCN\":null,\"AbstractTextCN\":null,\"PMCID\":null,\"EPubDate\":\"2025/1/1 0:00:00\",\"PubModel\":\"eCollection\",\"JCR\":\"Q2\",\"JCRName\":\"PUBLIC, ENVIRONMENTAL & OCCUPATIONAL HEALTH\",\"Score\":null,\"Total\":0}","platform":"Semanticscholar","paperid":null,"PeriodicalName":"Frontiers in reproductive health","FirstCategoryId":"1085","ListUrlMain":"https://doi.org/10.3389/frph.2025.1574195","RegionNum":0,"RegionCategory":null,"ArticlePicture":[],"TitleCN":null,"AbstractTextCN":null,"PMCID":null,"EPubDate":"2025/1/1 0:00:00","PubModel":"eCollection","JCR":"Q2","JCRName":"PUBLIC, ENVIRONMENTAL & OCCUPATIONAL HEALTH","Score":null,"Total":0}
引用次数: 0

摘要

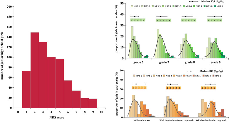
背景:痛经是一种发生在月经期间的痉挛性疼痛,是导致青春期女生经常性短期缺课的主要原因。然而,关于青春期女孩痛经、缺课和求医行为的相关因素的证据仍然有限,特别是在中国。本研究旨在了解青春期女生痛经的流行情况,并探讨痛经缺课及就医习惯的相关因素。方法:采用整群抽样方法,采用横断面问卷调查法,从五所初中招募1243名被试。采用结构化问卷访谈法收集数据,采用SPSS 22.0软件进行数据分析。结果:痛经发生率为67.2%。Logistic回归分析显示,母亲受过大专及以上教育的八年级(OR = 1.98, 95% CI: 1.32-2.97)和九年级(OR = 2.32, 95% CI: 1.54-3.48)的青春期女孩(OR = 1.85;95% CI: 1.12-3.07),可控学习负担(OR = 1.69, 95% CI: 1.10-2.60)和不可控学习负担(OR = 2.04, 95% CI: 1.10-3.80)组痛经发生率较高。Logistic回归分析结果显示,体重正常(OR = 0.60, 95% CI: 0.43 ~ 0.83)的青春期女生旷课率较低,而学习负担不可控(OR = 2.73, 95% CI: 1.29 ~ 5.75)和月经不规律(OR = 1.74, 95% CI: 1.26 ~ 2.39)的青春期女生旷课率较高。此外,体重过轻的少女、母亲受过高中教育的少女和月经不规律的少女就诊比例较高。结论:上海市初中生女生痛经较为普遍,学业压力和月经不规律与痛经和旷课呈正相关。对初中生女生,特别是体重过低、月经不规律、学业压力大的女生,应给予更多的关注,采取更多的干预措施,直接关注月经健康问题。最重要的是,本研究为青少年痛经问题提供了科学依据,为政策制定者推进公共卫生政策的完善和实施提供了有针对性的建议。
本文章由计算机程序翻译,如有差异,请以英文原文为准。

Academic stress and irregular menstruation influence the dysmenorrhea, school absenteeism and healthcare seeking among adolescent girls in junior high school in Shanghai: a cross-sectional study.

Academic stress and irregular menstruation influence the dysmenorrhea, school absenteeism and healthcare seeking among adolescent girls in junior high school in Shanghai: a cross-sectional study.

Academic stress and irregular menstruation influence the dysmenorrhea, school absenteeism and healthcare seeking among adolescent girls in junior high school in Shanghai: a cross-sectional study.

Academic stress and irregular menstruation influence the dysmenorrhea, school absenteeism and healthcare seeking among adolescent girls in junior high school in Shanghai: a cross-sectional study.

Background: Dysmenorrhea is a cramping pain during menstrual period and the leading cause for recurrent short-term school absenteeism among adolescent girls. However, evidence on the factors associated with the occurrence of dysmenorrhea, school absenteeism and health care seeking behavior among adolescent girls is still limited, especially in China. This study aim to understand the prevalence of dysmenorrhea and to explore factors associated with the school absenteeism and healthcare seeking habit among adolescent girls with dysmenorrhea.

Methods: This cross-sectional,questionnaire-based study included 1,243 participants recruited from five junior high schools using cluster sampling method. Data were collected through a structured questionnaire interviews and SPSS 22.0 was used for data analysis.

Results: The prevalence of dysmenorrhea was 67.2%. Logistic regression analysis indicated that adolescent girls in grade 8 (OR = 1.98, 95% CI: 1.32-2.97) and grade 9 (OR = 2.32, 95% CI: 1.54-3.48), whose mothers had a college and above education (OR = 1.85; 95% CI: 1.12-3.07), those with controllable learning burden (OR = 1.69, 95% CI: 1.10-2.60) and uncontrollable learning burden (OR = 2.04, 95% CI: 1.10-3.80) had higher prevalence of dysmenorrhea. Logistic regression indicated that adolescent girls with normal weight (OR = 0.60, 95% CI: 0.43-0.83) had lower proportion of school absenteeism, and adolescent girls with uncontrollable learning burden (OR = 2.73, 95% CI: 1.29-5.75) and with irregular menstruation (OR = 1.74, 95% CI: 1.26-2.39) had higher proportion of school absenteeism. Moreover, underweight adolescent girls, adolescent girls whose mother had senior high education and those with irregular menstruation had a higher proportion of healthcare seeking experience.

Conclusions: Dysmenorrhea was common among adolescent girls in junior high schools in Shanghai, and academic stress as well as irregular menstruation was positively associated with dysmenorrhea and school absenteeism. More attention and intervention measures focusing on menstrual health problems should be implemented directly among adolescent girls in junior high school, especially among those with low body weight, irregular menstruation, and academic stress. Most importantly, this study provides scientific evidence on adolescent dysmenorrhea issues, offering targeted recommendations for policymakers to advance the refinement and implementation of public health policies.

求助全文
通过发布文献求助,成功后即可免费获取论文全文。 去求助
来源期刊
CiteScore
2.00
自引率
0.00%
发文量
0
审稿时长
13 weeks
×
引用
GB/T 7714-2015
复制
MLA
复制
APA
复制
导出至
BibTeX EndNote RefMan NoteFirst NoteExpress
×
提示
您的信息不完整,为了账户安全,请先补充。
现在去补充
×
提示
您因"违规操作"
具体请查看互助需知
我知道了
×
提示
确定
请完成安全验证×
copy
已复制链接
快去分享给好友吧!
我知道了
右上角分享
点击右上角分享
0
联系我们:info@booksci.cn Book学术提供免费学术资源搜索服务,方便国内外学者检索中英文文献。致力于提供最便捷和优质的服务体验。 Copyright © 2023 布克学术 All rights reserved.
京ICP备2023020795号-1
ghs 京公网安备 11010802042870号
Book学术文献互助
Book学术文献互助群
群 号:604180095
Book学术官方微信