埃塞俄比亚2-59个月儿童吸胸肺炎的管理和结局:一项前瞻性观察研究

IF 4.3 3区 医学 Q1 PUBLIC, ENVIRONMENTAL & OCCUPATIONAL HEALTH
Zemene Tigabu, Alemayehu Teklu Toni, Tadesse Guadu, Tesfahun Melese Yilma, Tadesse Awoke, Garedew Tadege Engdaw, Ashenafi Tazebew, Shamim Ahmad Qazi, Yasir Bin Nisar
{"title":"埃塞俄比亚2-59个月儿童吸胸肺炎的管理和结局:一项前瞻性观察研究","authors":"Zemene Tigabu, Alemayehu Teklu Toni, Tadesse Guadu, Tesfahun Melese Yilma, Tadesse Awoke, Garedew Tadege Engdaw, Ashenafi Tazebew, Shamim Ahmad Qazi, Yasir Bin Nisar","doi":"10.7189/jogh.15.04217","DOIUrl":null,"url":null,"abstract":"<p><strong>Background: </strong>Pneumonia is a leading cause of morbidity and mortality in children under five years of age. In 2012, the World Health Organization revised its guidelines for managing childhood pneumonia and recommended oral amoxicillin for the outpatient treatment of chest indrawing pneumonia in children aged 2-59 months. While the Ethiopian government subsequently adopted these revised pneumonia guidelines, the level of their implementation and of the related treatment outcomes remains less known. We aimed to determine the outcomes of this approach at primary healthcare facilities in Ethiopia.</p><p><strong>Methods: </strong>We conducted a prospective, observational cohort study at five health centres in Northern Ethiopia from November 2022 to November 2023. Trained health workers screened all children aged 2-59 months who had cough or difficult breathing and managed them according to the integrated management of childhood illness chart booklet. Children with chest indrawing pneumonia who lived in the study catchment area and whose parents or guardians consented were enrolled. An independent data collector conducted a follow-up visit on day 15 to collect information on their survival status and the treatment received after enrolment. The primary outcome was case fatality risk (CFR), calculated as the proportion of children who died by day 15 after enrolment among all enrolled children.</p><p><strong>Results: </strong>We screened 3492 children aged 2-59 months, enrolling 345 with chest indrawing pneumonia. All were prescribed oral amoxicillin. The majority (n = 340, 98.6%), received a five-day prescription, while the remaining five were prescribed a seven-day course. We assessed 333 children on day 15 for study outcomes. Twelve (3.5%) were lost to follow-up. Two children died, resulting in a CFR of 0.6 (95% confidence interval = 0.35, 0.85). Most children (n = 315, 94.6%), adhered to the five-day course of amoxicillin, while 18 (5.4%) did not complete the entire course. Thirteen (3.9%) children were taken to a hospital between days two and 15, six received outpatient treatment, and seven were hospitalised. All 13 were alive and well on day 15.</p><p><strong>Conclusions: </strong>In a programme setting, children aged 2-59 months with chest indrawing pneumonia managed at the primary healthcare facilities on an outpatient basis with oral amoxicillin had low CFR, low hospitalisation rates, and high adherence to treatment.</p><p><strong>Registration: </strong>ISRCTN: 12687253.</p>","PeriodicalId":48734,"journal":{"name":"Journal of Global Health","volume":"15 ","pages":"04217"},"PeriodicalIF":4.3000,"publicationDate":"2025-08-04","publicationTypes":"Journal Article","fieldsOfStudy":null,"isOpenAccess":false,"openAccessPdf":"https://www.ncbi.nlm.nih.gov/pmc/articles/PMC12319351/pdf/","citationCount":"0","resultStr":"{\"title\":\"Management and outcomes of chest-indrawing pneumonia among children aged 2-59 months in a programme setting in Ethiopia: a prospective observational study.\",\"authors\":\"Zemene Tigabu, Alemayehu Teklu Toni, Tadesse Guadu, Tesfahun Melese Yilma, Tadesse Awoke, Garedew Tadege Engdaw, Ashenafi Tazebew, Shamim Ahmad Qazi, Yasir Bin Nisar\",\"doi\":\"10.7189/jogh.15.04217\",\"DOIUrl\":null,\"url\":null,\"abstract\":\"<p><strong>Background: </strong>Pneumonia is a leading cause of morbidity and mortality in children under five years of age. In 2012, the World Health Organization revised its guidelines for managing childhood pneumonia and recommended oral amoxicillin for the outpatient treatment of chest indrawing pneumonia in children aged 2-59 months. While the Ethiopian government subsequently adopted these revised pneumonia guidelines, the level of their implementation and of the related treatment outcomes remains less known. We aimed to determine the outcomes of this approach at primary healthcare facilities in Ethiopia.</p><p><strong>Methods: </strong>We conducted a prospective, observational cohort study at five health centres in Northern Ethiopia from November 2022 to November 2023. Trained health workers screened all children aged 2-59 months who had cough or difficult breathing and managed them according to the integrated management of childhood illness chart booklet. Children with chest indrawing pneumonia who lived in the study catchment area and whose parents or guardians consented were enrolled. An independent data collector conducted a follow-up visit on day 15 to collect information on their survival status and the treatment received after enrolment. The primary outcome was case fatality risk (CFR), calculated as the proportion of children who died by day 15 after enrolment among all enrolled children.</p><p><strong>Results: </strong>We screened 3492 children aged 2-59 months, enrolling 345 with chest indrawing pneumonia. All were prescribed oral amoxicillin. The majority (n = 340, 98.6%), received a five-day prescription, while the remaining five were prescribed a seven-day course. We assessed 333 children on day 15 for study outcomes. Twelve (3.5%) were lost to follow-up. Two children died, resulting in a CFR of 0.6 (95% confidence interval = 0.35, 0.85). Most children (n = 315, 94.6%), adhered to the five-day course of amoxicillin, while 18 (5.4%) did not complete the entire course. Thirteen (3.9%) children were taken to a hospital between days two and 15, six received outpatient treatment, and seven were hospitalised. All 13 were alive and well on day 15.</p><p><strong>Conclusions: </strong>In a programme setting, children aged 2-59 months with chest indrawing pneumonia managed at the primary healthcare facilities on an outpatient basis with oral amoxicillin had low CFR, low hospitalisation rates, and high adherence to treatment.</p><p><strong>Registration: </strong>ISRCTN: 12687253.</p>\",\"PeriodicalId\":48734,\"journal\":{\"name\":\"Journal of Global Health\",\"volume\":\"15 \",\"pages\":\"04217\"},\"PeriodicalIF\":4.3000,\"publicationDate\":\"2025-08-04\",\"publicationTypes\":\"Journal Article\",\"fieldsOfStudy\":null,\"isOpenAccess\":false,\"openAccessPdf\":\"https://www.ncbi.nlm.nih.gov/pmc/articles/PMC12319351/pdf/\",\"citationCount\":\"0\",\"resultStr\":null,\"platform\":\"Semanticscholar\",\"paperid\":null,\"PeriodicalName\":\"Journal of Global Health\",\"FirstCategoryId\":\"3\",\"ListUrlMain\":\"https://doi.org/10.7189/jogh.15.04217\",\"RegionNum\":3,\"RegionCategory\":\"医学\",\"ArticlePicture\":[],\"TitleCN\":null,\"AbstractTextCN\":null,\"PMCID\":null,\"EPubDate\":\"\",\"PubModel\":\"\",\"JCR\":\"Q1\",\"JCRName\":\"PUBLIC, ENVIRONMENTAL & OCCUPATIONAL HEALTH\",\"Score\":null,\"Total\":0}","platform":"Semanticscholar","paperid":null,"PeriodicalName":"Journal of Global Health","FirstCategoryId":"3","ListUrlMain":"https://doi.org/10.7189/jogh.15.04217","RegionNum":3,"RegionCategory":"医学","ArticlePicture":[],"TitleCN":null,"AbstractTextCN":null,"PMCID":null,"EPubDate":"","PubModel":"","JCR":"Q1","JCRName":"PUBLIC, ENVIRONMENTAL & OCCUPATIONAL HEALTH","Score":null,"Total":0}
引用次数: 0

摘要

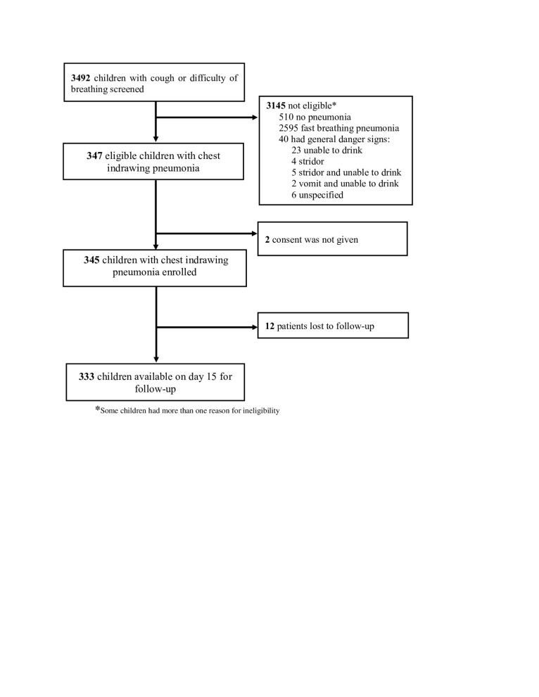
背景:肺炎是五岁以下儿童发病和死亡的主要原因。2012年,世界卫生组织修订了其儿童肺炎管理指南,并建议口服阿莫西林用于2-59个月儿童胸内吸肺炎的门诊治疗。虽然埃塞俄比亚政府随后通过了这些修订后的肺炎指南,但其实施水平和相关治疗结果仍然鲜为人知。我们的目的是确定这种方法在埃塞俄比亚初级卫生保健机构的结果。方法:我们于2022年11月至2023年11月在埃塞俄比亚北部的五个卫生中心进行了一项前瞻性观察队列研究。训练有素的卫生工作者对所有出现咳嗽或呼吸困难的2-59个月儿童进行了筛查,并根据儿童疾病综合管理图表小册子对其进行了管理。居住在研究集水区且其父母或监护人同意的胸部吸积性肺炎儿童被纳入研究。一个独立的数据收集者在第15天进行了随访,以收集他们的生存状况和入组后接受的治疗的信息。主要终点是病死率风险(CFR),以入组后第15天死亡的儿童占所有入组儿童的比例计算。结果:我们筛选了3492名2-59个月的儿童,其中345名患有胸部吸收性肺炎。所有患者均口服阿莫西林。大多数患者(n = 340, 98.6%)接受5天疗程,其余5人接受7天疗程。我们在第15天评估了333名儿童的研究结果。12例(3.5%)失访。2名儿童死亡,导致CFR为0.6(95%可信区间= 0.35,0.85)。大多数患儿(315例,占94.6%)坚持阿莫西林5天疗程,18例患儿(5.4%)未完成整个疗程。13名(3.9%)儿童在第2天至第15天期间被送往医院,6名接受门诊治疗,7名住院。在第15天,所有13人都安然无恙。结论:在一个规划环境中,2-59个月大的胸部吸收性肺炎患儿在初级卫生保健机构进行门诊治疗,口服阿莫西林,其CFR低,住院率低,治疗依从性高。注册信息:ISRCTN: 12687253。
本文章由计算机程序翻译,如有差异,请以英文原文为准。

Management and outcomes of chest-indrawing pneumonia among children aged 2-59 months in a programme setting in Ethiopia: a prospective observational study.

Management and outcomes of chest-indrawing pneumonia among children aged 2-59 months in a programme setting in Ethiopia: a prospective observational study.

Background: Pneumonia is a leading cause of morbidity and mortality in children under five years of age. In 2012, the World Health Organization revised its guidelines for managing childhood pneumonia and recommended oral amoxicillin for the outpatient treatment of chest indrawing pneumonia in children aged 2-59 months. While the Ethiopian government subsequently adopted these revised pneumonia guidelines, the level of their implementation and of the related treatment outcomes remains less known. We aimed to determine the outcomes of this approach at primary healthcare facilities in Ethiopia.

Methods: We conducted a prospective, observational cohort study at five health centres in Northern Ethiopia from November 2022 to November 2023. Trained health workers screened all children aged 2-59 months who had cough or difficult breathing and managed them according to the integrated management of childhood illness chart booklet. Children with chest indrawing pneumonia who lived in the study catchment area and whose parents or guardians consented were enrolled. An independent data collector conducted a follow-up visit on day 15 to collect information on their survival status and the treatment received after enrolment. The primary outcome was case fatality risk (CFR), calculated as the proportion of children who died by day 15 after enrolment among all enrolled children.

Results: We screened 3492 children aged 2-59 months, enrolling 345 with chest indrawing pneumonia. All were prescribed oral amoxicillin. The majority (n = 340, 98.6%), received a five-day prescription, while the remaining five were prescribed a seven-day course. We assessed 333 children on day 15 for study outcomes. Twelve (3.5%) were lost to follow-up. Two children died, resulting in a CFR of 0.6 (95% confidence interval = 0.35, 0.85). Most children (n = 315, 94.6%), adhered to the five-day course of amoxicillin, while 18 (5.4%) did not complete the entire course. Thirteen (3.9%) children were taken to a hospital between days two and 15, six received outpatient treatment, and seven were hospitalised. All 13 were alive and well on day 15.

Conclusions: In a programme setting, children aged 2-59 months with chest indrawing pneumonia managed at the primary healthcare facilities on an outpatient basis with oral amoxicillin had low CFR, low hospitalisation rates, and high adherence to treatment.

Registration: ISRCTN: 12687253.

求助全文
通过发布文献求助,成功后即可免费获取论文全文。 去求助
来源期刊
Journal of Global Health
Journal of Global Health PUBLIC, ENVIRONMENTAL & OCCUPATIONAL HEALTH -
CiteScore
6.10
自引率
2.80%
发文量
240
审稿时长
6 weeks
期刊介绍: Journal of Global Health is a peer-reviewed journal published by the Edinburgh University Global Health Society, a not-for-profit organization registered in the UK. We publish editorials, news, viewpoints, original research and review articles in two issues per year.
×
引用
GB/T 7714-2015
复制
MLA
复制
APA
复制
导出至
BibTeX EndNote RefMan NoteFirst NoteExpress
×
提示
您的信息不完整,为了账户安全,请先补充。
现在去补充
×
提示
您因"违规操作"
具体请查看互助需知
我知道了
×
提示
确定
请完成安全验证×
copy
已复制链接
快去分享给好友吧!
我知道了
右上角分享
点击右上角分享
0
联系我们:info@booksci.cn Book学术提供免费学术资源搜索服务,方便国内外学者检索中英文文献。致力于提供最便捷和优质的服务体验。 Copyright © 2023 布克学术 All rights reserved.
京ICP备2023020795号-1
ghs 京公网安备 11010802042870号
Book学术文献互助
Book学术文献互助群
群 号:604180095
Book学术官方微信