多发性硬化症脑组织中血清胶质原纤维酸蛋白与tspo表达病变相关。

IF 4.1 2区 医学 Q1 CLINICAL NEUROLOGY
Therapeutic Advances in Neurological Disorders Pub Date : 2025-07-28 eCollection Date: 2025-01-01 DOI:10.1177/17562864251352998
Tanja Sjöros, Maija Saraste, Markus Matilainen, Marjo Nylund, Mikko Koivumäki, Jens Kuhle, David Leppert, Laura Airas
{"title":"多发性硬化症脑组织中血清胶质原纤维酸蛋白与tspo表达病变相关。","authors":"Tanja Sjöros, Maija Saraste, Markus Matilainen, Marjo Nylund, Mikko Koivumäki, Jens Kuhle, David Leppert, Laura Airas","doi":"10.1177/17562864251352998","DOIUrl":null,"url":null,"abstract":"<p><strong>Background: </strong>Serum glial fibrillary acidic protein (sGFAP) is a promising biomarker for multiple sclerosis (MS) disease progression. Elevated sGFAP levels are considered to reflect ongoing astrocyte-related pathology in the central nervous system.</p><p><strong>Objectives: </strong>To study whether sGFAP levels associate with 18 kDa translocator protein (TSPO) availability in MS brain. TSPO is a mitochondrial molecule that is expressed by activated microglia and astrocytes.</p><p><strong>Design: </strong>Cross-sectional multimodal biomarker correlation study.</p><p><strong>Methods: </strong>We included 80 people with MS (66 relapsing-remitting and 14 progressive MS, 69% women), and 11 healthy control participants (73% women). sGFAP was measured using single molecule array (Simoa®) technology in combination with 3T magnetic resonance imaging and positron emission tomography (PET) using a TSPO-binding [<sup>11</sup>C]PK11195 radioligand.</p><p><strong>Results: </strong>sGFAP was higher among people with progressive MS (median 122 pg/ml) compared to healthy controls (median 59 pg/ml, <i>p</i> = 0.0002) or participants with relapsing-remitting MS (median 77 pg/ml, <i>p</i> = 0.0056). Among people with MS, higher sGFAP associated with higher volume of chronic lesions with increased TSPO activity (<i>r</i> = 0.36, <i>p</i> = 0.0011) and with thalamic TSPO activity (<i>r</i> = 0.30, <i>p</i> = 0.0069), as well as with T1 and T2 lesion loads (<i>r</i> = 0.38, 0.41, <i>p</i> = 0.0005, 0.0002, respectively). Smaller normal-appearing white matter (<i>r</i> = -0.36, <i>p</i> = 0.0009), cortical gray matter, and thalamus volumes (<i>r</i> = -0.39, <i>p</i> = 0.0003 for both) correlated with higher sGFAP. In regression analyses, the volume of TSPO-expressing lesions, together with age and MS disease-modifying treatment status, explained 27% of the variation in sGFAP.</p><p><strong>Conclusion: </strong>sGFAP associates with adverse magnetic resonance imaging and PET imaging outcomes. The association between a high prevalence of TSPO-expressing white matter lesions and high sGFAP suggests that lesion-associated glial activity promotes MS progression partially via astrocyte-driven mechanisms. A combination of various soluble biomarkers and PET ligands for specific cell types may add to the understanding of progression-promoting cellular mechanisms in the brain.</p><p><strong>Trial registration: </strong>ClinicalTrials.gov NCT03134716, NCT03368677, NCT04126772, NCT04239820, https://clinicaltrials.gov.</p>","PeriodicalId":22980,"journal":{"name":"Therapeutic Advances in Neurological Disorders","volume":"18 ","pages":"17562864251352998"},"PeriodicalIF":4.1000,"publicationDate":"2025-07-28","publicationTypes":"Journal Article","fieldsOfStudy":null,"isOpenAccess":false,"openAccessPdf":"https://www.ncbi.nlm.nih.gov/pmc/articles/PMC12314351/pdf/","citationCount":"0","resultStr":"{\"title\":\"Serum glial fibrillary acid protein associates with TSPO-expressing lesions in multiple sclerosis brain.\",\"authors\":\"Tanja Sjöros, Maija Saraste, Markus Matilainen, Marjo Nylund, Mikko Koivumäki, Jens Kuhle, David Leppert, Laura Airas\",\"doi\":\"10.1177/17562864251352998\",\"DOIUrl\":null,\"url\":null,\"abstract\":\"<p><strong>Background: </strong>Serum glial fibrillary acidic protein (sGFAP) is a promising biomarker for multiple sclerosis (MS) disease progression. Elevated sGFAP levels are considered to reflect ongoing astrocyte-related pathology in the central nervous system.</p><p><strong>Objectives: </strong>To study whether sGFAP levels associate with 18 kDa translocator protein (TSPO) availability in MS brain. TSPO is a mitochondrial molecule that is expressed by activated microglia and astrocytes.</p><p><strong>Design: </strong>Cross-sectional multimodal biomarker correlation study.</p><p><strong>Methods: </strong>We included 80 people with MS (66 relapsing-remitting and 14 progressive MS, 69% women), and 11 healthy control participants (73% women). sGFAP was measured using single molecule array (Simoa®) technology in combination with 3T magnetic resonance imaging and positron emission tomography (PET) using a TSPO-binding [<sup>11</sup>C]PK11195 radioligand.</p><p><strong>Results: </strong>sGFAP was higher among people with progressive MS (median 122 pg/ml) compared to healthy controls (median 59 pg/ml, <i>p</i> = 0.0002) or participants with relapsing-remitting MS (median 77 pg/ml, <i>p</i> = 0.0056). Among people with MS, higher sGFAP associated with higher volume of chronic lesions with increased TSPO activity (<i>r</i> = 0.36, <i>p</i> = 0.0011) and with thalamic TSPO activity (<i>r</i> = 0.30, <i>p</i> = 0.0069), as well as with T1 and T2 lesion loads (<i>r</i> = 0.38, 0.41, <i>p</i> = 0.0005, 0.0002, respectively). Smaller normal-appearing white matter (<i>r</i> = -0.36, <i>p</i> = 0.0009), cortical gray matter, and thalamus volumes (<i>r</i> = -0.39, <i>p</i> = 0.0003 for both) correlated with higher sGFAP. In regression analyses, the volume of TSPO-expressing lesions, together with age and MS disease-modifying treatment status, explained 27% of the variation in sGFAP.</p><p><strong>Conclusion: </strong>sGFAP associates with adverse magnetic resonance imaging and PET imaging outcomes. The association between a high prevalence of TSPO-expressing white matter lesions and high sGFAP suggests that lesion-associated glial activity promotes MS progression partially via astrocyte-driven mechanisms. A combination of various soluble biomarkers and PET ligands for specific cell types may add to the understanding of progression-promoting cellular mechanisms in the brain.</p><p><strong>Trial registration: </strong>ClinicalTrials.gov NCT03134716, NCT03368677, NCT04126772, NCT04239820, https://clinicaltrials.gov.</p>\",\"PeriodicalId\":22980,\"journal\":{\"name\":\"Therapeutic Advances in Neurological Disorders\",\"volume\":\"18 \",\"pages\":\"17562864251352998\"},\"PeriodicalIF\":4.1000,\"publicationDate\":\"2025-07-28\",\"publicationTypes\":\"Journal Article\",\"fieldsOfStudy\":null,\"isOpenAccess\":false,\"openAccessPdf\":\"https://www.ncbi.nlm.nih.gov/pmc/articles/PMC12314351/pdf/\",\"citationCount\":\"0\",\"resultStr\":null,\"platform\":\"Semanticscholar\",\"paperid\":null,\"PeriodicalName\":\"Therapeutic Advances in Neurological Disorders\",\"FirstCategoryId\":\"3\",\"ListUrlMain\":\"https://doi.org/10.1177/17562864251352998\",\"RegionNum\":2,\"RegionCategory\":\"医学\",\"ArticlePicture\":[],\"TitleCN\":null,\"AbstractTextCN\":null,\"PMCID\":null,\"EPubDate\":\"2025/1/1 0:00:00\",\"PubModel\":\"eCollection\",\"JCR\":\"Q1\",\"JCRName\":\"CLINICAL NEUROLOGY\",\"Score\":null,\"Total\":0}","platform":"Semanticscholar","paperid":null,"PeriodicalName":"Therapeutic Advances in Neurological Disorders","FirstCategoryId":"3","ListUrlMain":"https://doi.org/10.1177/17562864251352998","RegionNum":2,"RegionCategory":"医学","ArticlePicture":[],"TitleCN":null,"AbstractTextCN":null,"PMCID":null,"EPubDate":"2025/1/1 0:00:00","PubModel":"eCollection","JCR":"Q1","JCRName":"CLINICAL NEUROLOGY","Score":null,"Total":0}
引用次数: 0

摘要

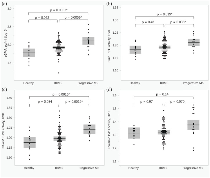
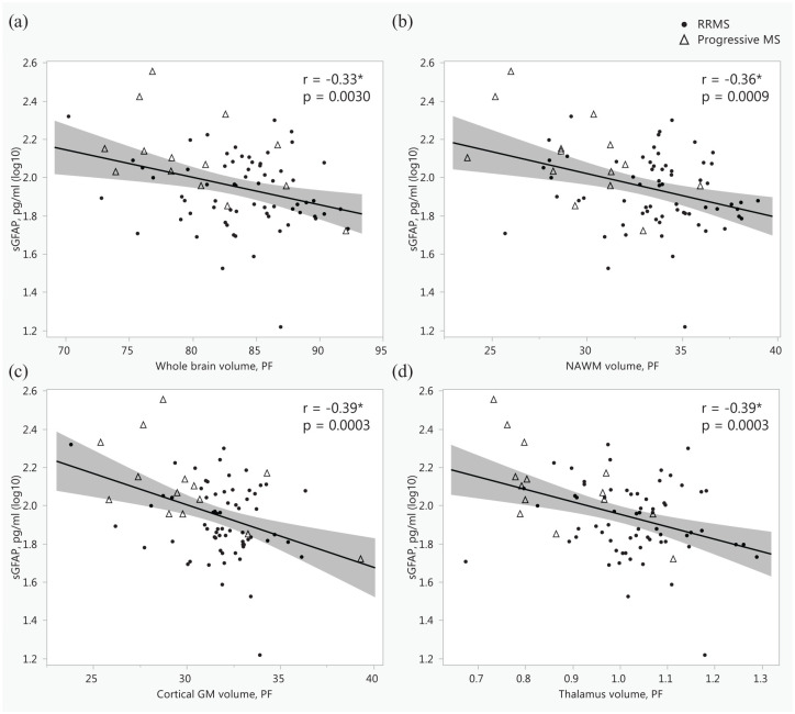
背景:血清胶质原纤维酸性蛋白(sGFAP)是一种很有前景的多发性硬化症(MS)疾病进展的生物标志物。sGFAP水平升高被认为反映了中枢神经系统中星形胶质细胞相关的病理。目的:研究sGFAP水平是否与MS脑中18kda转运蛋白(TSPO)的可用性相关。TSPO是一种线粒体分子,由活化的小胶质细胞和星形胶质细胞表达。设计:横断面多模态生物标志物相关性研究。方法:我们纳入了80名多发性硬化症患者(66名复发缓解型和14名进展型多发性硬化症患者,69%为女性)和11名健康对照患者(73%为女性)。sGFAP采用单分子阵列(Simoa®)技术结合3T磁共振成像和正电子发射断层扫描(PET),采用tspo结合[11C]PK11195放射配体。结果:进展性MS患者(中位数122 pg/ml)的sGFAP高于健康对照组(中位数59 pg/ml, p = 0.0002)或复发-缓解型MS患者(中位数77 pg/ml, p = 0.0056)。在MS患者中,较高的sGFAP与TSPO活性增加的慢性病变体积增加(r = 0.36, p = 0.0011)、丘脑TSPO活性增加(r = 0.30, p = 0.0069)以及T1和T2病变负荷增加相关(r = 0.38, 0.41, p = 0.0005, 0.0002)。较小的正常白质(r = -0.36, p = 0.0009)、皮质灰质和丘脑体积(r = -0.39, p = 0.0003)与较高的sGFAP相关。在回归分析中,表达tspo的病变体积、年龄和MS疾病改善治疗状态解释了27%的sGFAP变异。结论:sGFAP与不良的磁共振成像和PET成像结果相关。高表达tspo的白质病变患病率与高sGFAP之间的关联表明,病变相关的胶质活性部分通过星形胶质细胞驱动机制促进MS进展。针对特定细胞类型的各种可溶性生物标志物和PET配体的组合可能有助于理解大脑中促进进展的细胞机制。试验注册:ClinicalTrials.gov NCT03134716, NCT03368677, NCT04126772, NCT04239820, https://clinicaltrials.gov。
本文章由计算机程序翻译,如有差异,请以英文原文为准。

Serum glial fibrillary acid protein associates with TSPO-expressing lesions in multiple sclerosis brain.

Serum glial fibrillary acid protein associates with TSPO-expressing lesions in multiple sclerosis brain.

Serum glial fibrillary acid protein associates with TSPO-expressing lesions in multiple sclerosis brain.

Serum glial fibrillary acid protein associates with TSPO-expressing lesions in multiple sclerosis brain.

Background: Serum glial fibrillary acidic protein (sGFAP) is a promising biomarker for multiple sclerosis (MS) disease progression. Elevated sGFAP levels are considered to reflect ongoing astrocyte-related pathology in the central nervous system.

Objectives: To study whether sGFAP levels associate with 18 kDa translocator protein (TSPO) availability in MS brain. TSPO is a mitochondrial molecule that is expressed by activated microglia and astrocytes.

Design: Cross-sectional multimodal biomarker correlation study.

Methods: We included 80 people with MS (66 relapsing-remitting and 14 progressive MS, 69% women), and 11 healthy control participants (73% women). sGFAP was measured using single molecule array (Simoa®) technology in combination with 3T magnetic resonance imaging and positron emission tomography (PET) using a TSPO-binding [11C]PK11195 radioligand.

Results: sGFAP was higher among people with progressive MS (median 122 pg/ml) compared to healthy controls (median 59 pg/ml, p = 0.0002) or participants with relapsing-remitting MS (median 77 pg/ml, p = 0.0056). Among people with MS, higher sGFAP associated with higher volume of chronic lesions with increased TSPO activity (r = 0.36, p = 0.0011) and with thalamic TSPO activity (r = 0.30, p = 0.0069), as well as with T1 and T2 lesion loads (r = 0.38, 0.41, p = 0.0005, 0.0002, respectively). Smaller normal-appearing white matter (r = -0.36, p = 0.0009), cortical gray matter, and thalamus volumes (r = -0.39, p = 0.0003 for both) correlated with higher sGFAP. In regression analyses, the volume of TSPO-expressing lesions, together with age and MS disease-modifying treatment status, explained 27% of the variation in sGFAP.

Conclusion: sGFAP associates with adverse magnetic resonance imaging and PET imaging outcomes. The association between a high prevalence of TSPO-expressing white matter lesions and high sGFAP suggests that lesion-associated glial activity promotes MS progression partially via astrocyte-driven mechanisms. A combination of various soluble biomarkers and PET ligands for specific cell types may add to the understanding of progression-promoting cellular mechanisms in the brain.

Trial registration: ClinicalTrials.gov NCT03134716, NCT03368677, NCT04126772, NCT04239820, https://clinicaltrials.gov.

求助全文
通过发布文献求助,成功后即可免费获取论文全文。 去求助
来源期刊
CiteScore
8.30
自引率
1.70%
发文量
62
审稿时长
15 weeks
期刊介绍: Therapeutic Advances in Neurological Disorders is a peer-reviewed, open access journal delivering the highest quality articles, reviews, and scholarly comment on pioneering efforts and innovative studies across all areas of neurology. The journal has a strong clinical and pharmacological focus and is aimed at clinicians and researchers in neurology, providing a forum in print and online for publishing the highest quality articles in this area.
×
引用
GB/T 7714-2015
复制
MLA
复制
APA
复制
导出至
BibTeX EndNote RefMan NoteFirst NoteExpress
×
提示
您的信息不完整,为了账户安全,请先补充。
现在去补充
×
提示
您因"违规操作"
具体请查看互助需知
我知道了
×
提示
确定
请完成安全验证×
copy
已复制链接
快去分享给好友吧!
我知道了
右上角分享
点击右上角分享
0
联系我们:info@booksci.cn Book学术提供免费学术资源搜索服务,方便国内外学者检索中英文文献。致力于提供最便捷和优质的服务体验。 Copyright © 2023 布克学术 All rights reserved.
京ICP备2023020795号-1
ghs 京公网安备 11010802042870号
Book学术文献互助
Book学术文献互助群
群 号:604180095
Book学术官方微信