基于高通量测序的中国不同地区腐乳细菌群落结构研究及功能预测

IF 3.9 2区 综合性期刊 Q1 MULTIDISCIPLINARY SCIENCES
Xue Feng, Zhao Dong, Teng Hao
{"title":"基于高通量测序的中国不同地区腐乳细菌群落结构研究及功能预测","authors":"Xue Feng, Zhao Dong, Teng Hao","doi":"10.1038/s41598-025-13691-z","DOIUrl":null,"url":null,"abstract":"<p><p>In order to understand the bacterial community structure, microbial safety, and functional diversity of traditional fermented food-sufu (fermented bean curd) in China, high-throughput sequencing technology was employed to systematically analyze the bacterial community composition and functional profiles of sufu samples from eight different regions in China (Zunyi, Guizhou; Xiushan, Chongqing; Chengdu, Sichuan; Xinhua, Hunan; Ji'an, Jiangxi; Mouding, Yunnan; Guilin, Guangxi; and Shilin, Kunming). The results revealed that the predominant bacterial phyla in sufu included Proteobacteria, Firmicutes, Bacteroidota, and Actinobacteriota, with key genera such as Pseudomonas, uncultured Enterobacteriaceae, and Lactococcus. The sample from Ji'an, Jiangxi (JXR5), exhibited the highest bacterial species richness, while the sample from Shilin, Kunming (KMR8), showed the highest species diversity, indicating significant impacts of geographical location and production processes on microbial communities. Functional analysis demonstrated that the bacterial communities in sufu were primarily involved in metabolic pathways such as chemoheterotrophy, aerobic chemoheterotrophy, and fermentation. The sample from Xiushan, Chongqing (CQR2), had the highest proportion of fermentation-related functions, contributing to the formation of a finer texture and richer flavor. The sample from Guilin, Guangxi (GXR7), exhibited the highest aromatic compound degradation function, which may enhance flavor or reduce undesirable odors. Additionally, significant variations were observed in functions such as nitrate reduction, nitrogen respiration, and nitrate respiration among different samples, suggesting that microbial diversity in nitrogen metabolism may influence the safety and quality of sufu. This study highlights the regional characteristics and functional diversity of bacterial communities in sufu, providing a scientific basis for optimizing production processes and developing region-specific products.</p>","PeriodicalId":21811,"journal":{"name":"Scientific Reports","volume":"15 1","pages":"28317"},"PeriodicalIF":3.9000,"publicationDate":"2025-08-03","publicationTypes":"Journal Article","fieldsOfStudy":null,"isOpenAccess":false,"openAccessPdf":"https://www.ncbi.nlm.nih.gov/pmc/articles/PMC12319093/pdf/","citationCount":"0","resultStr":"{\"title\":\"High-throughput sequencing-based study on bacterial community structure and functional prediction of fermented bean curd from different regions in China.\",\"authors\":\"Xue Feng, Zhao Dong, Teng Hao\",\"doi\":\"10.1038/s41598-025-13691-z\",\"DOIUrl\":null,\"url\":null,\"abstract\":\"<p><p>In order to understand the bacterial community structure, microbial safety, and functional diversity of traditional fermented food-sufu (fermented bean curd) in China, high-throughput sequencing technology was employed to systematically analyze the bacterial community composition and functional profiles of sufu samples from eight different regions in China (Zunyi, Guizhou; Xiushan, Chongqing; Chengdu, Sichuan; Xinhua, Hunan; Ji'an, Jiangxi; Mouding, Yunnan; Guilin, Guangxi; and Shilin, Kunming). The results revealed that the predominant bacterial phyla in sufu included Proteobacteria, Firmicutes, Bacteroidota, and Actinobacteriota, with key genera such as Pseudomonas, uncultured Enterobacteriaceae, and Lactococcus. The sample from Ji'an, Jiangxi (JXR5), exhibited the highest bacterial species richness, while the sample from Shilin, Kunming (KMR8), showed the highest species diversity, indicating significant impacts of geographical location and production processes on microbial communities. Functional analysis demonstrated that the bacterial communities in sufu were primarily involved in metabolic pathways such as chemoheterotrophy, aerobic chemoheterotrophy, and fermentation. The sample from Xiushan, Chongqing (CQR2), had the highest proportion of fermentation-related functions, contributing to the formation of a finer texture and richer flavor. The sample from Guilin, Guangxi (GXR7), exhibited the highest aromatic compound degradation function, which may enhance flavor or reduce undesirable odors. Additionally, significant variations were observed in functions such as nitrate reduction, nitrogen respiration, and nitrate respiration among different samples, suggesting that microbial diversity in nitrogen metabolism may influence the safety and quality of sufu. This study highlights the regional characteristics and functional diversity of bacterial communities in sufu, providing a scientific basis for optimizing production processes and developing region-specific products.</p>\",\"PeriodicalId\":21811,\"journal\":{\"name\":\"Scientific Reports\",\"volume\":\"15 1\",\"pages\":\"28317\"},\"PeriodicalIF\":3.9000,\"publicationDate\":\"2025-08-03\",\"publicationTypes\":\"Journal Article\",\"fieldsOfStudy\":null,\"isOpenAccess\":false,\"openAccessPdf\":\"https://www.ncbi.nlm.nih.gov/pmc/articles/PMC12319093/pdf/\",\"citationCount\":\"0\",\"resultStr\":null,\"platform\":\"Semanticscholar\",\"paperid\":null,\"PeriodicalName\":\"Scientific Reports\",\"FirstCategoryId\":\"103\",\"ListUrlMain\":\"https://doi.org/10.1038/s41598-025-13691-z\",\"RegionNum\":2,\"RegionCategory\":\"综合性期刊\",\"ArticlePicture\":[],\"TitleCN\":null,\"AbstractTextCN\":null,\"PMCID\":null,\"EPubDate\":\"\",\"PubModel\":\"\",\"JCR\":\"Q1\",\"JCRName\":\"MULTIDISCIPLINARY SCIENCES\",\"Score\":null,\"Total\":0}","platform":"Semanticscholar","paperid":null,"PeriodicalName":"Scientific Reports","FirstCategoryId":"103","ListUrlMain":"https://doi.org/10.1038/s41598-025-13691-z","RegionNum":2,"RegionCategory":"综合性期刊","ArticlePicture":[],"TitleCN":null,"AbstractTextCN":null,"PMCID":null,"EPubDate":"","PubModel":"","JCR":"Q1","JCRName":"MULTIDISCIPLINARY SCIENCES","Score":null,"Total":0}
引用次数: 0

摘要

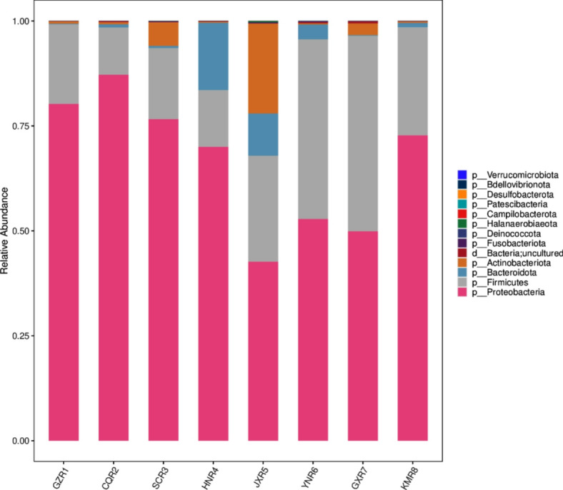
为了了解中国传统发酵食品腐乳的细菌群落结构、微生物安全性和功能多样性,采用高通量测序技术系统分析了中国8个不同地区(贵州遵义;秀山,重庆;四川成都;新华社报道,湖南;霁,江西;成形制造、云南;桂林,广西;昆明石林)。结果表明,苏轼的优势菌门包括变形菌门、厚壁菌门、拟杆菌门和放线菌门,关键属有假单胞菌科、未培养肠杆菌科和乳球菌。江西吉安样品(JXR5)的细菌种类丰富度最高,昆明石林样品(KMR8)的细菌种类多样性最高,表明地理位置和生产工艺对微生物群落的影响显著。功能分析表明,腐乳中的细菌群落主要参与化学异养、有氧化学异养和发酵等代谢途径。来自重庆秀山(CQR2)的样品具有最高比例的发酵相关功能,有助于形成更精细的质地和更丰富的风味。来自广西桂林的样品(GXR7)表现出最高的芳香化合物降解功能,可以增强风味或减少不良气味。此外,不同样品的硝酸盐还原、氮呼吸和硝酸盐呼吸等功能也存在显著差异,表明氮代谢中的微生物多样性可能影响腐乳的安全性和质量。本研究揭示了腐乳细菌群落的地域性特征和功能多样性,为优化腐乳生产工艺和开发具有区域特色的腐乳产品提供了科学依据。
本文章由计算机程序翻译,如有差异,请以英文原文为准。

High-throughput sequencing-based study on bacterial community structure and functional prediction of fermented bean curd from different regions in China.

High-throughput sequencing-based study on bacterial community structure and functional prediction of fermented bean curd from different regions in China.

High-throughput sequencing-based study on bacterial community structure and functional prediction of fermented bean curd from different regions in China.

High-throughput sequencing-based study on bacterial community structure and functional prediction of fermented bean curd from different regions in China.

In order to understand the bacterial community structure, microbial safety, and functional diversity of traditional fermented food-sufu (fermented bean curd) in China, high-throughput sequencing technology was employed to systematically analyze the bacterial community composition and functional profiles of sufu samples from eight different regions in China (Zunyi, Guizhou; Xiushan, Chongqing; Chengdu, Sichuan; Xinhua, Hunan; Ji'an, Jiangxi; Mouding, Yunnan; Guilin, Guangxi; and Shilin, Kunming). The results revealed that the predominant bacterial phyla in sufu included Proteobacteria, Firmicutes, Bacteroidota, and Actinobacteriota, with key genera such as Pseudomonas, uncultured Enterobacteriaceae, and Lactococcus. The sample from Ji'an, Jiangxi (JXR5), exhibited the highest bacterial species richness, while the sample from Shilin, Kunming (KMR8), showed the highest species diversity, indicating significant impacts of geographical location and production processes on microbial communities. Functional analysis demonstrated that the bacterial communities in sufu were primarily involved in metabolic pathways such as chemoheterotrophy, aerobic chemoheterotrophy, and fermentation. The sample from Xiushan, Chongqing (CQR2), had the highest proportion of fermentation-related functions, contributing to the formation of a finer texture and richer flavor. The sample from Guilin, Guangxi (GXR7), exhibited the highest aromatic compound degradation function, which may enhance flavor or reduce undesirable odors. Additionally, significant variations were observed in functions such as nitrate reduction, nitrogen respiration, and nitrate respiration among different samples, suggesting that microbial diversity in nitrogen metabolism may influence the safety and quality of sufu. This study highlights the regional characteristics and functional diversity of bacterial communities in sufu, providing a scientific basis for optimizing production processes and developing region-specific products.

求助全文
通过发布文献求助,成功后即可免费获取论文全文。 去求助
来源期刊
Scientific Reports
Scientific Reports Natural Science Disciplines-
CiteScore
7.50
自引率
4.30%
发文量
19567
审稿时长
3.9 months
期刊介绍: We publish original research from all areas of the natural sciences, psychology, medicine and engineering. You can learn more about what we publish by browsing our specific scientific subject areas below or explore Scientific Reports by browsing all articles and collections. Scientific Reports has a 2-year impact factor: 4.380 (2021), and is the 6th most-cited journal in the world, with more than 540,000 citations in 2020 (Clarivate Analytics, 2021). •Engineering Engineering covers all aspects of engineering, technology, and applied science. It plays a crucial role in the development of technologies to address some of the world''s biggest challenges, helping to save lives and improve the way we live. •Physical sciences Physical sciences are those academic disciplines that aim to uncover the underlying laws of nature — often written in the language of mathematics. It is a collective term for areas of study including astronomy, chemistry, materials science and physics. •Earth and environmental sciences Earth and environmental sciences cover all aspects of Earth and planetary science and broadly encompass solid Earth processes, surface and atmospheric dynamics, Earth system history, climate and climate change, marine and freshwater systems, and ecology. It also considers the interactions between humans and these systems. •Biological sciences Biological sciences encompass all the divisions of natural sciences examining various aspects of vital processes. The concept includes anatomy, physiology, cell biology, biochemistry and biophysics, and covers all organisms from microorganisms, animals to plants. •Health sciences The health sciences study health, disease and healthcare. This field of study aims to develop knowledge, interventions and technology for use in healthcare to improve the treatment of patients.
×
引用
GB/T 7714-2015
复制
MLA
复制
APA
复制
导出至
BibTeX EndNote RefMan NoteFirst NoteExpress
×
提示
您的信息不完整,为了账户安全,请先补充。
现在去补充
×
提示
您因"违规操作"
具体请查看互助需知
我知道了
×
提示
确定
请完成安全验证×
copy
已复制链接
快去分享给好友吧!
我知道了
右上角分享
点击右上角分享
0
联系我们:info@booksci.cn Book学术提供免费学术资源搜索服务,方便国内外学者检索中英文文献。致力于提供最便捷和优质的服务体验。 Copyright © 2023 布克学术 All rights reserved.
京ICP备2023020795号-1
ghs 京公网安备 11010802042870号
Book学术文献互助
Book学术文献互助群
群 号:604180095
Book学术官方微信