高脂血症成人镁耗尽评分与全因死亡率和心血管死亡率的关系:一项基于全国人群的大型研究

IF 2.8 3区 医学 Q3 ENVIRONMENTAL SCIENCES
Chengxing Liu, Yuntao Feng, Fan Ping, Litang Huang, Jun Qian, Li Zhou, Fei Chen, Xuebo Liu
{"title":"高脂血症成人镁耗尽评分与全因死亡率和心血管死亡率的关系:一项基于全国人群的大型研究","authors":"Chengxing Liu, Yuntao Feng, Fan Ping, Litang Huang, Jun Qian, Li Zhou, Fei Chen, Xuebo Liu","doi":"10.1186/s41043-025-01032-9","DOIUrl":null,"url":null,"abstract":"<p><strong>Background: </strong>Magnesium, an essential dietary trace element, plays a crucial role in numerous physiological processes, and its deficiency has been associated with the development of hyperlipidemia. However, its potential to predict long-term outcomes and inform risk stratification in hyperlipidemic patients remains underexplored.</p><p><strong>Methods: </strong>This retrospective cohort study introduces the magnesium depletion score (MgDS), a novel index for quantifying magnesium deficiency, and investigates its association with mortality outcomes in individuals with hyperlipidemia. Data from 12,592 participants in the National Health and Nutrition Examination Survey (NHANES) from 1999 to 2018 were analyzed. Advanced statistical methods, including weighted Cox proportional hazards models, restricted cubic spline (RCS) analysis, Kaplan-Meier survival curves, and receiver operating characteristic (ROC) analysis, were employed to assess the association between MgDS and mortality risks.</p><p><strong>Results: </strong>The results indicate that higher MgDS is significantly associated with increased risks of both all-cause and cardiovascular mortality in individuals with hyperlipidemia, even after adjusting for confounders. Subgroup analyses identified prediabetes, smoking, and alcohol consumption as significant modifiers of this association. RCS analysis confirmed a linear relationship between MgDS and mortality, further supporting its value as a reliable predictor of long-term outcomes. ROC analysis demonstrated the potential of MgDS as an independent tool for predicting mortality at 1, 3, and 5 years. Notably, high MgDS levels in hyperlipidemic individuals with binge drinking habits were associated with significantly higher mortality risks.</p><p><strong>Conclusions: </strong>These results establish MgDS as a promising biomarker for mortality risk stratification in patients with hyperlipidemia. This novel index offers important insights for clinical practice and could facilitate the development of tailored management strategies, particularly for high-risk hyperlipidemia populations, to mitigate long-term health risks.</p>","PeriodicalId":15969,"journal":{"name":"Journal of Health, Population, and Nutrition","volume":"44 1","pages":"275"},"PeriodicalIF":2.8000,"publicationDate":"2025-08-03","publicationTypes":"Journal Article","fieldsOfStudy":null,"isOpenAccess":false,"openAccessPdf":"https://www.ncbi.nlm.nih.gov/pmc/articles/PMC12318386/pdf/","citationCount":"0","resultStr":"{\"title\":\"Association of magnesium depletion score with all-cause and cardiovascular mortality in hyperlipidemia adults: a large nationwide population-based study.\",\"authors\":\"Chengxing Liu, Yuntao Feng, Fan Ping, Litang Huang, Jun Qian, Li Zhou, Fei Chen, Xuebo Liu\",\"doi\":\"10.1186/s41043-025-01032-9\",\"DOIUrl\":null,\"url\":null,\"abstract\":\"<p><strong>Background: </strong>Magnesium, an essential dietary trace element, plays a crucial role in numerous physiological processes, and its deficiency has been associated with the development of hyperlipidemia. However, its potential to predict long-term outcomes and inform risk stratification in hyperlipidemic patients remains underexplored.</p><p><strong>Methods: </strong>This retrospective cohort study introduces the magnesium depletion score (MgDS), a novel index for quantifying magnesium deficiency, and investigates its association with mortality outcomes in individuals with hyperlipidemia. Data from 12,592 participants in the National Health and Nutrition Examination Survey (NHANES) from 1999 to 2018 were analyzed. Advanced statistical methods, including weighted Cox proportional hazards models, restricted cubic spline (RCS) analysis, Kaplan-Meier survival curves, and receiver operating characteristic (ROC) analysis, were employed to assess the association between MgDS and mortality risks.</p><p><strong>Results: </strong>The results indicate that higher MgDS is significantly associated with increased risks of both all-cause and cardiovascular mortality in individuals with hyperlipidemia, even after adjusting for confounders. Subgroup analyses identified prediabetes, smoking, and alcohol consumption as significant modifiers of this association. RCS analysis confirmed a linear relationship between MgDS and mortality, further supporting its value as a reliable predictor of long-term outcomes. ROC analysis demonstrated the potential of MgDS as an independent tool for predicting mortality at 1, 3, and 5 years. Notably, high MgDS levels in hyperlipidemic individuals with binge drinking habits were associated with significantly higher mortality risks.</p><p><strong>Conclusions: </strong>These results establish MgDS as a promising biomarker for mortality risk stratification in patients with hyperlipidemia. This novel index offers important insights for clinical practice and could facilitate the development of tailored management strategies, particularly for high-risk hyperlipidemia populations, to mitigate long-term health risks.</p>\",\"PeriodicalId\":15969,\"journal\":{\"name\":\"Journal of Health, Population, and Nutrition\",\"volume\":\"44 1\",\"pages\":\"275\"},\"PeriodicalIF\":2.8000,\"publicationDate\":\"2025-08-03\",\"publicationTypes\":\"Journal Article\",\"fieldsOfStudy\":null,\"isOpenAccess\":false,\"openAccessPdf\":\"https://www.ncbi.nlm.nih.gov/pmc/articles/PMC12318386/pdf/\",\"citationCount\":\"0\",\"resultStr\":null,\"platform\":\"Semanticscholar\",\"paperid\":null,\"PeriodicalName\":\"Journal of Health, Population, and Nutrition\",\"FirstCategoryId\":\"3\",\"ListUrlMain\":\"https://doi.org/10.1186/s41043-025-01032-9\",\"RegionNum\":3,\"RegionCategory\":\"医学\",\"ArticlePicture\":[],\"TitleCN\":null,\"AbstractTextCN\":null,\"PMCID\":null,\"EPubDate\":\"\",\"PubModel\":\"\",\"JCR\":\"Q3\",\"JCRName\":\"ENVIRONMENTAL SCIENCES\",\"Score\":null,\"Total\":0}","platform":"Semanticscholar","paperid":null,"PeriodicalName":"Journal of Health, Population, and Nutrition","FirstCategoryId":"3","ListUrlMain":"https://doi.org/10.1186/s41043-025-01032-9","RegionNum":3,"RegionCategory":"医学","ArticlePicture":[],"TitleCN":null,"AbstractTextCN":null,"PMCID":null,"EPubDate":"","PubModel":"","JCR":"Q3","JCRName":"ENVIRONMENTAL SCIENCES","Score":null,"Total":0}
引用次数: 0

摘要

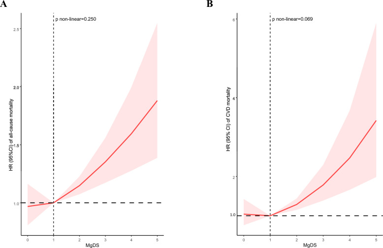
背景:镁是一种必需的膳食微量元素,在许多生理过程中起着至关重要的作用,其缺乏与高脂血症的发生有关。然而,它在预测高脂血症患者的长期预后和告知风险分层方面的潜力仍未得到充分探索。方法:本回顾性队列研究引入镁耗尽评分(MgDS),这是一种量化镁缺乏的新指标,并研究其与高脂血症患者死亡结果的关系。研究人员分析了1999年至2018年美国国家健康与营养检查调查(NHANES)中12592名参与者的数据。采用加权Cox比例风险模型、限制性三次样条(RCS)分析、Kaplan-Meier生存曲线和受试者工作特征(ROC)分析等先进的统计方法来评估MgDS与死亡风险之间的关系。结果:结果表明,即使在调整混杂因素后,较高的MgDS与高脂血症患者全因死亡率和心血管死亡率的风险增加显著相关。亚组分析发现,糖尿病前期、吸烟和饮酒是这一关联的重要改变因素。RCS分析证实了MgDS与死亡率之间的线性关系,进一步支持了其作为长期预后可靠预测指标的价值。ROC分析表明,MgDS作为预测1、3和5年死亡率的独立工具具有潜力。值得注意的是,有酗酒习惯的高脂血症患者的高MgDS水平与更高的死亡风险显著相关。结论:这些结果表明MgDS是高脂血症患者死亡风险分层的一个有希望的生物标志物。这种新的指数为临床实践提供了重要的见解,并可以促进量身定制的管理策略的发展,特别是对于高危高脂血症人群,以减轻长期健康风险。
本文章由计算机程序翻译,如有差异,请以英文原文为准。

Association of magnesium depletion score with all-cause and cardiovascular mortality in hyperlipidemia adults: a large nationwide population-based study.

Association of magnesium depletion score with all-cause and cardiovascular mortality in hyperlipidemia adults: a large nationwide population-based study.

Association of magnesium depletion score with all-cause and cardiovascular mortality in hyperlipidemia adults: a large nationwide population-based study.

Association of magnesium depletion score with all-cause and cardiovascular mortality in hyperlipidemia adults: a large nationwide population-based study.

Background: Magnesium, an essential dietary trace element, plays a crucial role in numerous physiological processes, and its deficiency has been associated with the development of hyperlipidemia. However, its potential to predict long-term outcomes and inform risk stratification in hyperlipidemic patients remains underexplored.

Methods: This retrospective cohort study introduces the magnesium depletion score (MgDS), a novel index for quantifying magnesium deficiency, and investigates its association with mortality outcomes in individuals with hyperlipidemia. Data from 12,592 participants in the National Health and Nutrition Examination Survey (NHANES) from 1999 to 2018 were analyzed. Advanced statistical methods, including weighted Cox proportional hazards models, restricted cubic spline (RCS) analysis, Kaplan-Meier survival curves, and receiver operating characteristic (ROC) analysis, were employed to assess the association between MgDS and mortality risks.

Results: The results indicate that higher MgDS is significantly associated with increased risks of both all-cause and cardiovascular mortality in individuals with hyperlipidemia, even after adjusting for confounders. Subgroup analyses identified prediabetes, smoking, and alcohol consumption as significant modifiers of this association. RCS analysis confirmed a linear relationship between MgDS and mortality, further supporting its value as a reliable predictor of long-term outcomes. ROC analysis demonstrated the potential of MgDS as an independent tool for predicting mortality at 1, 3, and 5 years. Notably, high MgDS levels in hyperlipidemic individuals with binge drinking habits were associated with significantly higher mortality risks.

Conclusions: These results establish MgDS as a promising biomarker for mortality risk stratification in patients with hyperlipidemia. This novel index offers important insights for clinical practice and could facilitate the development of tailored management strategies, particularly for high-risk hyperlipidemia populations, to mitigate long-term health risks.

求助全文
通过发布文献求助,成功后即可免费获取论文全文。 去求助
来源期刊
Journal of Health, Population, and Nutrition
Journal of Health, Population, and Nutrition 医学-公共卫生、环境卫生与职业卫生
CiteScore
2.20
自引率
0.00%
发文量
49
审稿时长
6 months
期刊介绍: Journal of Health, Population and Nutrition brings together research on all aspects of issues related to population, nutrition and health. The journal publishes articles across a broad range of topics including global health, maternal and child health, nutrition, common illnesses and determinants of population health.
×
引用
GB/T 7714-2015
复制
MLA
复制
APA
复制
导出至
BibTeX EndNote RefMan NoteFirst NoteExpress
×
提示
您的信息不完整,为了账户安全,请先补充。
现在去补充
×
提示
您因"违规操作"
具体请查看互助需知
我知道了
×
提示
确定
请完成安全验证×
copy
已复制链接
快去分享给好友吧!
我知道了
右上角分享
点击右上角分享
0
联系我们:info@booksci.cn Book学术提供免费学术资源搜索服务,方便国内外学者检索中英文文献。致力于提供最便捷和优质的服务体验。 Copyright © 2023 布克学术 All rights reserved.
京ICP备2023020795号-1
ghs 京公网安备 11010802042870号
Book学术文献互助
Book学术文献互助群
群 号:604180095
Book学术官方微信