重新考察均匀混合河口的潮汐捕获及其对盐度分散的影响。

IF 2.3 3区 环境科学与生态学 Q3 ENVIRONMENTAL SCIENCES
Estuaries and Coasts Pub Date : 2025-01-01 Epub Date: 2025-07-30 DOI:10.1007/s12237-025-01579-0
Daan van Keulen, Wouter M Kranenburg, Antonius J F Hoitink
{"title":"重新考察均匀混合河口的潮汐捕获及其对盐度分散的影响。","authors":"Daan van Keulen, Wouter M Kranenburg, Antonius J F Hoitink","doi":"10.1007/s12237-025-01579-0","DOIUrl":null,"url":null,"abstract":"<p><p>In well-mixed estuaries, the up-estuary salt flux is often dominated by tidal dispersion mechanisms, including tidal trapping. Tidal trapping involves volumes of water being temporarily trapped in dead zones or side channels adjacent to the main channel and released later in the tidal cycle, which causes an additional up-estuary salt flux. Tidal trapping can result from a diffusive exchange between a channel and a trap, or from filling and emptying of the trap by a tidal flow that is ahead in phase compared to the flow in the main channel (advective out-of-phase exchange). This study revisits the dispersive contribution from tidal trapping in a single dead-end side channel using an idealized numerical model. The results indicate that advective out-of-phase exchange yields the largest additional salt flux for the largest realistic velocity phase difference of 90 <math><mmultiscripts><mrow></mrow> <mrow></mrow> <mo>∘</mo></mmultiscripts> </math> . Mixing of the trapped salinity field enhances the dispersive effect for small velocity phase differences. A continuous diffusive channel-trap exchange also enhances the dispersive trap effect when the velocity phase difference is small, but can dampen it when the phase difference is large. We demonstrate that the effect of a trap is twofold: firstly, channel-trap exchange alters the salinity field and introduces an additional salt flux in the main channel over a distance equal to the tidal excursion length; secondly, the altered salinity gradients are advected in both up- and down-estuary direction, influencing the tidal salt flux over twice the excursion length.</p>","PeriodicalId":11921,"journal":{"name":"Estuaries and Coasts","volume":"48 6","pages":"153"},"PeriodicalIF":2.3000,"publicationDate":"2025-01-01","publicationTypes":"Journal Article","fieldsOfStudy":null,"isOpenAccess":false,"openAccessPdf":"https://www.ncbi.nlm.nih.gov/pmc/articles/PMC12310870/pdf/","citationCount":"0","resultStr":"{\"title\":\"Tidal Trapping and Its Effect on Salinity Dispersion in Well-Mixed Estuaries Revisited.\",\"authors\":\"Daan van Keulen, Wouter M Kranenburg, Antonius J F Hoitink\",\"doi\":\"10.1007/s12237-025-01579-0\",\"DOIUrl\":null,\"url\":null,\"abstract\":\"<p><p>In well-mixed estuaries, the up-estuary salt flux is often dominated by tidal dispersion mechanisms, including tidal trapping. Tidal trapping involves volumes of water being temporarily trapped in dead zones or side channels adjacent to the main channel and released later in the tidal cycle, which causes an additional up-estuary salt flux. Tidal trapping can result from a diffusive exchange between a channel and a trap, or from filling and emptying of the trap by a tidal flow that is ahead in phase compared to the flow in the main channel (advective out-of-phase exchange). This study revisits the dispersive contribution from tidal trapping in a single dead-end side channel using an idealized numerical model. The results indicate that advective out-of-phase exchange yields the largest additional salt flux for the largest realistic velocity phase difference of 90 <math><mmultiscripts><mrow></mrow> <mrow></mrow> <mo>∘</mo></mmultiscripts> </math> . Mixing of the trapped salinity field enhances the dispersive effect for small velocity phase differences. A continuous diffusive channel-trap exchange also enhances the dispersive trap effect when the velocity phase difference is small, but can dampen it when the phase difference is large. We demonstrate that the effect of a trap is twofold: firstly, channel-trap exchange alters the salinity field and introduces an additional salt flux in the main channel over a distance equal to the tidal excursion length; secondly, the altered salinity gradients are advected in both up- and down-estuary direction, influencing the tidal salt flux over twice the excursion length.</p>\",\"PeriodicalId\":11921,\"journal\":{\"name\":\"Estuaries and Coasts\",\"volume\":\"48 6\",\"pages\":\"153\"},\"PeriodicalIF\":2.3000,\"publicationDate\":\"2025-01-01\",\"publicationTypes\":\"Journal Article\",\"fieldsOfStudy\":null,\"isOpenAccess\":false,\"openAccessPdf\":\"https://www.ncbi.nlm.nih.gov/pmc/articles/PMC12310870/pdf/\",\"citationCount\":\"0\",\"resultStr\":null,\"platform\":\"Semanticscholar\",\"paperid\":null,\"PeriodicalName\":\"Estuaries and Coasts\",\"FirstCategoryId\":\"93\",\"ListUrlMain\":\"https://doi.org/10.1007/s12237-025-01579-0\",\"RegionNum\":3,\"RegionCategory\":\"环境科学与生态学\",\"ArticlePicture\":[],\"TitleCN\":null,\"AbstractTextCN\":null,\"PMCID\":null,\"EPubDate\":\"2025/7/30 0:00:00\",\"PubModel\":\"Epub\",\"JCR\":\"Q3\",\"JCRName\":\"ENVIRONMENTAL SCIENCES\",\"Score\":null,\"Total\":0}","platform":"Semanticscholar","paperid":null,"PeriodicalName":"Estuaries and Coasts","FirstCategoryId":"93","ListUrlMain":"https://doi.org/10.1007/s12237-025-01579-0","RegionNum":3,"RegionCategory":"环境科学与生态学","ArticlePicture":[],"TitleCN":null,"AbstractTextCN":null,"PMCID":null,"EPubDate":"2025/7/30 0:00:00","PubModel":"Epub","JCR":"Q3","JCRName":"ENVIRONMENTAL SCIENCES","Score":null,"Total":0}
引用次数: 0

摘要

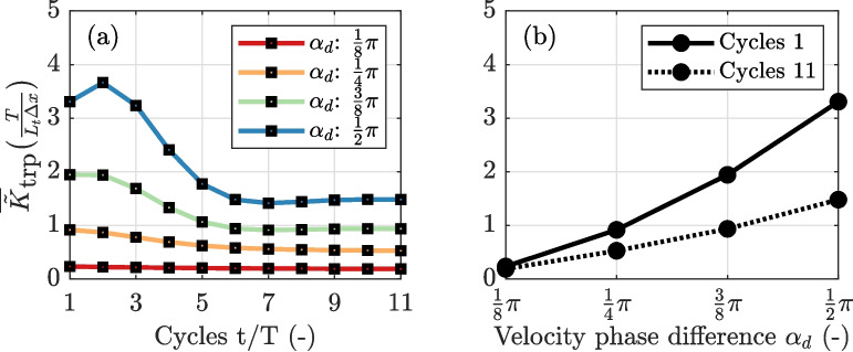
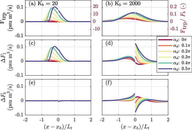
在混合良好的河口,河口上游的盐通量通常由潮汐分散机制主导,包括潮汐捕获机制。潮汐捕获是指大量的水被暂时困在死区或靠近主河道的侧河道中,并在潮汐循环的后期释放,这导致了河口上游额外的盐通量。潮汐捕获可能是由于通道和疏水阀之间的扩散交换,或者是由于与主通道的流动相比,在相位上领先的潮汐流(平流的非相位交换)填充和清空疏水阀造成的。本研究利用一个理想化的数值模型,重新研究了单一死角侧水道中潮汐捕获的色散贡献。结果表明,在实际最大的90°速度相位差下,平流反相交换产生最大的额外盐通量。在速度相位差较小的情况下,被困盐度场的混合增强了色散效应。当速度相位差较小时,连续的扩散通道-陷阱交换也增强了色散陷阱效应,但当速度相位差较大时,色散陷阱效应会减弱。我们证明了陷阱的影响是双重的:首先,通道-陷阱交换改变了盐度场,并在主航道中引入了额外的盐通量,其距离等于潮汐偏移长度;改变后的盐度梯度在河口上下方向平流,影响了2倍于漂移长度的潮盐通量。
本文章由计算机程序翻译,如有差异,请以英文原文为准。

Tidal Trapping and Its Effect on Salinity Dispersion in Well-Mixed Estuaries Revisited.

Tidal Trapping and Its Effect on Salinity Dispersion in Well-Mixed Estuaries Revisited.

Tidal Trapping and Its Effect on Salinity Dispersion in Well-Mixed Estuaries Revisited.

Tidal Trapping and Its Effect on Salinity Dispersion in Well-Mixed Estuaries Revisited.

In well-mixed estuaries, the up-estuary salt flux is often dominated by tidal dispersion mechanisms, including tidal trapping. Tidal trapping involves volumes of water being temporarily trapped in dead zones or side channels adjacent to the main channel and released later in the tidal cycle, which causes an additional up-estuary salt flux. Tidal trapping can result from a diffusive exchange between a channel and a trap, or from filling and emptying of the trap by a tidal flow that is ahead in phase compared to the flow in the main channel (advective out-of-phase exchange). This study revisits the dispersive contribution from tidal trapping in a single dead-end side channel using an idealized numerical model. The results indicate that advective out-of-phase exchange yields the largest additional salt flux for the largest realistic velocity phase difference of 90 . Mixing of the trapped salinity field enhances the dispersive effect for small velocity phase differences. A continuous diffusive channel-trap exchange also enhances the dispersive trap effect when the velocity phase difference is small, but can dampen it when the phase difference is large. We demonstrate that the effect of a trap is twofold: firstly, channel-trap exchange alters the salinity field and introduces an additional salt flux in the main channel over a distance equal to the tidal excursion length; secondly, the altered salinity gradients are advected in both up- and down-estuary direction, influencing the tidal salt flux over twice the excursion length.

求助全文
通过发布文献求助,成功后即可免费获取论文全文。 去求助
来源期刊
Estuaries and Coasts
Estuaries and Coasts 环境科学-海洋与淡水生物学
CiteScore
5.60
自引率
11.10%
发文量
107
审稿时长
12-24 weeks
期刊介绍: Estuaries and Coasts is the journal of the Coastal and Estuarine Research Federation (CERF). Begun in 1977 as Chesapeake Science, the journal has gradually expanded its scope and circulation. Today, the journal publishes scholarly manuscripts on estuarine and near coastal ecosystems at the interface between the land and the sea where there are tidal fluctuations or sea water is diluted by fresh water. The interface is broadly defined to include estuaries and nearshore coastal waters including lagoons, wetlands, tidal fresh water, shores and beaches, but not the continental shelf. The journal covers research on physical, chemical, geological or biological processes, as well as applications to management of estuaries and coasts. The journal publishes original research findings, reviews and perspectives, techniques, comments, and management applications. Estuaries and Coasts will consider properly carried out studies that present inconclusive findings or document a failed replication of previously published work. Submissions that are primarily descriptive, strongly place-based, or only report on development of models or new methods without detailing their applications fall outside the scope of the journal.
×
引用
GB/T 7714-2015
复制
MLA
复制
APA
复制
导出至
BibTeX EndNote RefMan NoteFirst NoteExpress
×
提示
您的信息不完整,为了账户安全,请先补充。
现在去补充
×
提示
您因"违规操作"
具体请查看互助需知
我知道了
×
提示
确定
请完成安全验证×
copy
已复制链接
快去分享给好友吧!
我知道了
右上角分享
点击右上角分享
0
联系我们:info@booksci.cn Book学术提供免费学术资源搜索服务,方便国内外学者检索中英文文献。致力于提供最便捷和优质的服务体验。 Copyright © 2023 布克学术 All rights reserved.
京ICP备2023020795号-1
ghs 京公网安备 11010802042870号
Book学术文献互助
Book学术文献互助群
群 号:604180095
Book学术官方微信