中性粒细胞/高密度脂蛋白胆固醇比值与2型糖尿病患者代谢功能障碍相关脂肪变性肝病的关联:横断面研究和预测模型构建

IF 3 3区 医学 Q3 ENDOCRINOLOGY & METABOLISM
Wenxian Li, Hongxia Tang, Xiaowei Tong, Yifan Zhao, Shien Li
{"title":"中性粒细胞/高密度脂蛋白胆固醇比值与2型糖尿病患者代谢功能障碍相关脂肪变性肝病的关联:横断面研究和预测模型构建","authors":"Wenxian Li, Hongxia Tang, Xiaowei Tong, Yifan Zhao, Shien Li","doi":"10.2147/DMSO.S528506","DOIUrl":null,"url":null,"abstract":"<p><strong>Objective: </strong>The neutrophil/high-density lipoprotein cholesterol ratio (NHR) has been identified as a combined indicator of inflammatory cells and lipid metabolism. The objective of this study was to investigate the relationship between the NHR and metabolic dysfunction-associated steatotic liver disease (MASLD) in patients with type 2 diabetes mellitus (T2DM).</p><p><strong>Methods: </strong>This cross-sectional study selected patients with T2DM who were admitted to the Department of Endocrinology at the First Hospital of Zhangjiakou City. Liver ultrasound was performed on all patients to determine the presence or absence of MASLD, and NHR values were calculated. The patients were grouped according to the median NHR, and a difference analysis was performed to compare the differences in clinical information between groups.Logistic regression was used to assess independent influences of MASLD, and subgroup analyses were performed. The final stage of this project involved construction of a novel predictive model for MASLD, derived from the screened influential factors, alongside an evaluation of its predictive value using the receiver operating characteristic.</p><p><strong>Results: </strong>A total of 621 patients with T2DM were included in this study according to the inclusion and exclusion criteria. Logistic regression analyses showed a significant negative correlation between NHR and MASLD, and this correlation was particularly significant in men and in patients not using GLP-1A. In addition, restricted cubic spline curve (RCS) plots showed a nonlinear correlation between NHR and MASLD. The area under the curve (AUC) of the novel prediction model constructed on the basis of NHR reached 0.78 (95% CI 0.75-0.82), which can be used to predict the onset of MASLD, and is effective in clinical applications.</p><p><strong>Conclusion: </strong>NHR is significantly correlated with MASLD, and NHR has the potential to be an early detection and intervention indicator for screening T2DM patients for MASLD.</p>","PeriodicalId":11116,"journal":{"name":"Diabetes, Metabolic Syndrome and Obesity: Targets and Therapy","volume":"18 ","pages":"2597-2609"},"PeriodicalIF":3.0000,"publicationDate":"2025-07-29","publicationTypes":"Journal Article","fieldsOfStudy":null,"isOpenAccess":false,"openAccessPdf":"https://www.ncbi.nlm.nih.gov/pmc/articles/PMC12317737/pdf/","citationCount":"0","resultStr":"{\"title\":\"Association of Neutrophil/High-Density Lipoprotein Cholesterol Ratio with Metabolic Dysfunction-Associated Steatotic Liver Disease in Type 2 Diabetes Mellitus Patients: A Cross-Sectional Study and Predictive Model Construction.\",\"authors\":\"Wenxian Li, Hongxia Tang, Xiaowei Tong, Yifan Zhao, Shien Li\",\"doi\":\"10.2147/DMSO.S528506\",\"DOIUrl\":null,\"url\":null,\"abstract\":\"<p><strong>Objective: </strong>The neutrophil/high-density lipoprotein cholesterol ratio (NHR) has been identified as a combined indicator of inflammatory cells and lipid metabolism. The objective of this study was to investigate the relationship between the NHR and metabolic dysfunction-associated steatotic liver disease (MASLD) in patients with type 2 diabetes mellitus (T2DM).</p><p><strong>Methods: </strong>This cross-sectional study selected patients with T2DM who were admitted to the Department of Endocrinology at the First Hospital of Zhangjiakou City. Liver ultrasound was performed on all patients to determine the presence or absence of MASLD, and NHR values were calculated. The patients were grouped according to the median NHR, and a difference analysis was performed to compare the differences in clinical information between groups.Logistic regression was used to assess independent influences of MASLD, and subgroup analyses were performed. The final stage of this project involved construction of a novel predictive model for MASLD, derived from the screened influential factors, alongside an evaluation of its predictive value using the receiver operating characteristic.</p><p><strong>Results: </strong>A total of 621 patients with T2DM were included in this study according to the inclusion and exclusion criteria. Logistic regression analyses showed a significant negative correlation between NHR and MASLD, and this correlation was particularly significant in men and in patients not using GLP-1A. In addition, restricted cubic spline curve (RCS) plots showed a nonlinear correlation between NHR and MASLD. The area under the curve (AUC) of the novel prediction model constructed on the basis of NHR reached 0.78 (95% CI 0.75-0.82), which can be used to predict the onset of MASLD, and is effective in clinical applications.</p><p><strong>Conclusion: </strong>NHR is significantly correlated with MASLD, and NHR has the potential to be an early detection and intervention indicator for screening T2DM patients for MASLD.</p>\",\"PeriodicalId\":11116,\"journal\":{\"name\":\"Diabetes, Metabolic Syndrome and Obesity: Targets and Therapy\",\"volume\":\"18 \",\"pages\":\"2597-2609\"},\"PeriodicalIF\":3.0000,\"publicationDate\":\"2025-07-29\",\"publicationTypes\":\"Journal Article\",\"fieldsOfStudy\":null,\"isOpenAccess\":false,\"openAccessPdf\":\"https://www.ncbi.nlm.nih.gov/pmc/articles/PMC12317737/pdf/\",\"citationCount\":\"0\",\"resultStr\":null,\"platform\":\"Semanticscholar\",\"paperid\":null,\"PeriodicalName\":\"Diabetes, Metabolic Syndrome and Obesity: Targets and Therapy\",\"FirstCategoryId\":\"3\",\"ListUrlMain\":\"https://doi.org/10.2147/DMSO.S528506\",\"RegionNum\":3,\"RegionCategory\":\"医学\",\"ArticlePicture\":[],\"TitleCN\":null,\"AbstractTextCN\":null,\"PMCID\":null,\"EPubDate\":\"2025/1/1 0:00:00\",\"PubModel\":\"eCollection\",\"JCR\":\"Q3\",\"JCRName\":\"ENDOCRINOLOGY & METABOLISM\",\"Score\":null,\"Total\":0}","platform":"Semanticscholar","paperid":null,"PeriodicalName":"Diabetes, Metabolic Syndrome and Obesity: Targets and Therapy","FirstCategoryId":"3","ListUrlMain":"https://doi.org/10.2147/DMSO.S528506","RegionNum":3,"RegionCategory":"医学","ArticlePicture":[],"TitleCN":null,"AbstractTextCN":null,"PMCID":null,"EPubDate":"2025/1/1 0:00:00","PubModel":"eCollection","JCR":"Q3","JCRName":"ENDOCRINOLOGY & METABOLISM","Score":null,"Total":0}
引用次数: 0

摘要

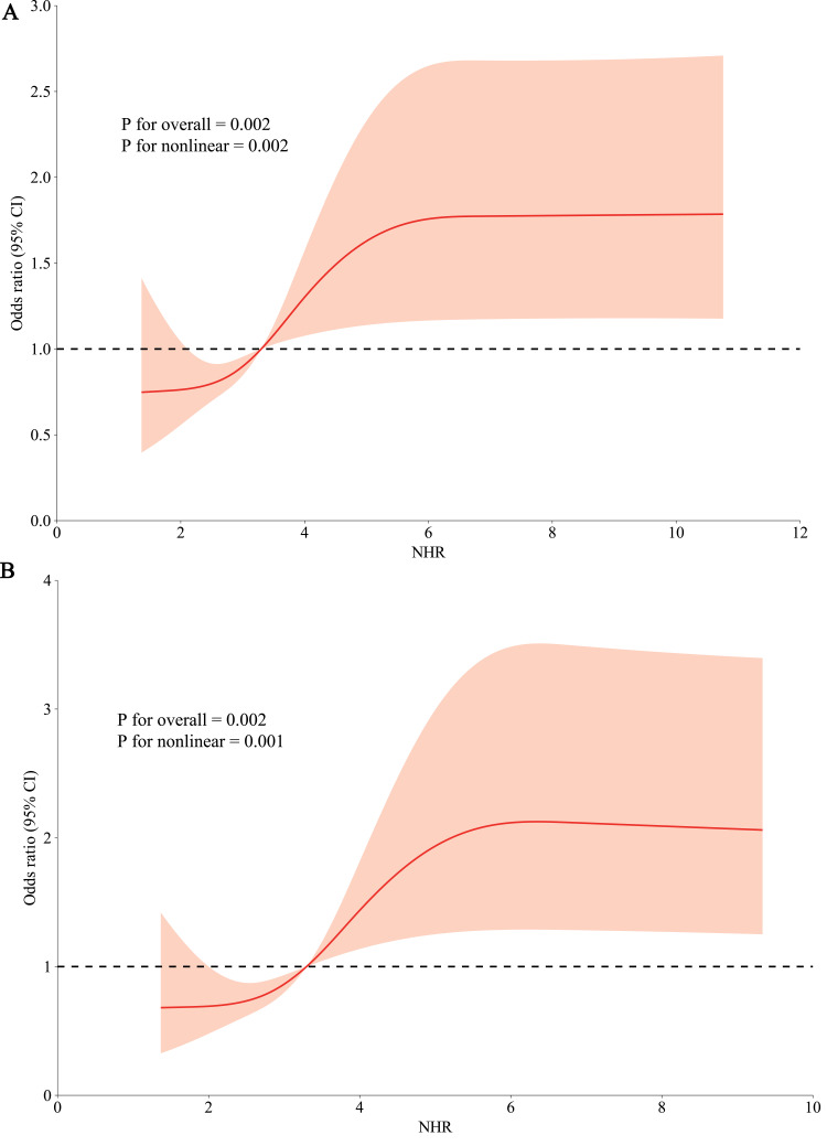
目的:中性粒细胞/高密度脂蛋白胆固醇比值(NHR)已被确定为炎症细胞和脂质代谢的综合指标。本研究的目的是探讨2型糖尿病(T2DM)患者NHR与代谢功能障碍相关脂肪变性肝病(MASLD)之间的关系。方法:横断面研究选择张家口市第一医院内分泌科收治的2型糖尿病患者。所有患者均行肝脏超声检查,确定是否存在MASLD,并计算NHR值。根据NHR中位数分组,进行差异分析,比较两组患者临床信息的差异。采用Logistic回归评估MASLD的独立影响,并进行亚组分析。该项目的最后阶段涉及根据筛选的影响因素构建一个新的MASLD预测模型,同时使用接收器工作特性评估其预测值。结果:根据纳入和排除标准,本研究共纳入T2DM患者621例。逻辑回归分析显示NHR和MASLD之间存在显著的负相关,这种相关性在男性和未使用GLP-1A的患者中尤为显著。此外,限制三次样条曲线(RCS)显示NHR与MASLD之间存在非线性相关。基于NHR构建的新型预测模型的曲线下面积(AUC)达到0.78 (95% CI 0.75 ~ 0.82),可用于预测MASLD的发病,具有较好的临床应用价值。结论:NHR与MASLD有显著相关性,NHR有可能成为筛查T2DM患者MASLD的早期发现和干预指标。
本文章由计算机程序翻译,如有差异,请以英文原文为准。

Association of Neutrophil/High-Density Lipoprotein Cholesterol Ratio with Metabolic Dysfunction-Associated Steatotic Liver Disease in Type 2 Diabetes Mellitus Patients: A Cross-Sectional Study and Predictive Model Construction.

Association of Neutrophil/High-Density Lipoprotein Cholesterol Ratio with Metabolic Dysfunction-Associated Steatotic Liver Disease in Type 2 Diabetes Mellitus Patients: A Cross-Sectional Study and Predictive Model Construction.

Association of Neutrophil/High-Density Lipoprotein Cholesterol Ratio with Metabolic Dysfunction-Associated Steatotic Liver Disease in Type 2 Diabetes Mellitus Patients: A Cross-Sectional Study and Predictive Model Construction.

Association of Neutrophil/High-Density Lipoprotein Cholesterol Ratio with Metabolic Dysfunction-Associated Steatotic Liver Disease in Type 2 Diabetes Mellitus Patients: A Cross-Sectional Study and Predictive Model Construction.

Objective: The neutrophil/high-density lipoprotein cholesterol ratio (NHR) has been identified as a combined indicator of inflammatory cells and lipid metabolism. The objective of this study was to investigate the relationship between the NHR and metabolic dysfunction-associated steatotic liver disease (MASLD) in patients with type 2 diabetes mellitus (T2DM).

Methods: This cross-sectional study selected patients with T2DM who were admitted to the Department of Endocrinology at the First Hospital of Zhangjiakou City. Liver ultrasound was performed on all patients to determine the presence or absence of MASLD, and NHR values were calculated. The patients were grouped according to the median NHR, and a difference analysis was performed to compare the differences in clinical information between groups.Logistic regression was used to assess independent influences of MASLD, and subgroup analyses were performed. The final stage of this project involved construction of a novel predictive model for MASLD, derived from the screened influential factors, alongside an evaluation of its predictive value using the receiver operating characteristic.

Results: A total of 621 patients with T2DM were included in this study according to the inclusion and exclusion criteria. Logistic regression analyses showed a significant negative correlation between NHR and MASLD, and this correlation was particularly significant in men and in patients not using GLP-1A. In addition, restricted cubic spline curve (RCS) plots showed a nonlinear correlation between NHR and MASLD. The area under the curve (AUC) of the novel prediction model constructed on the basis of NHR reached 0.78 (95% CI 0.75-0.82), which can be used to predict the onset of MASLD, and is effective in clinical applications.

Conclusion: NHR is significantly correlated with MASLD, and NHR has the potential to be an early detection and intervention indicator for screening T2DM patients for MASLD.

求助全文
通过发布文献求助,成功后即可免费获取论文全文。 去求助
来源期刊
Diabetes, Metabolic Syndrome and Obesity: Targets and Therapy
Diabetes, Metabolic Syndrome and Obesity: Targets and Therapy Pharmacology, Toxicology and Pharmaceutics-Pharmacology
CiteScore
5.90
自引率
6.10%
发文量
431
审稿时长
16 weeks
期刊介绍: An international, peer-reviewed, open access, online journal. The journal is committed to the rapid publication of the latest laboratory and clinical findings in the fields of diabetes, metabolic syndrome and obesity research. Original research, review, case reports, hypothesis formation, expert opinion and commentaries are all considered for publication.
×
引用
GB/T 7714-2015
复制
MLA
复制
APA
复制
导出至
BibTeX EndNote RefMan NoteFirst NoteExpress
×
提示
您的信息不完整,为了账户安全,请先补充。
现在去补充
×
提示
您因"违规操作"
具体请查看互助需知
我知道了
×
提示
确定
请完成安全验证×
copy
已复制链接
快去分享给好友吧!
我知道了
右上角分享
点击右上角分享
0
联系我们:info@booksci.cn Book学术提供免费学术资源搜索服务,方便国内外学者检索中英文文献。致力于提供最便捷和优质的服务体验。 Copyright © 2023 布克学术 All rights reserved.
京ICP备2023020795号-1
ghs 京公网安备 11010802042870号
Book学术文献互助
Book学术文献互助群
群 号:604180095
Book学术官方微信