血浆动脉粥样硬化指数与 2型 糖尿病患者糖尿病肾病的风险:一项荟萃分析

0 MEDICINE, RESEARCH & EXPERIMENTAL
Danyan Min, Junli Zhao, Miao Liu
{"title":"血浆动脉粥样硬化指数与 2型 糖尿病患者糖尿病肾病的风险:一项荟萃分析","authors":"Danyan Min, Junli Zhao, Miao Liu","doi":"10.17305/bb.2025.12731","DOIUrl":null,"url":null,"abstract":"<p><p>The atherogenic index of plasma (AIP) is a lipid-based biomarker associated with cardiovascular and renal risks in individuals with type 2 diabetes mellitus (T2DM). However, its relationship with diabetic nephropathy (DN) remains inadequately defined. This meta-analysis aims to assess the association between AIP and DN in T2DM patients. We conducted a comprehensive search in PubMed, Embase, and Web of Science for observational studies that compared the incidence or prevalence of DN across varying AIP levels in T2DM populations. Data were synthesized using a random-effects model to account for potential heterogeneity. A total of eleven datasets from ten studies, encompassing 25,773 T2DM patients, were included in the analysis. The pooled results indicated that higher AIP levels are significantly associated with DN (risk ratio [RR] = 1.51, 95% confidence interval [CI]: 1.36-1.67; p < 0.001). Subgroup analyses revealed a stronger association in patients aged 58 years or older (RR = 1.66) compared to those younger than 58 years (RR = 1.35; p for subgroup difference = 0.02). Similar associations were observed across different study designs, sex distributions, AIP cutoff values, definitions of DN, and quality scores (p for subgroup difference all > 0.05). Meta-regression analysis further indicated that older age positively influenced the strength of the association (coefficient = 0.018, p = 0.03). In conclusion, elevated AIP levels are significantly associated with diabetic nephropathy in T2DM patients, particularly among older individuals.</p>","PeriodicalId":72398,"journal":{"name":"Biomolecules & biomedicine","volume":" ","pages":"51-64"},"PeriodicalIF":0.0000,"publicationDate":"2025-08-01","publicationTypes":"Journal Article","fieldsOfStudy":null,"isOpenAccess":false,"openAccessPdf":"https://www.ncbi.nlm.nih.gov/pmc/articles/PMC12499552/pdf/","citationCount":"0","resultStr":"{\"title\":\"Atherogenic index of plasma and risk of diabetic nephropathy in type 2 diabetes: A meta‑analysis.\",\"authors\":\"Danyan Min, Junli Zhao, Miao Liu\",\"doi\":\"10.17305/bb.2025.12731\",\"DOIUrl\":null,\"url\":null,\"abstract\":\"<p><p>The atherogenic index of plasma (AIP) is a lipid-based biomarker associated with cardiovascular and renal risks in individuals with type 2 diabetes mellitus (T2DM). However, its relationship with diabetic nephropathy (DN) remains inadequately defined. This meta-analysis aims to assess the association between AIP and DN in T2DM patients. We conducted a comprehensive search in PubMed, Embase, and Web of Science for observational studies that compared the incidence or prevalence of DN across varying AIP levels in T2DM populations. Data were synthesized using a random-effects model to account for potential heterogeneity. A total of eleven datasets from ten studies, encompassing 25,773 T2DM patients, were included in the analysis. The pooled results indicated that higher AIP levels are significantly associated with DN (risk ratio [RR] = 1.51, 95% confidence interval [CI]: 1.36-1.67; p < 0.001). Subgroup analyses revealed a stronger association in patients aged 58 years or older (RR = 1.66) compared to those younger than 58 years (RR = 1.35; p for subgroup difference = 0.02). Similar associations were observed across different study designs, sex distributions, AIP cutoff values, definitions of DN, and quality scores (p for subgroup difference all > 0.05). Meta-regression analysis further indicated that older age positively influenced the strength of the association (coefficient = 0.018, p = 0.03). In conclusion, elevated AIP levels are significantly associated with diabetic nephropathy in T2DM patients, particularly among older individuals.</p>\",\"PeriodicalId\":72398,\"journal\":{\"name\":\"Biomolecules & biomedicine\",\"volume\":\" \",\"pages\":\"51-64\"},\"PeriodicalIF\":0.0000,\"publicationDate\":\"2025-08-01\",\"publicationTypes\":\"Journal Article\",\"fieldsOfStudy\":null,\"isOpenAccess\":false,\"openAccessPdf\":\"https://www.ncbi.nlm.nih.gov/pmc/articles/PMC12499552/pdf/\",\"citationCount\":\"0\",\"resultStr\":null,\"platform\":\"Semanticscholar\",\"paperid\":null,\"PeriodicalName\":\"Biomolecules & biomedicine\",\"FirstCategoryId\":\"1085\",\"ListUrlMain\":\"https://doi.org/10.17305/bb.2025.12731\",\"RegionNum\":0,\"RegionCategory\":null,\"ArticlePicture\":[],\"TitleCN\":null,\"AbstractTextCN\":null,\"PMCID\":null,\"EPubDate\":\"\",\"PubModel\":\"\",\"JCR\":\"0\",\"JCRName\":\"MEDICINE, RESEARCH & EXPERIMENTAL\",\"Score\":null,\"Total\":0}","platform":"Semanticscholar","paperid":null,"PeriodicalName":"Biomolecules & biomedicine","FirstCategoryId":"1085","ListUrlMain":"https://doi.org/10.17305/bb.2025.12731","RegionNum":0,"RegionCategory":null,"ArticlePicture":[],"TitleCN":null,"AbstractTextCN":null,"PMCID":null,"EPubDate":"","PubModel":"","JCR":"0","JCRName":"MEDICINE, RESEARCH & EXPERIMENTAL","Score":null,"Total":0}
引用次数: 0

摘要

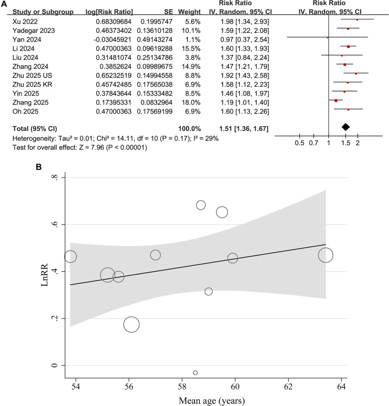
血浆动脉粥样硬化指数(AIP)是一种基于脂质的生物标志物,与2型糖尿病(T2DM)患者心血管和肾脏风险相关。然而,其与糖尿病肾病(DN)的关系仍不明确。本荟萃分析旨在评估T2DM患者AIP和DN之间的关系。我们在PubMed, Embase和Web of Science中进行了全面的搜索,以比较T2DM人群中不同AIP水平的DN发病率或患病率的观察性研究。使用随机效应模型综合数据以解释潜在的异质性。来自10项研究的11个数据集,包括25,773名T2DM患者,被纳入分析。合并结果显示,较高的AIP水平与DN显著相关(风险比[RR] = 1.51, 95%可信区间[CI]: 1.36-1.67;P < 0.001)。亚组分析显示,58岁及以上患者(RR = 1.66)与58岁以下患者(RR = 1.35;P为亚组差异= 0.02)。在不同的研究设计、性别分布、AIP临界值、DN定义和质量评分中观察到类似的关联(亚组差异p均为0.05)。meta回归分析进一步表明,年龄对关联强度有正向影响(系数= 0.018,p = 0.03)。总之,AIP水平升高与T2DM患者的糖尿病肾病显著相关,尤其是在老年人中。
本文章由计算机程序翻译,如有差异,请以英文原文为准。

Atherogenic index of plasma and risk of diabetic nephropathy in type 2 diabetes: A meta‑analysis.

Atherogenic index of plasma and risk of diabetic nephropathy in type 2 diabetes: A meta‑analysis.

Atherogenic index of plasma and risk of diabetic nephropathy in type 2 diabetes: A meta‑analysis.

Atherogenic index of plasma and risk of diabetic nephropathy in type 2 diabetes: A meta‑analysis.

The atherogenic index of plasma (AIP) is a lipid-based biomarker associated with cardiovascular and renal risks in individuals with type 2 diabetes mellitus (T2DM). However, its relationship with diabetic nephropathy (DN) remains inadequately defined. This meta-analysis aims to assess the association between AIP and DN in T2DM patients. We conducted a comprehensive search in PubMed, Embase, and Web of Science for observational studies that compared the incidence or prevalence of DN across varying AIP levels in T2DM populations. Data were synthesized using a random-effects model to account for potential heterogeneity. A total of eleven datasets from ten studies, encompassing 25,773 T2DM patients, were included in the analysis. The pooled results indicated that higher AIP levels are significantly associated with DN (risk ratio [RR] = 1.51, 95% confidence interval [CI]: 1.36-1.67; p < 0.001). Subgroup analyses revealed a stronger association in patients aged 58 years or older (RR = 1.66) compared to those younger than 58 years (RR = 1.35; p for subgroup difference = 0.02). Similar associations were observed across different study designs, sex distributions, AIP cutoff values, definitions of DN, and quality scores (p for subgroup difference all > 0.05). Meta-regression analysis further indicated that older age positively influenced the strength of the association (coefficient = 0.018, p = 0.03). In conclusion, elevated AIP levels are significantly associated with diabetic nephropathy in T2DM patients, particularly among older individuals.

求助全文
通过发布文献求助,成功后即可免费获取论文全文。 去求助
来源期刊
CiteScore
1.10
自引率
0.00%
发文量
0
×
引用
GB/T 7714-2015
复制
MLA
复制
APA
复制
导出至
BibTeX EndNote RefMan NoteFirst NoteExpress
×
提示
您的信息不完整,为了账户安全,请先补充。
现在去补充
×
提示
您因"违规操作"
具体请查看互助需知
我知道了
×
提示
确定
请完成安全验证×
copy
已复制链接
快去分享给好友吧!
我知道了
右上角分享
点击右上角分享
0
联系我们:info@booksci.cn Book学术提供免费学术资源搜索服务,方便国内外学者检索中英文文献。致力于提供最便捷和优质的服务体验。 Copyright © 2023 布克学术 All rights reserved.
京ICP备2023020795号-1
ghs 京公网安备 11010802042870号
Book学术文献互助
Book学术文献互助群
群 号:604180095
Book学术官方微信