接种BNT162b2疫苗后肝移植受者丙氨酸转氨酶升高:一项队列研究

IF 6.5 1区 医学 Q1 IMMUNOLOGY
Jacob Siewertsen Bergmann, Sebastian Rask Hamm, Louise Bering, Christian Ross Pedersen, Ask Bock, Safura-Luise Heidari, Gerda Elisabeth Villadsen, Annette Dam Fialla, Gro Linno Willemoe, Peter Holland-Fischer, Susanne Dam Nielsen
{"title":"接种BNT162b2疫苗后肝移植受者丙氨酸转氨酶升高:一项队列研究","authors":"Jacob Siewertsen Bergmann, Sebastian Rask Hamm, Louise Bering, Christian Ross Pedersen, Ask Bock, Safura-Luise Heidari, Gerda Elisabeth Villadsen, Annette Dam Fialla, Gro Linno Willemoe, Peter Holland-Fischer, Susanne Dam Nielsen","doi":"10.1038/s41541-025-01233-7","DOIUrl":null,"url":null,"abstract":"<p><p>Liver transplant (LTx) recipients risk severe COVID-19. Vaccination reduces this risk. However, there may be side effects, including elevated alanine transaminase (ALT) which could lead to increased use of liver biopsy. We aimed to describe prevalence and relative incidence of elevated ALT 90 days before and after BNT162b2 vaccination in LTx recipients. Furthermore, we aimed to describe changes in prevalence of liver biopsies before and after BNT162b2 vaccination. We included 393 LTx recipients from The Danish Comorbidity in Liver Transplant Recipients (DACOLT) study. We calculated prevalence of elevated ALT and liver biopsies before and after each BNT162b2 vaccine dose. We used self-control case series (SCCS) analysis to investigate whether vaccination was associated with higher relative incidence of elevated ALT. Prevalence of elevated ALT, around each vaccine dose, was comparable. We did not find higher relative incidence of elevated ALT after vaccination. The prevalence of liver biopsies around vaccination was comparable.</p>","PeriodicalId":19335,"journal":{"name":"NPJ Vaccines","volume":"10 1","pages":"181"},"PeriodicalIF":6.5000,"publicationDate":"2025-08-02","publicationTypes":"Journal Article","fieldsOfStudy":null,"isOpenAccess":false,"openAccessPdf":"https://www.ncbi.nlm.nih.gov/pmc/articles/PMC12317978/pdf/","citationCount":"0","resultStr":"{\"title\":\"Elevated alanine transaminase in liver transplant recipients after BNT162b2 vaccination: a cohort study.\",\"authors\":\"Jacob Siewertsen Bergmann, Sebastian Rask Hamm, Louise Bering, Christian Ross Pedersen, Ask Bock, Safura-Luise Heidari, Gerda Elisabeth Villadsen, Annette Dam Fialla, Gro Linno Willemoe, Peter Holland-Fischer, Susanne Dam Nielsen\",\"doi\":\"10.1038/s41541-025-01233-7\",\"DOIUrl\":null,\"url\":null,\"abstract\":\"<p><p>Liver transplant (LTx) recipients risk severe COVID-19. Vaccination reduces this risk. However, there may be side effects, including elevated alanine transaminase (ALT) which could lead to increased use of liver biopsy. We aimed to describe prevalence and relative incidence of elevated ALT 90 days before and after BNT162b2 vaccination in LTx recipients. Furthermore, we aimed to describe changes in prevalence of liver biopsies before and after BNT162b2 vaccination. We included 393 LTx recipients from The Danish Comorbidity in Liver Transplant Recipients (DACOLT) study. We calculated prevalence of elevated ALT and liver biopsies before and after each BNT162b2 vaccine dose. We used self-control case series (SCCS) analysis to investigate whether vaccination was associated with higher relative incidence of elevated ALT. Prevalence of elevated ALT, around each vaccine dose, was comparable. We did not find higher relative incidence of elevated ALT after vaccination. The prevalence of liver biopsies around vaccination was comparable.</p>\",\"PeriodicalId\":19335,\"journal\":{\"name\":\"NPJ Vaccines\",\"volume\":\"10 1\",\"pages\":\"181\"},\"PeriodicalIF\":6.5000,\"publicationDate\":\"2025-08-02\",\"publicationTypes\":\"Journal Article\",\"fieldsOfStudy\":null,\"isOpenAccess\":false,\"openAccessPdf\":\"https://www.ncbi.nlm.nih.gov/pmc/articles/PMC12317978/pdf/\",\"citationCount\":\"0\",\"resultStr\":null,\"platform\":\"Semanticscholar\",\"paperid\":null,\"PeriodicalName\":\"NPJ Vaccines\",\"FirstCategoryId\":\"3\",\"ListUrlMain\":\"https://doi.org/10.1038/s41541-025-01233-7\",\"RegionNum\":1,\"RegionCategory\":\"医学\",\"ArticlePicture\":[],\"TitleCN\":null,\"AbstractTextCN\":null,\"PMCID\":null,\"EPubDate\":\"\",\"PubModel\":\"\",\"JCR\":\"Q1\",\"JCRName\":\"IMMUNOLOGY\",\"Score\":null,\"Total\":0}","platform":"Semanticscholar","paperid":null,"PeriodicalName":"NPJ Vaccines","FirstCategoryId":"3","ListUrlMain":"https://doi.org/10.1038/s41541-025-01233-7","RegionNum":1,"RegionCategory":"医学","ArticlePicture":[],"TitleCN":null,"AbstractTextCN":null,"PMCID":null,"EPubDate":"","PubModel":"","JCR":"Q1","JCRName":"IMMUNOLOGY","Score":null,"Total":0}
引用次数: 0

摘要

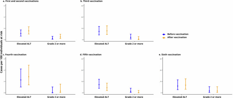
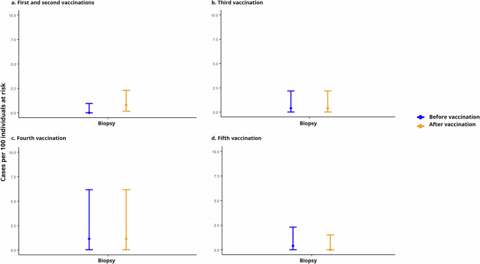
肝移植(LTx)受者有严重COVID-19的风险。接种疫苗可降低这种风险。然而,可能有副作用,包括谷丙转氨酶(ALT)升高,这可能导致肝活检的使用增加。我们的目的是描述LTx受者接种BNT162b2疫苗前后90天ALT升高的患病率和相对发生率。此外,我们旨在描述BNT162b2疫苗接种前后肝活检患病率的变化。我们纳入了来自丹麦肝移植受者合并症(DACOLT)研究的393名LTx受者。我们计算了每次BNT162b2疫苗接种前后ALT升高和肝活检的患病率。我们使用自我控制病例序列(SCCS)分析来调查疫苗接种是否与较高的ALT升高相对发生率相关。每次疫苗剂量前后ALT升高的发生率具有可比性。我们没有发现接种疫苗后ALT升高的相对发生率更高。接种前后肝活检的流行率是相当的。
本文章由计算机程序翻译,如有差异,请以英文原文为准。

Elevated alanine transaminase in liver transplant recipients after BNT162b2 vaccination: a cohort study.

Elevated alanine transaminase in liver transplant recipients after BNT162b2 vaccination: a cohort study.

Elevated alanine transaminase in liver transplant recipients after BNT162b2 vaccination: a cohort study.

Elevated alanine transaminase in liver transplant recipients after BNT162b2 vaccination: a cohort study.

Liver transplant (LTx) recipients risk severe COVID-19. Vaccination reduces this risk. However, there may be side effects, including elevated alanine transaminase (ALT) which could lead to increased use of liver biopsy. We aimed to describe prevalence and relative incidence of elevated ALT 90 days before and after BNT162b2 vaccination in LTx recipients. Furthermore, we aimed to describe changes in prevalence of liver biopsies before and after BNT162b2 vaccination. We included 393 LTx recipients from The Danish Comorbidity in Liver Transplant Recipients (DACOLT) study. We calculated prevalence of elevated ALT and liver biopsies before and after each BNT162b2 vaccine dose. We used self-control case series (SCCS) analysis to investigate whether vaccination was associated with higher relative incidence of elevated ALT. Prevalence of elevated ALT, around each vaccine dose, was comparable. We did not find higher relative incidence of elevated ALT after vaccination. The prevalence of liver biopsies around vaccination was comparable.

求助全文
通过发布文献求助,成功后即可免费获取论文全文。 去求助
来源期刊
NPJ Vaccines
NPJ Vaccines Immunology and Microbiology-Immunology
CiteScore
11.90
自引率
4.30%
发文量
146
审稿时长
11 weeks
期刊介绍: Online-only and open access, npj Vaccines is dedicated to highlighting the most important scientific advances in vaccine research and development.
×
引用
GB/T 7714-2015
复制
MLA
复制
APA
复制
导出至
BibTeX EndNote RefMan NoteFirst NoteExpress
×
提示
您的信息不完整,为了账户安全,请先补充。
现在去补充
×
提示
您因"违规操作"
具体请查看互助需知
我知道了
×
提示
确定
请完成安全验证×
copy
已复制链接
快去分享给好友吧!
我知道了
右上角分享
点击右上角分享
0
联系我们:info@booksci.cn Book学术提供免费学术资源搜索服务,方便国内外学者检索中英文文献。致力于提供最便捷和优质的服务体验。 Copyright © 2023 布克学术 All rights reserved.
京ICP备2023020795号-1
ghs 京公网安备 11010802042870号
Book学术文献互助
Book学术文献互助群
群 号:604180095
Book学术官方微信